Research article

A fractional mathematical model for assessing cancer risk due to smoking habits

  • Published: 03 July 2024
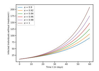
  • This article presents and analyzes a mathematical model for smoking-related cancer that involves fractional-order derivative with seven different compartments. The model uses the ABC fractional derivative to describe the transmission dynamics of cancer caused by the smoking habit. We employed the Adams-Bashforth-Moulton method to find the numerical and graphical results of the model and we achieved a good level of accuracy. The existence and uniqueness of the model solution were established using Banach's fixed-point theory. For stability, we investigated the steady state points and basic reproduction number of the system. Additionally, the model's stability was discussed using the Hyers-Ulam criterion. The two-dimensional (2D) and three-dimensional (3D) simulations were performed for the different compartments and for the various values of the fractional-order parameters.

    Citation: Anil Chavada, Nimisha Pathak, Sagar R. Khirsariya. A fractional mathematical model for assessing cancer risk due to smoking habits[J]. Mathematical Modelling and Control, 2024, 4(3): 246-259. doi: 10.3934/mmc.2024020

    Related Papers:

  • This article presents and analyzes a mathematical model for smoking-related cancer that involves fractional-order derivative with seven different compartments. The model uses the ABC fractional derivative to describe the transmission dynamics of cancer caused by the smoking habit. We employed the Adams-Bashforth-Moulton method to find the numerical and graphical results of the model and we achieved a good level of accuracy. The existence and uniqueness of the model solution were established using Banach's fixed-point theory. For stability, we investigated the steady state points and basic reproduction number of the system. Additionally, the model's stability was discussed using the Hyers-Ulam criterion. The two-dimensional (2D) and three-dimensional (3D) simulations were performed for the different compartments and for the various values of the fractional-order parameters.


    加载中


    [1] J. M. Sethi, C. L. Rochester, Smoking and chronic obstructive pulmonary disease, Clin. Chest Med., 21 (2000), 67–86. https://doi.org/10.1016/S0272-5231(05)70008-3 doi: 10.1016/S0272-5231(05)70008-3
    [2] R. M. Senior, N. R. Anthonisen, Chronic obstructive pulmonary disease (COPD), Amer. J. Resp. Crit. Care Med., 157 (1998), 139–147. https://doi.org/10.1164/ajrccm.157.4.nhlbi-12 doi: 10.1164/ajrccm.157.4.nhlbi-12
    [3] D. Twardella, M. Loew, D. Rothenbacher, C. Stegmaier, H. Ziegler, H. Brenner, The diagnosis of a smoking-related disease is a prominent trigger for smoking cessation in a retrospective cohort study, J. Clin. Epidemiol., 59 (2006), 82–89. https://doi.org/10.1016/j.jclinepi.2005.05.003 doi: 10.1016/j.jclinepi.2005.05.003
    [4] T. Alnima, R. Meijer, H. Spronk, M. Warlé, H. Cate, Diabetes-versus smoking-related thrombo-inflammation in peripheral artery disease, Cardiovasc. Diabetol., 22 (2023), 257. https://doi.org/10.1186/s12933-023-01990-6 doi: 10.1186/s12933-023-01990-6
    [5] G. Kaur, R. Begum, S. Thota, S. Batra, A systematic review of smoking-related epigenetic alterations, Arch. Toxicol., 93 (2019), 2715–2740. https://doi.org/10.1007/s00204-019-02562-y doi: 10.1007/s00204-019-02562-y
    [6] Z. J. Phua, R. J. MacInnis, H. Jayasekara, Cigarette smoking and risk of second primary cancer: a systematic review and meta-analysis, Cancer Epidemiol., 78 (2022), 102160. https://doi.org/10.1016/j.canep.2022.102160 doi: 10.1016/j.canep.2022.102160
    [7] M. F. Weber, P. E. Sarich, P. Vaneckova, S. Wade, S. Egger, P. Ngo, et al., Cancer incidence and cancer death in relation to tobacco smoking in a population-based australian cohort study, Int. J. Cancer, 149 (2021), 1076–1088. https://doi.org/10.1002/ijc.33685 doi: 10.1002/ijc.33685
    [8] L. M. Reynales-Shigematsu, J. Barnoya, T. Cavalcante, T. C. Aburto, I. Romieu, M. C. Stern, et al., Latin america and the caribbean code against cancer 1st edition: tobacco and nicotine-related products, secondhand smoke, and alcohol and cancer, Cancer Epidemiol., 86 (2023), 102413. https://doi.org/10.1016/j.canep.2023.102413 doi: 10.1016/j.canep.2023.102413
    [9] N. Nwizu, J. Wactawski-Wende, R. J. Genco, Periodontal disease and cancer: epidemiologic studies and possible mechanisms, Periodontol. 2000, 83 (2020), 213–233. https://doi.org/10.1111/prd.12329 doi: 10.1111/prd.12329
    [10] Z. Z. Tu, Q. Lu, Y. B. Zhang, Z. Shu, Y. W. Lai, M. N. Ma, et al., Associations of combined healthy lifestyle factors with risks of diabetes, cardiovascular disease, cancer, and mortality among adults with prediabetes: Four prospective cohort studies in china, the united kingdom, and the united states, Engineering, 22 (2023), 141–148. https://doi.org/10.1016/j.eng.2022.04.010 doi: 10.1016/j.eng.2022.04.010
    [11] A. Plym, Y. Zhang, K. H. Stopsack, B. Delcoigne, F. Wiklund, C. Haiman, et al., A healthy lifestyle in men at increased genetic risk for prostate cancer, Eur. Urol., 83 (2023), 343–351. https://doi.org/10.1016/j.eururo.2022.05.008 doi: 10.1016/j.eururo.2022.05.008
    [12] S. S. Tuly, M. Mahiuddin, A. Karim, Mathematical modeling of nutritional, color, texture, and microbial activity changes in fruit and vegetables during drying: a critical review, Crit. Rev. Food Sci. Nutr., 63 (2023), 1877–1900. https://doi.org/10.1080/10408398.2021.1969533 doi: 10.1080/10408398.2021.1969533
    [13] A. Abidemi, Optimal cost-effective control of drug abuse by students: insight from mathematical modeling, Model. Earth Syst. Environ., 9 (2023), 811–829. https://doi.org/10.1007/s40808-022-01534-z doi: 10.1007/s40808-022-01534-z
    [14] O. J. Peter, H. S. Panigoro, M. A. Ibrahim, O. M. Otunuga, T. A. Ayoola, A. O. Oladapo, Analysis and dynamics of measles with control strategies: a mathematical modeling approach, Int. J. Dyn. Control, 11 (2023), 2538–2552. https://doi.org/10.1007/s40435-022-01105-1 doi: 10.1007/s40435-022-01105-1
    [15] N. Bellomo, N. Outada, J. Soler, Y. Tao, M. Winkler, Chemotaxis and cross-diffusion models in complex environments: models and analytic problems toward a multiscale vision, Math. Mod. Methods Appl. Sci., 32 (2022), 713–792. https://doi.org/10.1142/S0218202522500166 doi: 10.1142/S0218202522500166
    [16] I. Sofia, M. Ghosh, Mathematical modeling of smoking habits in the society, Stoch. Anal. Appl., 41 (2023), 918–937. https://doi.org/10.1080/07362994.2022.2093223 doi: 10.1080/07362994.2022.2093223
    [17] I. R. Sofia, S. R. Bandekar, M. Ghosh, Mathematical modeling of smoking dynamics in society with impact of media information and awareness, Results Control Optim., 11 (2023), 100233. https://doi.org/10.1016/j.rico.2023.100233 doi: 10.1016/j.rico.2023.100233
    [18] T. Hussain, A. U. Awan, K. A. Abro, M. Ozair, M. Manzoor, J. F. Gómez-Aguilar, et al., A passive verses active exposure of mathematical smoking model: a role for optimal and dynamical control, Nonlinear Eng., 11 (2022), 507–521. https://doi.org/10.1515/nleng-2022-0214 doi: 10.1515/nleng-2022-0214
    [19] S. Blauth, F. Hübner, C. Leithäuser, N. Siedow, T. J. Vogl, Mathematical modeling and simulation of laser-induced thermotherapy for the treatment of liver tumors, In: R. Pinnau, N. R. Gauger, A. Klar, Modeling, simulation and optimization in the health-and energy-sector, Springer, 2022. https://doi.org/10.1007/978-3-030-99983-4_1
    [20] S. A. Jose, R. Raja, Q. Zhu, J. Alzabut, M. Niezabitowski, V. E. Balas, Impact of strong determination and awareness on substance addictions: a mathematical modeling approach, Math. Methods Appl. Sci., 45 (2022), 4140–4160. https://doi.org/10.1002/mma.7859 doi: 10.1002/mma.7859
    [21] E. Shishkina, S. Sitnik, Transmutations, singular and fractional differential equations with applications to mathematical physics, Academic Press, 2020.
    [22] J. P. Chauhan, S. R. Khirsariya, A semi-analytic method to solve nonlinear differential equations with arbitrary order, Results Control Optim., 12 (2023), 100267. https://doi.org/10.1016/j.rico.2023.100267 doi: 10.1016/j.rico.2023.100267
    [23] H. Sun, A. Chang, Y. Zhang, W. Chen, A review on variable-order fractional differential equations: mathematical foundations, physical models, numerical methods and applications, Fract. Calc. Appl. Anal., 22 (2019), 27–59. https://doi.org/10.1515/fca-2019-0003 doi: 10.1515/fca-2019-0003
    [24] S. G. Simon, B. Bira, D. Zeidan, Optimal systems, series solutions and conservation laws for a time fractional cancer tumor model, Chaos Solitons Fract., 169 (2023), 113311. https://doi.org/10.1016/j.chaos.2023.113311 doi: 10.1016/j.chaos.2023.113311
    [25] M. Izadi, D. Zeidan, A convergent hybrid numerical scheme for a class of nonlinear diffusion equations, Comput. Appl. Math., 41 (2022), 318. https://doi.org/10.1007/s40314-022-02033-8 doi: 10.1007/s40314-022-02033-8
    [26] S. Kumar, D. Zeidan, An efficient Mittag-Leffler kernel approach for time-fractional advection-reaction-diffusion equation, Appl. Numer. Math., 170 (2021), 190–207. https://doi.org/10.1016/j.apnum.2021.07.025 doi: 10.1016/j.apnum.2021.07.025
    [27] D. Zeidan, C. K. Chau, T. T. Lu, On the characteristic Adomian decomposition method for the Riemann problem, Math. Methods Appl. Sci., 44 (2021), 8097–8112. https://doi.org/10.1002/mma.5798 doi: 10.1002/mma.5798
    [28] B. Bira, H. Mandal, D. Zeidan, Exact solution of the time fractional variant Boussinesq-Burgers equations, Appl. Math., 66 (2021), 437–449. https://doi.org/10.21136/AM.2021.0269-19 doi: 10.21136/AM.2021.0269-19
    [29] P. Satapathy, T. R. Sekhar, D. Zeidan, Codimension two Lie invariant solutions of the modified Khokhlov-Zabolotskaya-Kuznetsov equation, Math. Methods Appl. Sci., 44 (2021), 4938–4951. https://doi.org/10.1002/mma.7078 doi: 10.1002/mma.7078
    [30] F. Sultana, D. Singh, R. K. Pandey, D. Zeidan, Numerical schemes for a class of tempered fractional integro-differential equations, Appl. Numer. Math., 157 (2020), 110–134. https://doi.org/10.1016/j.apnum.2020.05.026 doi: 10.1016/j.apnum.2020.05.026
    [31] D. Zeidan, C. K. Chau, T. T. Lu, W. Q. Zheng, Mathematical studies of the solution of Burgers' equations by Adomian decomposition method, Math. Methods Appl. Sci., 43 (2020), 2171–2188. https://doi.org/10.1002/mma.5982 doi: 10.1002/mma.5982
    [32] Z. Sabir, M. Munawar, M. A. Abdelkawy, M. A. Z. Raja, C. Ünlü, M. B. Jeelani, et al., Numerical investigations of the fractional-order mathematical model underlying immune-chemotherapeutic treatment for breast cancer using the neural networks, Fractal Fract., 6 (2022), 184. https://doi.org/10.3390/fractalfract6040184 doi: 10.3390/fractalfract6040184
    [33] J. K. K. Asamoah, E. Okyere, E. Yankson, A. A. Opoku, A. Adom-Konadu, E. Acheampong, et al., Non-fractional and fractional mathematical analysis and simulations for Q fever, Chaos Solitons Fract., 156 (2022), 111821. https://doi.org/10.1016/j.chaos.2022.111821 doi: 10.1016/j.chaos.2022.111821
    [34] S. R. Khirsariya, S. B. Rao, G. S. Hathiwala, Investigation of fractional diabetes model involving glucose-insulin alliance scheme, Int. J. Dyn. Control, 12 (2024), 1–14. https://doi.org/10.1007/s40435-023-01293-4 doi: 10.1007/s40435-023-01293-4
    [35] S. R. Khirsariya, J. P. Chauhan, G. S. Hathiwala, Study of fractional diabetes model with and without complication class, Results Control Optim., 12 (2023), 100283. https://doi.org/10.1016/j.rico.2023.100283 doi: 10.1016/j.rico.2023.100283
    [36] Y. M. Chu, M. F. Khan, S. Ullah, S. A. A. Shah, M. Farooq, M. bin Mamat, Mathematical assessment of a fractional-order vector-host disease model with the Caputo-Fabrizio derivative, Math. Methods Appl. Sci., 46 (2023), 232–247. https://doi.org/10.1002/mma.8507 doi: 10.1002/mma.8507
    [37] B. Maayah, O. A. Arqub, S. Alnabulsi, H. Alsulami, Numerical solutions and geometric attractors of a fractional model of the cancer-immune based on the Atangana-Baleanu-Caputo derivative and the reproducing kernel scheme, Chinese J. Phys., 80 (2022), 463–483. https://doi.org/10.1016/j.cjph.2022.10.002 doi: 10.1016/j.cjph.2022.10.002
    [38] S. R. Khirsariya, S. B. Rao, Solution of fractional Sawada-Kotera-Ito equation using caputo and Atangana-Baleanu derivatives, Math. Methods Appl. Sci., 46 (2023), 16072–16091. https://doi.org/10.1002/mma.9438 doi: 10.1002/mma.9438
    [39] J. P. Chauhan, S. R. Khirsariya, G. S. Hathiwala, M. B. Hathiwala, New analytical technique to solve fractional-order sharma-tasso-olver differential equation using caputo and Atangana-Baleanu derivative operators, J. Appl. Anal., 30 (2024), 1–16. https://doi.org/10.1515/jaa-2023-0043 doi: 10.1515/jaa-2023-0043
    [40] C. Xu, W. Ou, Y. Pang, Q. Cui, M. U. Rahman, M. Farman, et al., Hopf bifurcation control of a fractional-order delayed turbidostat model via a novel extended hybrid controller, Match Commun. Math. Comput. Chem., 91 (2024), 367–413. https://doi.org/10.46793/match.91-2.367X doi: 10.46793/match.91-2.367X
    [41] C. Xu, Z. Liu, P. Li, J. Yan, L. Yao, Bifurcation mechanism for fractional-order three-triangle multi-delayed neural networks, Neural Process. Lett., 55 (2023), 6125–6151. https://doi.org/10.1007/s11063-022-11130-y doi: 10.1007/s11063-022-11130-y
    [42] C. Xu, Q. Cui, Z. Liu, Y. Pan, W. Ou, X. Cui, et al., Extended hybrid controller design of bifurcation in a delayed chemostat model, Match Commun. Math. Comput. Chem., 90 (2023), 609–648. https://doi.org/10.46793/match.90-3.609X doi: 10.46793/match.90-3.609X
    [43] C. Xu, Y. Pang, Z. Liu, J. Shen, M. Liao, P. Li, Insights into COVID-19 stochastic modelling with effects of various transmission rates: simulations with real statistical data from UK, Australia, Spain, and India, Phys. Scr., 99 (2024), 025218. https://doi.org/10.1088/1402-4896/ad186c doi: 10.1088/1402-4896/ad186c
    [44] C. Xu, Y. Zhao, J. Lin, Y. Pang, Z. Liu, J. Shen, et al., Mathematical exploration on control of bifurcation for a plankton-oxygen dynamical model owning delay, J. Math. Chem., 2023. https://doi.org/10.1007/s10910-023-01543-y
    [45] W. Ou, C. Xu, Q. Cui, Y. Pang, Z. Liu, J. Shen, et al., Hopf bifurcation exploration and control technique in a predator-prey system incorporating delay, AIMS Math., 9 (2024), 1622–1651. https://doi.org/10.3934/math.2024080 doi: 10.3934/math.2024080
    [46] Q. Cui, C. Xu, W. Ou, Y. Pang, Z. Liu, P. Li, et al., Bifurcation behavior and hybrid controller design of a 2D Lotka-Volterra commensal symbiosis system accompanying delay, Mathematics, 11 (2023), 4808. https://doi.org/10.3390/math11234808 doi: 10.3390/math11234808
    [47] M. Chinnamuniyandi, S. Chandran, C. Xu, Fractional order uncertain BAM neural networks with mixed time delays: an existence and quasi-uniform stability analysis, J. Intell. Fuzzy Syst., 46 (2024), 4291–4313. https://doi.org/10.3233/JIFS-234744 doi: 10.3233/JIFS-234744
    [48] P. Li, R. Gao, C. Xu, J. Shen, S. Ahmad, Y. Li, Exploring the impact of delay on Hopf bifurcation of a type of BAM neural network models concerning three nonidentical delays, Neural Process. Lett., 55 (2023), 11595–11635. https://doi.org/10.1007/s11063-023-11392-0 doi: 10.1007/s11063-023-11392-0
    [49] A. Atangana, D. Baleanu, New fractional derivatives with nonlocal and non-singular kernel: theory and application to heat transfer model, arXiv, 2016. https://doi.org/10.48550/arXiv.1602.03408
    [50] A. Din, Y. Li, Lévy noise impact on a stochastic hepatitis b epidemic model under real statistical data and its fractal-fractional Atangana-Baleanu order model, Phys. Scr., 96 (2021), 124008. https://doi.org/10.1088/1402-4896/ac1c1a doi: 10.1088/1402-4896/ac1c1a
    [51] I. Shah, Eiman, H. Alrabaiah, B. Ozdemir, A. ur R. Irshad, Using advanced analysis together with fractional order derivative to investigate a smoking tobacco cancer model, Results Phys., 51 (2023), 106700. https://doi.org/10.1016/j.rinp.2023.106700 doi: 10.1016/j.rinp.2023.106700
    [52] K. Diethelm, An efficient parallel algorithm for the numerical solution of fractional differential equations, Fract. Calc. Appl. Anal., 14 (2011), 475–490. https://doi.org/10.2478/s13540-011-0029-1 doi: 10.2478/s13540-011-0029-1
  • Reader Comments
  • © 2024 the Author(s), licensee AIMS Press. This is an open access article distributed under the terms of the Creative Commons Attribution License (http://creativecommons.org/licenses/by/4.0)
通讯作者: 陈斌, bchen63@163.com
  • 1. 

    沈阳化工大学材料科学与工程学院 沈阳 110142

  1. 本站搜索
  2. 百度学术搜索
  3. 万方数据库搜索
  4. CNKI搜索

Metrics

Article views(3579) PDF downloads(203) Cited by(18)

Article outline

Figures and Tables

Figures(12)

Other Articles By Authors

/

DownLoad:  Full-Size Img  PowerPoint
Return
Return

Catalog