Research article Special Issues

Comparing Bayesian and frequentist inference in biological models: A comparative analysis of accuracy, uncertainty, and identifiability

  • Published: 30 March 2026
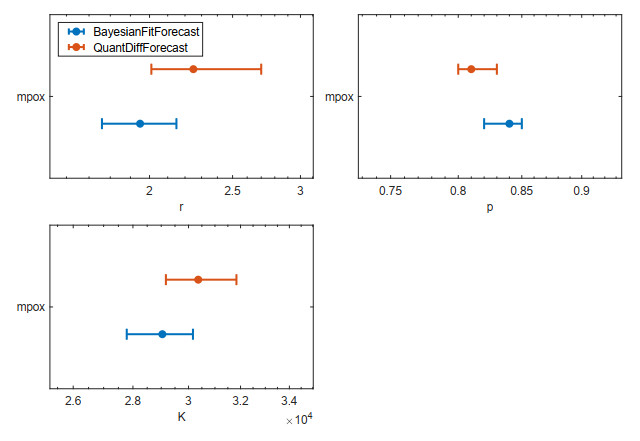
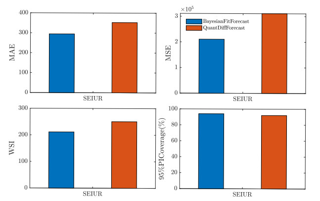
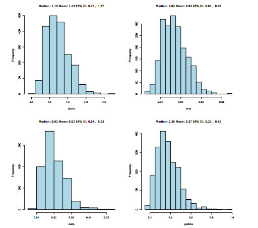
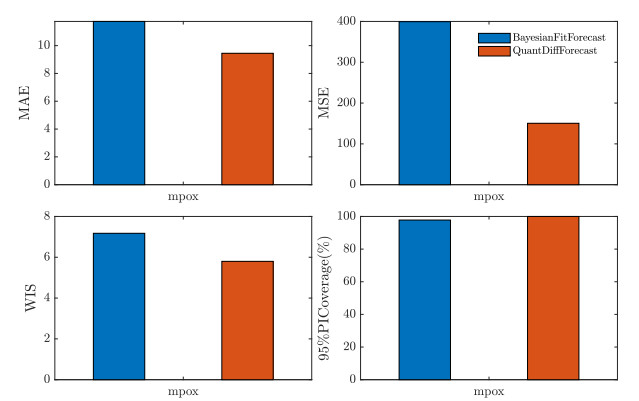
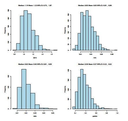
  • Mathematical models are widely used to study ecological and epidemiological systems, but the accuracy of the resulting inferences and forecasts depends on the estimation framework. This study compares Bayesian and frequentist approaches across three biological models using four datasets: The Lotka–Volterra predator–prey system, a generalized logistic model (GLM) applied to lung injury and mpox data, and the susceptible-exposed-infected (reported and unreported)-recovered (SEIUR) epidemic model for COVID-19. To ensure a fair comparison, both approaches were implemented with a normal error structure. We first examined the structural identifiability to determine which parameters can be recovered in principle. We then evaluated practical identifiability and fitting performance using four metrics: Mean absolute error, mean squared error, prediction interval coverage, and the weighted interval score. For the Lotka–Volterra model, we studied three types of observations: Prey only, predator only, and both species together. The frequentist workflow, implemented through QuantDiffForecast, uses nonlinear least squares and parametric bootstraping to quantify uncertainty. The Bayesian workflow, implemented through BayesianFitForecast, uses Hamiltonian Monte Carlo sampling to obtain posterior distributions and diagnostic measures. Our results show that frequentist inference performs well when the system comprises fully observed data, as in the GLM or in the Lotka–Volterra model when both species are observed. Bayesian inference performs better when uncertainty is high and observations are limited or indirect, as seen in the SEIUR epidemic model. The identifiability analysis helps explain these differences by showing how observability shapes the reliability of parameter recovery and uncertainty quantification.

    Citation: Mohammed A. Y. Mohammed, Hamed Karami, Gerardo Chowell. Comparing Bayesian and frequentist inference in biological models: A comparative analysis of accuracy, uncertainty, and identifiability[J]. Mathematical Biosciences and Engineering, 2026, 23(5): 1156-1202. doi: 10.3934/mbe.2026043

    Related Papers:

  • Mathematical models are widely used to study ecological and epidemiological systems, but the accuracy of the resulting inferences and forecasts depends on the estimation framework. This study compares Bayesian and frequentist approaches across three biological models using four datasets: The Lotka–Volterra predator–prey system, a generalized logistic model (GLM) applied to lung injury and mpox data, and the susceptible-exposed-infected (reported and unreported)-recovered (SEIUR) epidemic model for COVID-19. To ensure a fair comparison, both approaches were implemented with a normal error structure. We first examined the structural identifiability to determine which parameters can be recovered in principle. We then evaluated practical identifiability and fitting performance using four metrics: Mean absolute error, mean squared error, prediction interval coverage, and the weighted interval score. For the Lotka–Volterra model, we studied three types of observations: Prey only, predator only, and both species together. The frequentist workflow, implemented through QuantDiffForecast, uses nonlinear least squares and parametric bootstraping to quantify uncertainty. The Bayesian workflow, implemented through BayesianFitForecast, uses Hamiltonian Monte Carlo sampling to obtain posterior distributions and diagnostic measures. Our results show that frequentist inference performs well when the system comprises fully observed data, as in the GLM or in the Lotka–Volterra model when both species are observed. Bayesian inference performs better when uncertainty is high and observations are limited or indirect, as seen in the SEIUR epidemic model. The identifiability analysis helps explain these differences by showing how observability shapes the reliability of parameter recovery and uncertainty quantification.



    加载中


    [1] M. J. Keeling, P. Rohani, Modeling Infectious Diseases in Humans and Animals, Princeton University Press, Princeton, NJ, 2008. https://doi.org/10.1515/9781400841035
    [2] M. Mohammed, M. A. Y. Mohammed, A. Alsammani, M. Bakheet, C. Hui, P. Landi, Coexistence via trophic cascade in plant–herbivore–carnivore systems under intense predation pressure, preprint, arXiv: 2408.04862.
    [3] A. Alsammani, G. A. M. O. Farah, M. A. Y. Mohammed, M. Yavuz, Cholera transmission dynamics with sanitation control measures, preprint, arXiv: 2505.08873.
    [4] S. Dixon, R. Keshavamurthy, D. H. Farber, A. Stevens, K. T. Pazdernik, L. E. Charles, A comparison of infectious disease forecasting methods across locations, diseases, and time, Pathogens, 11 (2022), 185. https://doi.org/10.3390/pathogens11020185 doi: 10.3390/pathogens11020185
    [5] C. Cheng, W. M. Jiang, B. Fan, Y. C. Cheng, Y. T. Hsu, H. Y. Wu, et al., Real-time forecasting of COVID-19 spread according to protective behavior and vaccination: Autoregressive integrated moving average models, BMC Public Health, 23 (2023), 1500. https://doi.org/10.1186/s12889-023-16419-8 doi: 10.1186/s12889-023-16419-8
    [6] C. S. Lutz, M. P. Huynh, M. Schroeder, S. Anyatonwu, F. S. Dahlgren, G. Danyluk, et al., Applying infectious disease forecasting to public health: A path forward using influenza forecasting examples, BMC Public Health, 19 (2019), 1–12. https://doi.org/10.1186/s12889-019-7966-8 doi: 10.1186/s12889-019-7966-8
    [7] F. M. Shearer, R. Moss, J. McVernon, J. V. Ross, J. M. McCaw, Infectious disease pandemic planning and response: Incorporating decision analysis, PLoS Med., 17 (2020), e1003018. https://doi.org/10.1371/journal.pmed.1003018 doi: 10.1371/journal.pmed.1003018
    [8] G. Chowell, S. Dahal, A. Tariq, K. Roosa, J. M. Hyman, R. Luo, An ensemble n-sub-epidemic modeling framework for short-term forecasting epidemic trajectories: Application to the COVID-19 pandemic in the USA, PLoS Comput. Biol., 18 (2022), e1010602. https://doi.org/10.1371/journal.pcbi.1010602 doi: 10.1371/journal.pcbi.1010602
    [9] G. Chowell, R. Rothenberg, K. Roosa, A. Tariq, J. M. Hyman, R. Luo, Sub-epidemic model forecasts during the first wave of the COVID-19 pandemic in the USA and European hotspots, in Mathematics of Public Health: Proceedings of the Seminar on the Mathematical Modelling of COVID-19, Springer, (2022), 85–137. https://doi.org/10.1007/978-3-030-85053-1_5
    [10] H. Karami, R. Luo, P. Sanaei, G. Chowell, Comparative study of Bayesian and frequentist methods for epidemic forecasting: Insights from simulated and historical data, Stat. Methods Med. Res., 35 (2026), 21–39. https://doi.org/10.1177/09622802251387451 doi: 10.1177/09622802251387451
    [11] N. G. Reich, L. C. Brooks, S. J. Fox, S. Kandula, C. J. McGowan, E. Moore, et al., A collaborative multiyear, multimodel assessment of seasonal influenza forecasting in the United States, PNAS, 116 (2019), 3146–3154. https://doi.org/10.1073/pnas.1812594116 doi: 10.1073/pnas.1812594116
    [12] C. J. McGowan, M. Biggerstaff, M. Johansson, K. M. Apfeldorf, M. Ben-Nun, L. Brooks, et al., Collaborative efforts to forecast seasonal influenza in the United States, 2015–2016, Sci. Rep., 9 (2019), 683. https://doi.org/10.1038/s41598-018-36361-9 doi: 10.1038/s41598-018-36361-9
    [13] M. Biggerstaff, S. Cauchemez, C. Reed, M. Gambhir, L. Finelli, Estimates of the reproduction number for seasonal, pandemic, and zoonotic influenza: A systematic review of the literature, BMC Infect. Dis., 14 (2014), 1–20. https://doi.org/10.1186/1471-2334-14-480 doi: 10.1186/1471-2334-14-480
    [14] G. Chowell, C. Viboud, L. Simonsen, S. Merler, A. Vespignani, Perspectives on model forecasts of the 2014–2015 Ebola epidemic in West Africa: Lessons and the way forward, BMC Med., 15 (2017), 1–8. https://doi.org/10.1186/s12916-017-0811-y doi: 10.1186/s12916-017-0811-y
    [15] S. Funk, A. Camacho, A. J. Kucharski, R. Lowe, R. M. Eggo, W. J. Edmunds, Assessing the performance of real-time epidemic forecasts: A case study of Ebola in the Western Area region of Sierra Leone, 2014–15, PLoS Comput. Biol., 15 (2019), e1006785. https://doi.org/10.1371/journal.pcbi.1006785 doi: 10.1371/journal.pcbi.1006785
    [16] M. I. Meltzer, C. Y. Atkins, S. Santibanez, B. Knust, B. W. Petersen, E. D. Ervin, et al., Estimating the future number of cases in the Ebola epidemic—Liberia and Sierra Leone, 2014–2015, MMWR Surveillance Summ., 63 (2014), 1–14.
    [17] J. P. Chretien, S. Riley, D. B. George, Mathematical modeling of the West Africa Ebola epidemic, eLife, 4 (2015), e09186. https://doi.org/10.7554/eLife.09186 doi: 10.7554/eLife.09186
    [18] G. Chowell, L. Simonsen, C. Viboud, Y. Kuang, Is West Africa approaching a catastrophic phase or is the 2014 Ebola epidemic slowing down? Different models yield different answers for Liberia, PLOS Curr. Outbreaks, 2014 (2014). https://doi.org/10.1371/currents.outbreaks.b4690859d91684da963dc40e00f3da81 doi: 10.1371/currents.outbreaks.b4690859d91684da963dc40e00f3da81
    [19] K. Roosa, A. Tariq, P. Yan, J. M. Hyman, G. Chowell, Multimodel forecasts of the ongoing Ebola epidemic in the Democratic Republic of Congo, March–October 2019, J. R. Soc. Interface, 17 (2020), 20200447. https://doi.org/10.1098/rsif.2020.0447 doi: 10.1098/rsif.2020.0447
    [20] A. Bleichrodt, S. Dahal, K. Maloney, L. Casanova, R. Luo, G. Chowell, Real-time forecasting the trajectory of monkeypox outbreaks at the national and global levels, July–October 2022, BMC Med., 21 (2023). https://doi.org/10.1186/s12916-022-02725-2 doi: 10.1186/s12916-022-02725-2
    [21] A. Bleichrodt, R. Luo, A. Kirpich, G. Chowell, Retrospective evaluation of short-term forecast performance of ensemble sub-epidemic frameworks and other time-series models: The 2022–2023 mpox outbreak across multiple geographical scales, July 14th, 2022, through February 26th, 2023, medRxiv, 2023. https://doi.org/10.1101/2023.05.15.23289989
    [22] K. Charniga, Z. J. Madewell, N. B. Masters, J. Asher, Y. Nakazawa, I. H. Spicknall, Nowcasting and forecasting the 2022 US mpox outbreak: Support for public health decision making and lessons learned, Epidemics, 47 (2024), 100755. https://doi.org/10.1016/j.epidem.2024.100755 doi: 10.1016/j.epidem.2024.100755
    [23] G. Chowell, A. Bleichrodt, S. Dahal, A. Tariq, K. Roosa, J. M. Hyman, et al., GrowthPredict: A toolbox and tutorial-based primer for fitting and forecasting growth trajectories using phenomenological growth models, Sci. Rep., 14 (2024), 1630. https://doi.org/10.1038/s41598-024-51852-8 doi: 10.1038/s41598-024-51852-8
    [24] D. A. MacLulich, Fluctuations in the Numbers of the Varying Hare (Lepus americanus), University of Toronto Studies, Biological Series, 1937. https://doi.org/10.3138/9781487583064
    [25] R. J. Hyndman, G. Athanasopoulos, Forecasting: Principles and Practice, 3rd ed., OTexts, Melbourne, Australia, 2021.
    [26] G. Chowell, A. Bleichrodt, R. Luo, Parameter estimation and forecasting with quantified uncertainty for ordinary differential equation models using QuantDiffForecast: A MATLAB toolbox and tutorial, Stat. Med., 43 (2024), 1–23. https://doi.org/10.1002/sim.10036 doi: 10.1002/sim.10036
    [27] H. Karami, A. Bleichrodt, R. Luo, G. Chowell, BayesianFitForecast: A user-friendly R toolbox for parameter estimation and forecasting with ordinary differential equations, BMC Med. Inf. Decis. Making, 25 (2025), 1–40. https://doi.org/10.1186/s12911-025-03208-z doi: 10.1186/s12911-025-03208-z
    [28] A. Raue, C. Kreutz, T. Maiwald, J. Bachmann, M. Schilling, U. Klingmüller, et al., Structural and practical identifiability analysis of partially observed dynamical models by exploiting the profile likelihood, Bioinformatics, 25 (2009), 1923–1929. https://doi.org/10.1093/bioinformatics/btp358 doi: 10.1093/bioinformatics/btp358
    [29] O. T. Chis, J. R. Banga, E. Balsa-Canto, Structural identifiability of systems biology models: A critical comparison of method, PLoS One, 6 (2011), e27755. https://doi.org/10.1371/journal.pone.0027755 doi: 10.1371/journal.pone.0027755
    [30] A. Atanasov, S. Georgiev, L. Vulkov, Parameter identification analysis of food and population dynamics in honey bee colonies, in Advanced Computing in Industrial Mathematics, Springer, Cham, (2025), 29–41. https://doi.org/10.1007/978-3-031-76782-1_3
    [31] A. Alsammani, C. N. Ngonghala, M. Martcheva, Impact of vaccination behavior on COVID-19 dynamics and economic outcomes, Math. Biosci. Eng., 22 (2025), 2300–2338. https://doi.org/10.3934/mbe.2025084 doi: 10.3934/mbe.2025084
    [32] T. Gneiting, Probabilistic forecasting, J. R. Stat. Soc. Ser. A: Stat. Soc., 171 (2008), 319–321. https://doi.org/10.1111/j.1467-985X.2007.00522.x doi: 10.1111/j.1467-985X.2007.00522.x
    [33] H. Mwambi, S. Ramroop, L. J. White, E. A. Okiro, D. J. Nokes, Z. Shkedy, et al., A frequentist approach to estimating the force of infection for a respiratory disease using repeated measurement data from a birth cohort, Stat. Methods Med. Res., 20 (2011), 551–570. https://doi.org/10.1177/0962280210385749 doi: 10.1177/0962280210385749
    [34] G. Chowell, Fitting dynamic models to epidemic outbreaks with quantified uncertainty: A primer for parameter uncertainty, identifiability, and forecasts, Infect. Dis. Modell., 2 (2017), 379–398. https://doi.org/10.1016/j.idm.2017.08.001 doi: 10.1016/j.idm.2017.08.001
    [35] G. Chowell, R. Luo, K. Sun, K. Roosa, A. Tariq, C. Viboud, Real-time forecasting of epidemic trajectories using computational dynamic ensembles, Epidemics, 30 (2020), 100379. https://doi.org/10.1016/j.epidem.2019.100379 doi: 10.1016/j.epidem.2019.100379
    [36] H. T. Banks, S. Hu, W. C. Thompson, Modeling and Inverse Problems in the Presence of Uncertainty, CRC Press, Boca Raton, FL, 2014.
    [37] C. D. Pruitt, A. E. Lovell, C. Hebborn, F. M. Nunes, The role of the likelihood for elastic scattering uncertainty quantification, preprint, arXiv: 2403.00753.
    [38] M. K. Transtrum, P. Qiu, Optimal experiment selection for parameter estimation in biological differential equation models, BMC Bioinf., 13 (2012), 1–12. https://doi.org/10.1186/1471-2105-13-181 doi: 10.1186/1471-2105-13-181
    [39] H. H. Huang, Q. He, Nonlinear regression analysis, preprint, arXiv: 2402.05342.
    [40] D. M. Bates, D. G. Watts, Nonlinear Regression Analysis and Its Applications, Wiley, New York, 1988. https://doi.org/10.1002/9780470316757
    [41] J. Cao, J. Z. Huang, H. Wu, Penalized nonlinear least squares estimation of time-varying parameters in ordinary differential equations, J. Comput. Graphical Stat., 21 (2012), 42–56. https://doi.org/10.1198/jcgs.2011.10021 doi: 10.1198/jcgs.2011.10021
    [42] J. Ramsay, G. Hooker, Dynamic Data Analysis: Modeling Data with Differential Equations, Springer, New York, NY, 2017. https://doi.org/10.1007/978-1-4939-7190-9
    [43] G. A. F. Seber, C. J. Wild, Nonlinear Regression, John Wiley & Sons, Hoboken, NJ, 2003. https://doi.org/10.1002/0471725315
    [44] J. Nocedal, S. J. Wright, Numerical Optimization, 2nd ed., Springer, New York, 2006. https://doi.org/10.1007/978-0-387-40065-5
    [45] S. Greenland, Bayesian perspectives for epidemiologic research: Ⅲ. Bias analysis via missing-data methods, Int. J. Epidemiol., 38 (2009), 1662–1673. https://doi.org/10.1093/ije/dyp278 doi: 10.1093/ije/dyp278
    [46] T. J. McKinley, J. V. Ross, R. Deardon, A. R. Cook, Simulation-based Bayesian inference for epidemic models, Comput. Stat. Data Anal., 71 (2014) 434–447. https://doi.org/10.1016/j.csda.2012.12.012 doi: 10.1016/j.csda.2012.12.012
    [47] T. Kypraios, P. Neal, D. Prangle, A tutorial introduction to Bayesian inference for stochastic epidemic models using approximate Bayesian computation, Math. Biosci., 287 (2017), 42–53. https://doi.org/10.1016/j.mbs.2016.07.001 doi: 10.1016/j.mbs.2016.07.001
    [48] M. Girolami, Bayesian inference for differential equations, Theor. Comput. Sci., 408 (2008), 4–16. https://doi.org/10.1016/j.tcs.2008.07.005 doi: 10.1016/j.tcs.2008.07.005
    [49] L. Grinsztajn, E. Semenova, C. C. Margossian, J. Riou, Bayesian workflow for disease transmission modeling in Stan, Stat. Med., 40 (2021), 6209–6234. https://doi.org/10.1002/sim.9164 doi: 10.1002/sim.9164
    [50] J. A. Bouman, A. Hauser, S. L. Grimm, M. Wohlfender, S. Bhatt, E. Semenova, et al., Bayesian workflow for time-varying transmission in stratified compartmental infectious disease transmission models, PLoS Comput. Biol., 20 (2024), e1011575. https://doi.org/10.1101/2023.10.09.23296742 doi: 10.1101/2023.10.09.23296742
    [51] A. Gelman, A. Vehtari, D. Simpson, C. C. Margossian, B. Carpenter, Y. Yao, et al., Bayesian workflow, preprint, arXiv: 2011.01808.
    [52] C. J. Belasso, Z. Cai, G. Bezgin, T. Pascoal, J. Stevenson, N. Rahmouni, et al., Bayesian workflow for the investigation of hierarchical classification models from tau-PET and structural MRI data across the Alzheimer's disease spectrum, Front. Aging Neurosci., 15 (2023), 1225816. https://doi.org/10.3389/fnagi.2023.1225816 doi: 10.3389/fnagi.2023.1225816
    [53] G. M. Martin, D. T. Frazier, C. P. Robert, Computing Bayes: Bayesian computation from 1763 to the 21st century, preprint, arXiv: 2004.06425.
    [54] D. B. Dunson, Commentary: Practical advantages of Bayesian analysis of epidemiologic data, Am. J. Epidemiol., 153 (2001), 1222–1226. https://doi.org/10.1093/aje/153.12.1222 doi: 10.1093/aje/153.12.1222
    [55] O. Harel, E. M. Mitchell, N. J. Perkins, S. R. Cole, E. J. T. Tchetgen, B. Sun, et al., Multiple imputation for incomplete data in epidemiologic studies, Am. J. Epidemiol., 187 (2018), 576–584. https://doi.org/10.1093/aje/kwx349 doi: 10.1093/aje/kwx349
    [56] J. Annis, B. J. Miller, T. J. Palmeri, Bayesian inference with Stan: A tutorial on adding custom distributions, Behav. Res. Methods, 49 (2017), 863–886. https://doi.org/10.3758/s13428-016-0746-9 doi: 10.3758/s13428-016-0746-9
    [57] R. Kelter, Bayesian survival analysis in Stan for improved measuring of uncertainty in parameter estimates, Meas.: Interdiscip. Res. Perspect., 18 (2020), 101–109. https://doi.org/10.1080/15366367.2019.1689761 doi: 10.1080/15366367.2019.1689761
    [58] A. Gelman, F. Bois, J. Jiang, Physiological pharmacokinetic analysis using population modeling and informative prior distributions, J. Am. Stat. Assoc., 91 (1996), 1400–1412. https://doi.org/10.1080/01621459.1996.10476708 doi: 10.1080/01621459.1996.10476708
    [59] Y. Huang, D. Liu, H. Wu, Hierarchical Bayesian methods for estimation of parameters in a longitudinal HIV dynamic system, Biometrics, 62 (2006), 413–423. https://doi.org/10.1111/j.1541-0420.2005.00447.x doi: 10.1111/j.1541-0420.2005.00447.x
    [60] H. Huang, A. Handel, X. Song, A Bayesian approach to estimate parameters of ordinary differential equation, Comput. Stat., 35 (2020), 1481–1499. https://doi.org/10.1007/s00180-020-00962-8 doi: 10.1007/s00180-020-00962-8
    [61] A. Gelman, J. B. Carlin, H. S. Stern, D. B. Dunson, A. Vehtari, D. B. Rubin, Bayesian Data Analysis, Chapman & Hall/CRC, 3rd edition, 2013. https://doi.org/10.1201/b16018
    [62] A. Vehtari, A. Gelman, D. Simpson, B. Carpenter, P. C. Bürkner, Rank-normalization, folding, and localization: An improved $\hat{R}$ for assessing convergence of MCMC, Bayesian Anal., 16 (2021), 667–718. https://doi.org/10.1214/20-BA1221 doi: 10.1214/20-BA1221
    [63] A. Gelman, D. B. Rubin, Inference from iterative simulation using multiple sequences, Stat. Sci., 7 (1992), 457–472. https://doi.org/10.1214/ss/1177011136 doi: 10.1214/ss/1177011136
    [64] C. C. Monnahan, J. T. Thorson, T. A. Branch, Faster estimation of Bayesian models in ecology using Hamiltonian Monte Carlo, Methods Ecol. Evol., 8 (2017), 339–348. https://doi.org/10.1111/2041-210X.12681 doi: 10.1111/2041-210X.12681
    [65] P. C. Bürkner, brms: An R package for Bayesian multilevel models using Stan, J. Stat. Software, 80 (2017), 1–28. https://doi.org/10.18637/jss.v080.i01 doi: 10.18637/jss.v080.i01
    [66] T. Gneiting, M. Katzfuss, Probabilistic forecasting, Annu. Rev. Stat. Appl., 1 (2014), 125–151. https://doi.org/10.1146/annurev-statistics-062713-085831 doi: 10.1146/annurev-statistics-062713-085831
    [67] F. J. Richards, A flexible growth function for empirical use, J. Exp. Bot., 10 (1959), 290–301. https://doi.org/10.1093/jxb/10.2.290 doi: 10.1093/jxb/10.2.290
    [68] K. G. Curran, K. Eberly, A. O. Russell, R. E. Snyder, E. Phillips, E. Tang, et al., HIV and sexually transmitted infections among persons with monkeypox — eight U.S. jurisdictions, May–July 2022, Morb. Mortal. Wkly. Rep., 71 (2022), 1141–1147. https://doi.org/10.15585/mmwr.mm7136a1 doi: 10.15585/mmwr.mm7136a1
    [69] A. Arenas, W. Cota, J. Gómez-Gardeñes, S. Gómez, C. Granell, J. T. Matamalas, et al., A mathematical model for the spatio-temporal epidemic spreading of COVID-19, medRxiv, 2020. https://doi.org/10.1101/2020.03.21.20040022
    [70] E. Walter, L. Pronzato, Identification of Parametric Models from Experimental Data, Springer, Berlin, 1997.
    [71] J. D. Stigter, Computing parameter identifiability and other structural properties for natural resource models, Nat. Resour. Model., 37 (2023), e12382. https://doi.org/10.1111/nrm.12382 doi: 10.1111/nrm.12382
    [72] E. A. Dankwa, A. F. Brouwer, C. A. Donnelly, Structural identifiability of compartmental models for infectious disease transmission is influenced by data type, Epidemics, 41 (2022), 100643. https://doi.org/10.1016/j.epidem.2022.100643 doi: 10.1016/j.epidem.2022.100643
    [73] J. Bracher, E. L. Ray, T. Gneiting, N. G. Reich, Evaluating epidemic forecasts in an interval format, PLoS Comput. Biol., 17 (2021), e1008618. https://doi.org/10.1371/journal.pcbi.1008618 doi: 10.1371/journal.pcbi.1008618
    [74] T. Gneiting, A. E. Raftery, Strictly proper scoring rules, prediction, and estimation, J. Am. Stat. Assoc., 102 (2007), 359–378. https://doi.org/10.1198/016214506000001437 doi: 10.1198/016214506000001437
    [75] S. P. Brooks, A. Gelman, General methods for monitoring convergence of iterative simulations, J. Comput. Graphical Stat., 7 (1998), 434–455. https://doi.org/10.1080/10618600.1998.10474787 doi: 10.1080/10618600.1998.10474787
    [76] B. Carpenter, Predator–prey population dynamics: The Lotka–Volterra model in Stan, 2018.
    [77] C. Elton, M. Nicholson, Periodic fluctuations in the numbers of animals: Their causes and effects, J. Exp. Biol., 2 (1924), 119–163. https://doi.org/10.1242/jeb.2.1.119 doi: 10.1242/jeb.2.1.119
    [78] V. P. Krishnasamy, B. D. Hallowell, J. Y. Ko, A. Board, K. P. Hartnett, P. P. Salvatore, et al., Characteristics of a nationwide outbreak of e-cigarette, or vaping, product use–associated lung injury — United States, August 2019–January 2020, Morb. Mortal. Wkly. Rep., 69 (2020), 90–94. https://doi.org/10.15585/mmwr.mm6903e2 doi: 10.15585/mmwr.mm6903e2
    [79] M. J. Lozier, B. Wallace, K. Anderson, S. Ellington, C. M. Jones, D. Rose, et al., Update: Demographic, product, and substance-use characteristics of hospitalized patients in a nationwide outbreak of e-cigarette, or vaping, product use–associated lung injury — United States, March 31–December 3, 2019, Morb. Mortal. Wkly. Rep., 68 (2019), 1142–1148. https://doi.org/10.15585/mmwr.mm6849e1 doi: 10.15585/mmwr.mm6849e1
    [80] Centers for Disease Control and Prevention, 2022 U.S. mpox outbreak global map. Available from: https://www.cdc.gov/poxvirus/mpox/response/2022/index.html.
    [81] G. Chowell, D. Hincapie-Palacio, J. Ospina, B. Pell, A. Tariq, S. Dahal, et al., Using phenomenological models to characterize transmissibility and forecast patterns and final burden of Zika epidemics, PLOS Curr. Outbreaks, 2016 (2016). https://doi.org/10.1371/currents.outbreaks.f14b2217c902f453d9320a43a35b9583 doi: 10.1371/currents.outbreaks.f14b2217c902f453d9320a43a35b9583
    [82] B. Pell, Y. Kuang, C. Viboud, G. Chowell, Using phenomenological models for forecasting the 2015 Ebola challenge, Epidemics, 22 (2018), 62–70. https://doi.org/10.1016/j.epidem.2016.11.002 doi: 10.1016/j.epidem.2016.11.002
    [83] R. van de Schoot, S. Depaoli, R. King, B. Kramer, K. Märtens, M. G. Tadesse, et al., Bayesian statistics and modelling, Nat. Rev. Methods Primers, 1 (2021). https://doi.org/10.1038/s43586-020-00001-2 doi: 10.1038/s43586-020-00001-2
    [84] L. Grinsztajn, E. Semenova, A. Margossian, E. B. Fox, Bayesian workflow for disease transmission modelling, Infect. Dis. Modell., 6 (2021), 409–423. https://doi.org/10.1016/j.idm.2021.02.001 doi: 10.1016/j.idm.2021.02.001
    [85] S. Giampiccolo, F. Reali, A. Fochesato, G. Iacca, L. Marchetti, Robust parameter estimation and identifiability analysis with hybrid neural ordinary differential equations in computational biology, npj Syst. Biol. Appl., 10 (2024), 139. https://doi.org/10.1101/2024.06.04.597372 doi: 10.1101/2024.06.04.597372
  • Reader Comments
  • © 2026 the Author(s), licensee AIMS Press. This is an open access article distributed under the terms of the Creative Commons Attribution License (http://creativecommons.org/licenses/by/4.0)
通讯作者: 陈斌, bchen63@163.com
  • 1. 

    沈阳化工大学材料科学与工程学院 沈阳 110142

  1. 本站搜索
  2. 百度学术搜索
  3. 万方数据库搜索
  4. CNKI搜索

Metrics

Article views(760) PDF downloads(31) Cited by(0)

Article outline

Figures and Tables

Figures(31)  /  Tables(29)

/

DownLoad:  Full-Size Img  PowerPoint
Return
Return

Catalog