Research article Special Issues

Dynamics of a stochastic turbidostat model with sampled and delayed measurements

  • Published: 31 January 2023
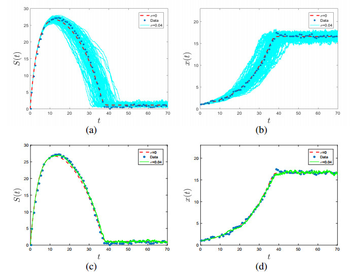
  • In this paper, a stochastic turbidostat model with controllable output is established by using piecewise constant delayed measurements of the substrate concentration. We commence by proving the existence and uniqueness of the global positive solution of the stochastic delayed model. Then, sufficient conditions of extinction and stochastic strong permanence of the biomass are acquired. In quick succession, we investigate the stochastic asymptotical stability of the washout equilibrium as well as the asymptotic behavior of the random paths approaching the interior equilibrium of its corresponding deterministic model by employing the method of Lyapunov functionals. Numerical and theoretical findings show that the influence of environmental random fluctuations on the dynamics of the model may be more pronounced than that of time delay.

    Citation: Tingting Yu, Sanling Yuan. Dynamics of a stochastic turbidostat model with sampled and delayed measurements[J]. Mathematical Biosciences and Engineering, 2023, 20(4): 6215-6236. doi: 10.3934/mbe.2023268

    Related Papers:

  • In this paper, a stochastic turbidostat model with controllable output is established by using piecewise constant delayed measurements of the substrate concentration. We commence by proving the existence and uniqueness of the global positive solution of the stochastic delayed model. Then, sufficient conditions of extinction and stochastic strong permanence of the biomass are acquired. In quick succession, we investigate the stochastic asymptotical stability of the washout equilibrium as well as the asymptotic behavior of the random paths approaching the interior equilibrium of its corresponding deterministic model by employing the method of Lyapunov functionals. Numerical and theoretical findings show that the influence of environmental random fluctuations on the dynamics of the model may be more pronounced than that of time delay.



    加载中


    [1] J. P. Grover, S. B. Hsu, F. B. Wang, Competition between microorganisms for a single limiting resource with cell quota structure and spatial variation, J. Math. Biol., 64 (2012), 713–743. https://doi.org/10.1007/s00285-011-0426-4 doi: 10.1007/s00285-011-0426-4
    [2] W. S. Keeran, P. D. Leenheer, S. S. Pilyugin, Feedback-mediated coexistence and oscillations in the chemostat, Discrete Contin. Dyn. Syst. B, 9 (2008), 321. https://doi.org/10.3934/dcdsb.2008.9.321 doi: 10.3934/dcdsb.2008.9.321
    [3] H. L. Smith, P. Waltman, The Theory of The Chemostat: Dynamics of Microbial Competition, Cambridge university press, Cambridge, 1995.
    [4] N. S. Panikov, Microbial Growth Kinetics, Springer, Netherlands, 1995.
    [5] M. L. Shuler, F. Kargi, M. DeLisa, Bioprocess engineering: Basic Concepts, third edition, Pearson Higher Ed USA, 2017.
    [6] T. Mtar, R. Fekih-Salem, T. Sari, Interspecific density-dependent model of predator-prey relationship in the chemostat, Int. J. Biomath., 14 (2021), 2050086. https://doi.org/10.1142/S1793524520500850 doi: 10.1142/S1793524520500850
    [7] S. Nouaoura, R. Fekih-Salem, N. Abdellatif, T. Sari, Operating diagrams for a three-tiered microbial food web in the chemostat, J. Math. Biol., 85 (2022), 1–29. https://doi.org/10.1007/s00285-022-01812-5 doi: 10.1007/s00285-022-01812-5
    [8] B. T. Nguyen, B. E. Rittmann, Low-cost optical sensor to automatically monitor and control biomass concentration in microalgal cultivation, Algal Res., 32 (2018), 101–106. https://doi.org/10.1016/j.algal.2018.03.013 doi: 10.1016/j.algal.2018.03.013
    [9] P. Q. Gong, X. G. Li, X. Zhou, Y. Zhan, N. Chen, S. K. Wang, et al., Optical fiber sensors for glucose concentration measurement: A review, Opt. Laser Technol., 139 (2021), 106981. https://doi.org/10.1016/j.optlastec.2021.106981 doi: 10.1016/j.optlastec.2021.106981
    [10] P. De Leenheer, H. Smith, Feedback control for chemostat models, J. Math. Biol., 46 (2003), 48–70. https://doi.org/10.1007/s00285-002-0170-x doi: 10.1007/s00285-002-0170-x
    [11] J. L. Gouz'e, G. Robledo, Feedback control for nonmonotone competition models in the chemostat, Nonlinear Anal. Real World Appl., 6 (2005), 671–690. https://doi.org/10.1016/j.nonrwa.2004.12.003 doi: 10.1016/j.nonrwa.2004.12.003
    [12] B. Li, Competition in a turbidostat for an inhibitory nutrient, J. Biol. Dyn., 2 (2008), 208–220. https://doi.org/10.1080/17513750802018345 doi: 10.1080/17513750802018345
    [13] C. Andrea, M. Michele, Competition of two microbial species in a turbidostat, Comput. Aided Chem. Eng., 28 (2010), 331–336. https://doi.org/10.1016/S1570-7946(10)28056-2 doi: 10.1016/S1570-7946(10)28056-2
    [14] C. Xu, S. Yuan, T. Zhang, Sensitivity analysis and feedback control of noise-induced extinction for competition chemostat model with mutualism, Physica A, 505 (2018), 891–902. https://doi.org/10.1016/j.physa.2018.04.040 doi: 10.1016/j.physa.2018.04.040
    [15] E. Balci, S. Kartal, İ. Öztürk, Fractional order turbidostat model with the discrete delay of digestion, Int. J. Appl. Comput. Math., 6 (2020), 1–12. https://doi.org/10.1007/s40819-020-00845-y doi: 10.1007/s40819-020-00845-y
    [16] J. Flegr, Two distinct types of natural selection in turbidostat-like and chemostat-like ecosystems, J. Theor. Biol., 188 (1997), 121–126. https://doi.org/10.1006/jtbi.1997.0458 doi: 10.1006/jtbi.1997.0458
    [17] Y. V. Miheev, V. A. Sobolev, È. M. Fridman, Asymptotic analysis of digital control systems, Autom. Remote. Control, 49 (1988), 83–88.
    [18] E. Fridman, Use of models with aftereffect in the problem of the design of optimal digital-control systems, Autom. Remote. Control, 1 (1992), 1523–1528.
    [19] G. Robledo, Feedback stabilization for a chemostat with delayed output, Math. Biosci. Eng., 6 (2006), 629–647.
    [20] O. Tagashira, T. Hara, Delayed feedback control for a chemostat model, Math. Biosci., 201 (2006), 101–112. https://doi.org/10.1016/j.mbs.2005.12.014 doi: 10.1016/j.mbs.2005.12.014
    [21] T. Yu, S. Yuan, T. Zhang, The effect of delay interval on the feedback control for a turbidostat model, J. Franklin I., 358 (2021), 7628–7649. https://doi.org/10.1016/j.jfranklin.2021.08.003 doi: 10.1016/j.jfranklin.2021.08.003
    [22] S. Yuan, P. Li, Y. Song, Delay induced oscillations in a turbidostat with feedback control, J. Math., 49 (2011), 1646–1666. https://doi.org/10.1007/s10910-011-9848-x doi: 10.1007/s10910-011-9848-x
    [23] F. Mazenc, J. Harmand, M. Malisoff, Stabilization in a Chemostat with Sampled and Delayed Measurements, American Control Conference, IEEE, (2016), 1857–1862.
    [24] M. K. Borisov, N. S. Dimitrova, M. I. Krastanov, Stability analysis and simulations of bioreactor model with delayed feedback, Math. Model., 4 (2017), 188–191.
    [25] M. K. Borisov, N. S. Dimitrova, M. I. Krastanov, Model-based stabilization of a fermentation process using output feedback with discrete time delay, in International Conference on Numerical Methods and Applications, Springer, (2018), 342–350. https://doi.org/10.1007/978-3-030-10692-8_38
    [26] C. Xu, S. Yuan, An analogue of break-even concentration in a simple stochastic chemostat model, Appl. Math. Lett., 48 (2015), 62–68. https://doi.org/10.1016/j.aml.2015.03.012 doi: 10.1016/j.aml.2015.03.012
    [27] C. Xu, S. Yuan, T. Zhang, Confidence domain in the stochastic competition chemostat model with feedback control, Appl. Math. J. Chinese Univ., 33 (2018), 379–389. https://doi.org/10.1007/s11766-018-3464-5 doi: 10.1007/s11766-018-3464-5
    [28] S. Sun, X. Zhang, Asymptotic behavior of a stochastic delayed chemostat model with nonmonotone uptake function, Physica A, 512 (2018), 38–56. https://doi.org/10.1016/j.physa.2018.08.010 doi: 10.1016/j.physa.2018.08.010
    [29] R. Yan, S. Sun, Stochastic characteristics of a chemostat model with variable yield, Physica A, 537 (2020), 122681. https://doi.org/10.1016/j.physa.2019.122681 doi: 10.1016/j.physa.2019.122681
    [30] X. Ji, S. Yuan, T. Zhang, H. Zhu, Stochastic modeling of algal bloom dynamics with delayed nutrient recycling, Math. Biosci. Eng., 16 (2019), 1–24. https://doi.org/10.3934/mbe.2019001 doi: 10.3934/mbe.2019001
    [31] Z. Cao, X. Wen, L. Zu, L. Liu, J. Hu, Stationary distribution of a stochastic chemostat model with Beddington-DeAngelis functional response, Physica A, 554 (2020), 124634. https://doi.org/10.1016/j.physa.2020.124634 doi: 10.1016/j.physa.2020.124634
    [32] Z Li, Y Mu, H. Xiang, H. Wang, Existence and persistence of positive solution for a stochastic turbidostat model, Adv. Differ. Equation, 2017 (2017), 389. https://doi.org/10.1186/s13662-017-1448-z doi: 10.1186/s13662-017-1448-z
    [33] Y. Mu, Z. Li, H. Xiang, H. Wang, Dynamical Analysis of a Stochastic Multispecies Turbidostat Model, Complexity, 2019 (2019), 1–18. https://doi.org/10.1155/2019/4681205 doi: 10.1155/2019/4681205
    [34] Z. Li, Y. Mu, H. Xiang, H. Wang, Mean persistence and extinction for a novel stochastic turbidostat model, Nonlinear Dyn., 97 (2019), 185–202. https://doi.org/10.1007/s11071-019-04965-z doi: 10.1007/s11071-019-04965-z
    [35] F. Mazenc, J. Harmand, M. Malisoff, Stabilization in a chemostat with sampled and delayed measurements and uncertain growth functions, Automatica, 78 (2017), 241–249. https://doi.org/10.1016/j.automatica.2016.12.035 doi: 10.1016/j.automatica.2016.12.035
    [36] Y. Mu, W. Lo, Dynamics of microorganism cultivation with delay and stochastic perturbation, Nonlinear Dyn., 101 (2020), 501–519. https://doi.org/10.1007/s11071-020-05718-z doi: 10.1007/s11071-020-05718-z
    [37] X. Mao, Stochastic Differential Equations and Applications, Elsevier, Amsterdam, 2007.
    [38] N. Dang, G. Yin, Stability of regime-switching diffusion systems with discrete states belonging to a countable set, SIAM J. Control Optim., 56 (2018), 3893–3917. https://doi.org/10.1137/17M1118476 doi: 10.1137/17M1118476
    [39] D. M. Espie, S. Macchietto, The optimal design of dynamic experiments, AIChE J., 35 (1989), 223–229. https://doi.org/10.1002/aic.690350206 doi: 10.1002/aic.690350206
    [40] G. F. Fussmann, S. P. Ellner, K. W. Shertzer, N. G. Hairston, Crossing the Hopf bifurcation in a live predator-prey system, Science, 290 (2000) 1358–1360. https://doi.org/10.1126/science.290.5495.1358 doi: 10.1126/science.290.5495.1358
    [41] W. Kong, S. Huang, F. Shi, J. Zhou, Y. Feng, Y. Xiao, Study on microcystis aeruginosa growth in incubator experiments by combination of Logistic and Monod functions, Algal Res., 35 (2018) 602–612. https://doi.org/10.1016/j.algal.2018.10.005 doi: 10.1016/j.algal.2018.10.005
    [42] H. Motulsky, A. Christopoulos, Fitting models to biological data using linear and nonlinear regression: A practical guide to curve fitting, Oxford University Press, Oxford, 2004.
    [43] W. Li, H. Cheng, M. Xia, K. Yang, An experimental study of pH optical sensor using a section of no-core fiber, Sensor. Actuat. A-Phys., 199 (2013) 260–264. https://doi.org/10.1016/j.sna.2013.06.004 doi: 10.1016/j.sna.2013.06.004
    [44] E. Schoolaert, R. Hoogenboom, K. De Clerck, Colorimetric nanofibers as optical sensors, Adv. Funct. Mater., 27 (2017), 1702646. https://doi.org/10.1002/adfm.201702646 doi: 10.1002/adfm.201702646
  • Reader Comments
  • © 2023 the Author(s), licensee AIMS Press. This is an open access article distributed under the terms of the Creative Commons Attribution License (http://creativecommons.org/licenses/by/4.0)
通讯作者: 陈斌, bchen63@163.com
  • 1. 

    沈阳化工大学材料科学与工程学院 沈阳 110142

  1. 本站搜索
  2. 百度学术搜索
  3. 万方数据库搜索
  4. CNKI搜索

Metrics

Article views(3018) PDF downloads(93) Cited by(1)

Article outline

Figures and Tables

Figures(3)  /  Tables(1)

Other Articles By Authors

/

DownLoad:  Full-Size Img  PowerPoint
Return
Return

Catalog