Research article Special Issues

Predicting potential biomarkers and immune infiltration characteristics in heart failure


  • Received: 19 April 2022 Revised: 28 May 2022 Accepted: 05 June 2022 Published: 16 June 2022
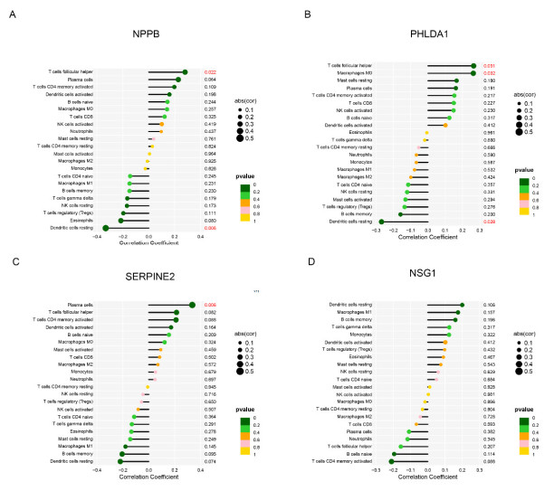
  • Background: Studies have demonstrated that immune cell activation and their infiltration in the myocardium can have adverse effects on the heart, contributing to the pathogenesis of heart failure (HF). The purpose of this study is used by bioinformatics analysis to determine the potential diagnostic markers of heart failure and establish an applicable model to predict the association between heart failure and immune cell infiltration. Methods: Firstly, gene expression profiles of dilated heart disease GSE3585 and GSE120895 were obtained in Gene Expression Omnibus (GEO) database. This study then selected differentially expressed genes (DEGs) in 54 patients with HF and 13 healthy controls. In this study, biomarkers were identified using Least Absolute Shrinkage and Selector Operation (LASSO) and Support Vector Machine-Recursive Feature Elimination (SVM-RFE). Additionally, we evaluated the prognostic discrimination performance by the receiver operating characteristic (ROC) curve. Cell type Identification by Estimating Relative Subsets of RNA Transcripts (CIBERSORT) was used for analyzing immune cell infiltration in HF tissues. Lastly, immune biomarkers were correlated with each other. Result: After 24 DEGs were analyzed using a combinatorial model of LASSO regression and SVM-RFE analysis, four key genes were obtained, namely NSG1, NPPB, PHLDA1, and SERPINE2.The area under the curve (AUC) of these four genes were greater than 0.8. Subsequently, using CIBERPORT, we also found that compared with normal people, the proportion of M1 macrophages and activated mast cells in heart failure tissues decreased. In addition, correlation analysis showed that NPPB, PHLDA1 and SERPINE2 were associated with immune cell infiltration. Conclusion: NSG1, NPPB, PHLDA1 and SERPINE2 were identified as potential biomarkers of heart failure. It reveals the comprehensive role of relevant central genes in immune infiltration, which provides a new research idea for the treatment and early detection in heart failure.

    Citation: Xuesi Chen, Qijun Zhang, Qin Zhang. Predicting potential biomarkers and immune infiltration characteristics in heart failure[J]. Mathematical Biosciences and Engineering, 2022, 19(9): 8671-8688. doi: 10.3934/mbe.2022402

    Related Papers:

  • Background: Studies have demonstrated that immune cell activation and their infiltration in the myocardium can have adverse effects on the heart, contributing to the pathogenesis of heart failure (HF). The purpose of this study is used by bioinformatics analysis to determine the potential diagnostic markers of heart failure and establish an applicable model to predict the association between heart failure and immune cell infiltration. Methods: Firstly, gene expression profiles of dilated heart disease GSE3585 and GSE120895 were obtained in Gene Expression Omnibus (GEO) database. This study then selected differentially expressed genes (DEGs) in 54 patients with HF and 13 healthy controls. In this study, biomarkers were identified using Least Absolute Shrinkage and Selector Operation (LASSO) and Support Vector Machine-Recursive Feature Elimination (SVM-RFE). Additionally, we evaluated the prognostic discrimination performance by the receiver operating characteristic (ROC) curve. Cell type Identification by Estimating Relative Subsets of RNA Transcripts (CIBERSORT) was used for analyzing immune cell infiltration in HF tissues. Lastly, immune biomarkers were correlated with each other. Result: After 24 DEGs were analyzed using a combinatorial model of LASSO regression and SVM-RFE analysis, four key genes were obtained, namely NSG1, NPPB, PHLDA1, and SERPINE2.The area under the curve (AUC) of these four genes were greater than 0.8. Subsequently, using CIBERPORT, we also found that compared with normal people, the proportion of M1 macrophages and activated mast cells in heart failure tissues decreased. In addition, correlation analysis showed that NPPB, PHLDA1 and SERPINE2 were associated with immune cell infiltration. Conclusion: NSG1, NPPB, PHLDA1 and SERPINE2 were identified as potential biomarkers of heart failure. It reveals the comprehensive role of relevant central genes in immune infiltration, which provides a new research idea for the treatment and early detection in heart failure.



    加载中


    [1] D. Snipelisky, S. P. Chaudhry, G. C. Stewart, The many faces of heart failure, Card. Electrophysiol. Clin., 11 (2019), 11–20. https://doi.org/10.1016/j.ccep.2018.11.001 doi: 10.1016/j.ccep.2018.11.001
    [2] A. L. Bui, T. B. Horwich, G. C. Fonarow, Epidemiology and risk profile of heart failure, Nat. Rev. Cardiol., 8 (2011), 30–41. https://doi.org/10.1038/nrcardio.2010.165 doi: 10.1038/nrcardio.2010.165
    [3] J. B. Young, The global epidemiology of heart failure, Med. Clin. North Am., 88 (2004), 1135–1143. https://doi.org/10.1016/j.mcna.2004.06.001 doi: 10.1016/j.mcna.2004.06.001
    [4] L. Klein, M. Gheorghiade, Coronary artery disease and prevention of heart failure, Med. Clin. North Am., 88 (2004), 1209–1235. https://doi.org/10.1016/j.mcna.2004.03.002 doi: 10.1016/j.mcna.2004.03.002
    [5] M. A. Evans, N. Smart, K. N. Dubé, S. Bollini, J. E. Clark, H. G. Evans, et al., Thymosin β4-sulfoxide attenuates inflammatory cell infiltration and promotes cardiac wound healing, Nat. Commun., 4 (2013), 2081. https://doi.org/10.1038/ncomms3081 doi: 10.1038/ncomms3081
    [6] D. P. Nelson, E. Setser, D. G. Hall, S. M. Schwartz, T. Hewitt, R. Klevitsky, et al., Proinflammatory consequences of transgenic fas ligand expression in the heart, J. Clin. Invest., 105 (2000), 1199–1208. https://doi.org/10.1172/JCI8212 doi: 10.1172/JCI8212
    [7] N. G. Frangogiannis, The mechanistic basis of infarct healing, Antioxid. Redox Signaling, 8 (2006), 1907–1939. https://doi.org/10.1089/ars.2006.8.1907 doi: 10.1089/ars.2006.8.1907
    [8] X. Ma, Q. Zhang, H. Zhu, K. Huang, W. Pang, Q. Zhang, Establishment and analysis of the lncRNA-miRNA-mRNA network based on competitive endogenous RNA identifies functional genes in heart failure, Math. Biosci. Eng., 18 (2021), 4011–4026. https://doi.org/10.3934/mbe.2021201 doi: 10.3934/mbe.2021201
    [9] Y. Shah, A. Verma, A. R. Marderstein, J. White, B. Bhinder, J. S. Garcia Medina, et al., Pan-cancer analysis reveals molecular patterns associated with age, Cell Rep., 37 (2021), 110100. https://doi.org/10.1016/j.celrep.2021.110100 doi: 10.1016/j.celrep.2021.110100
    [10] Y. Y. He, X. M. Xie, H. D. Zhang, J. Ye, S. Gencer, E. P. C. van der Vorst, et al., Identification of hypoxia induced metabolism associated genes in pulmonary hypertension, Front. Pharmacol., 12 (2021), 753727. https://doi.org/10.3389/fphar.2021.753727 doi: 10.3389/fphar.2021.753727
    [11] L. Li, Z. P. Liu, Biomarker discovery for predicting spontaneous preterm birth from gene expression data by regularized logistic regression, Comput. Struct. Biotechnol. J., 18 (2020), 3434–3446. https://doi.org/10.1016/j.csbj.2020.10.028 doi: 10.1016/j.csbj.2020.10.028
    [12] A. M. Newman, C. L. Liu, M. R. Green, A. J. Gentles, W. Feng, Y. Xu, et al., Robust enumeration of cell subsets from tissue expression profiles, Nat. Methods, 12 (2015), 453–457. https://doi.org/10.1038/nmeth.3337 doi: 10.1038/nmeth.3337
    [13] C. Huang, C. Zhang, J. Sheng, D. Wang, Y. Zhao, L. Qian, et al., Identification and validation of a tumor microenvironment-related gene signature in hepatocellular carcinoma prognosis, Front. Genet., 12 (2021), 717319. https://doi.org/10.3389/fgene.2021.717319 doi: 10.3389/fgene.2021.717319
    [14] X. Zheng, X. Zhou, H. Xu, D. Jin, L. Yang, B. Shen, et al., A novel immune-gene pair signature revealing the tumor microenvironment features and immunotherapy prognosis of muscle-invasive bladder cancer, Front. Genet., 12 (2021), 764184. https://doi.org/10.3389/fgene.2021.764184 doi: 10.3389/fgene.2021.764184
    [15] J. T. Leek, W. E. Johnson, H. S. Parker, A. E. Jaffe, J. D. Storey, The sva package for removing batch effects and other unwanted variation in high-throughput experiments, Bioinformatics, 28 (2012), 882–883. https://doi.org/10.1093/bioinformatics/bts034 doi: 10.1093/bioinformatics/bts034
    [16] M. E. Ritchie, B. Phipson, D. Wu, Y. Hu, C. W. Law, W. Shi, et al., Limma powers differential expression analyses for RNA-sequencing and microarray studies, Nucleic Acids Res., 43 (2015), e47. https://doi.org/10.1093/nar/gkv007 doi: 10.1093/nar/gkv007
    [17] G. Yu, L. G. Wang, Y. Han, Q. Y. He, ClusterProfiler: an R package for comparing biological themes among gene clusters, OMICS: J. Integr. Biol., 16 (2012), 284–287. https://doi.org/10.1089/omi.2011.0118 doi: 10.1089/omi.2011.0118
    [18] G. Yu, L. G. Wang, G. R. Yan, Q. Y. He, DOSE: an R/Bioconductor package for disease ontology semantic and enrichment analysis, Bioinformatics, 31 (2015), 608–609. https://doi.org/10.1093/bioinformatics/btu684 doi: 10.1093/bioinformatics/btu684
    [19] L. Myint, A. Hadavand, L. Jager, J. Leek, Comparison of beginning R students' perceptions of peer-made plots created in two plotting systems: a randomized experiment, J. Stat. Educ., 28 (2020), 98–108. https://doi.org/10.1080/10691898.2019.1695554 doi: 10.1080/10691898.2019.1695554
    [20] J. H. Friedman, T. Hastie, R. Tibshirani, Regularization paths for generalized linear models via coordinate descent, J. Stat. Software, 33 (2010), 1–22. https://doi.org/10.18637/jss.v033.i01 doi: 10.18637/jss.v033.i01
    [21] S. Huang, N. Cai, P. P. Pacheco, S. Narrandes, Y. Wang, W. Xu, Applications of support vector machine (SVM) learning in cancer genomics, Cancer Genomics Proteomics, 15 (2018), 41–51. https://doi.org/10.21873/cgp.20063 doi: 10.21873/cgp.20063
    [22] M. L. Huang, Y. H. Hung, W. M. Lee, R. K. Li, B. R. Jiang, SVM-RFE based feature selection and Taguchi parameters optimization for multiclass SVM classifier, Sci. World J., 2014 (2014), 795624. https://doi.org/10.1155/2014/795624 doi: 10.1155/2014/795624
    [23] Q. Zhou, J. Deng, X. Pan, D. Meng, Y. Zhu, Y. Bai, et al., Gut microbiome mediates the protective effects of exercise after myocardial infarction, Microbiome, 10 (2022), 82. https://doi.org/10.1186/s40168-022-01271-6 doi: 10.1186/s40168-022-01271-6
    [24] K. Zhao, Y. Li, Z. Zhou, Y. Mao, X. Wu, D. Hua, et al., Ginkgolide A alleviates cardiac remodeling in mice with myocardial infarction via binding to matrix metalloproteinase-9 to attenuate inflammation, Eur. J. Pharmacol., 923 (2022), 174932. https://doi.org/10.1016/j.ejphar.2022.174932 doi: 10.1016/j.ejphar.2022.174932
    [25] C. Kong, D. Lyu, C. He, R. Li, Q. Lu, Dioscin elevates lncRNA MANTIS in therapeutic angiogenesis for heart diseases, Aging Cell, 20 (2021), e13392. https://doi.org/10.1111/acel.13392 doi: 10.1111/acel.13392
    [26] H. Sanz, C. Valim, E. Vegas, J. M. Oller, F. Reverter, SVM-RFE: selection and visualization of the most relevant features through non-linear kernels, BMC Bioinf., 19 (2018), 432. https://doi.org/10.1186/s12859-018-2451-4 doi: 10.1186/s12859-018-2451-4
    [27] R. Tibshirani, The lasso method for variable selection in the Cox model, Stat. Med., 16 (1997), 385–395. https://doi.org/10.1002/(SICI)1097-0258(19970228)16:4 < 385::AID-SIM380 > 3.0.CO; 2-3 doi: 10.1002/(SICI)1097-0258(19970228)16:4<385::AID-SIM380>3.0.CO;2-3
    [28] A. J. McEligot, V. Poynor, R. Sharma, A. Panangadan, Logistic LASSO regression for dietary intakes and breast cancer, Nutrients, 12 (2020), 2652. https://doi.org/10.3390/nu12092652 doi: 10.3390/nu12092652
    [29] X. Shi, L. Zhang, Y. Li, J. Xue, F. Liang, H. W. Ni, et al., Integrative analysis of bulk and single-cell RNA sequencing data reveals cell types involved in heart failure, Front. Bioeng. Biotechnol., 9 (2021), 779225. https://doi.org/10.3389/fbioe.2021.779225 doi: 10.3389/fbioe.2021.779225
    [30] J. Sommer, S. M. Gloor, G. F. Rovelli, J. Hofsteenge, H. Nick, R. Meier, et al., cDNA sequence coding for a rat glia-derived nexin and its homology to members of the serpin superfamily, Biochemistry, 26 (1987), 6407–6410. https://doi.org/10.1021/bi00394a016 doi: 10.1021/bi00394a016
    [31] R. Vidal, J. U. G. Wagner, C. Braeuning, C. Fischer, R. Patrick, L. Tombor, et al., Transcriptional heterogeneity of fibroblasts is a hallmark of the aging heart, JCI Insight, 4 (2019), e131092. https://doi.org/10.1172/jci.insight.131092 doi: 10.1172/jci.insight.131092
    [32] X. Li, D. Zhao, Z. Guo, T. Li, M. Qili, B. Xu, et al., Overexpression of serpinE2/protease nexin-1 contribute to pathological cardiac fibrosis via increasing collagen deposition, Sci. Rep., 6 (2016), 37635. https://doi.org/10.1038/srep37635 doi: 10.1038/srep37635
    [33] X. Li, G. Wang, M. QiLi, H. Liang, T. Li, X. E, et al., Aspirin reduces cardiac interstitial fibrosis by inhibiting erk1/2-serpine2 and P-Akt signalling pathways, Cell. Physiol. Biochem., 45 (2018), 1955–1965. https://doi.org/10.1159/000487972 doi: 10.1159/000487972
    [34] C. G. Park, S. Y. Lee, G. Kandala, S. Y. Lee, Y. Choi, A novel gene product that couples TCR signaling to Fas(CD95) expression in activation-induced cell death, Immunity, 4 (1996), 583–591. https://doi.org/10.1016/S1074-7613(00)80484-7 doi: 10.1016/S1074-7613(00)80484-7
    [35] J. Wang, F. Wang, J. Zhu, M. Song, J. An, W. Li, Transcriptome profiling reveals PHLDA1 as a novel molecular marker for ischemic cardiomyopathy, J. Mol. Neurosci., 65 (2018), 102–109. https://doi.org/10.1007/s12031-018-1066-6 doi: 10.1007/s12031-018-1066-6
    [36] L. Liu, J. Huang, Y. Liu, X. Pan, Z. Li, L. Zhou, et al., Multiomics analysis of transcriptome, epigenome, and genome uncovers putative mechanisms for dilated cardiomyopathy, Biomed. Res. Int., 2021 (2021), 6653802. https://doi.org/10.1155/2021/6653802 doi: 10.1155/2021/6653802
    [37] Y. Guo, P. Jia, Y. Chen, H. Yu, X. Xin, Y. Bao, et al., PHLDA1 is a new therapeutic target of oxidative stress and ischemia reperfusion-induced myocardial injury, Life Sci., 245 (2020), 117347. https://doi.org/10.1016/j.lfs.2020.117347 doi: 10.1016/j.lfs.2020.117347
    [38] N. G. Frangogiannis, M. L. Lindsey, L. H. Michael, K. A. Youker, R. B. Bressler, L. H. Mendoza, et al., Resident cardiac mast cells degranulate and release preformed TNF-alpha, initiating the cytokine cascade in experimental canine myocardial ischemia/reperfusion, Circulation, 98 (1998), 699–710. https://doi.org/10.1161/01.CIR.98.7.699 doi: 10.1161/01.CIR.98.7.699
    [39] S. D. Prabhu, N. G. Frangogiannis, The biological basis for cardiac repair after myocardial infarction: from inflammation to fibrosis, Circ. Res., 119 (2016), 91–112. https://doi.org/10.1161/CIRCRESAHA.116.303577 doi: 10.1161/CIRCRESAHA.116.303577
    [40] W. P. Lafuse, D. J. Wozniak, M. V. S. Rajaram, Role of cardiac macrophages on cardiac inflammation, fibrosis and tissue repair, Cells, 10 (2020), 51. https://doi.org/10.3390/cells10010051 doi: 10.3390/cells10010051
  • Reader Comments
  • © 2022 the Author(s), licensee AIMS Press. This is an open access article distributed under the terms of the Creative Commons Attribution License (http://creativecommons.org/licenses/by/4.0)
通讯作者: 陈斌, bchen63@163.com
  • 1. 

    沈阳化工大学材料科学与工程学院 沈阳 110142

  1. 本站搜索
  2. 百度学术搜索
  3. 万方数据库搜索
  4. CNKI搜索

Metrics

Article views(4961) PDF downloads(223) Cited by(9)

Article outline

Figures and Tables

Figures(10)  /  Tables(1)

Other Articles By Authors

/

DownLoad:  Full-Size Img  PowerPoint
Return
Return

Catalog