Research article

Bifurcations and hybrid control in a 3×3 discrete-time predator-prey model

  • Received: 12 June 2020 Accepted: 28 September 2020 Published: 16 October 2020
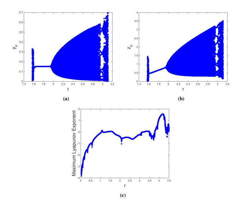
  • In this paper, we explore the bifurcations and hybrid control in a $3\times3$ discrete-time predator-prey model in the interior of $\mathbb{R}_+^3$. It is proved that $3\times3$ model has four boundary fixed points: $P_{000}(0, 0, 0)$, $P_{0y0}\left(0, \frac{r-1}{r}, 0\right)$, $P_{0yz}\left(0, \frac{d}{f}, \frac{rf-f-dr}{cf}\right)$, $P_{x0z}\left(\frac{d}{e}, 0, \frac{a}{b}\right)$, and the unique positive fixed point: $P^+_{xyz}\left(\frac{br(d-f)+f(b+ac)}{ber}, \frac{br-b-ac}{br}, \frac{a}{b}\right)$ under certain restrictions to the involved parameters. By utilizing method of Linearization, local dynamics along with topological classifications about fixed points have been investigated. Existence of prime period and periodic points of the model are also investigated. Further for $3\times3$ model, we have explored the occurrence of possible bifurcations about each fixed point, that gives more insight about the under consideration model. It is proved that the model cannot undergo any bifurcation about $P_{000}(0, 0, 0)$ and $P_{x0z}\left(\frac{d}{e}, 0, \frac{a}{b}\right)$, but the model undergo P-D and N-S bifurcations respectively about $P_{0y0}\left(0, \frac{r-1}{r}, 0\right)$ and $P_{0yz}\left(0, \frac{d}{f}, \frac{rf-f-dr}{cf}\right)$. For the unique positive fixed point: $P^+_{xyz}\left(\frac{br(d-f)+f(b+ac)}{ber}, \frac{br-b-ac}{br}, \frac{a}{b}\right)$, we have proved the N-S as well as P-D bifurcations by explicit criterion. Further, theoretical results are verified by numerical simulations. We have also presented the bifurcation diagrams and corresponding maximum Lyapunov exponents for the $3\times3$ model. The computation of the maximum Lyapunov exponents ratify the appearance of chaotic behavior in the under consideration model. Finally, the hybrid control strategy is applied to control N-S as well as P-D bifurcations in the discrete-time model.

    Citation: Abdul Qadeer Khan, Azhar Zafar Kiyani, Imtiaz Ahmad. Bifurcations and hybrid control in a 3×3 discrete-time predator-prey model[J]. Mathematical Biosciences and Engineering, 2020, 17(6): 6963-6992. doi: 10.3934/mbe.2020360

    Related Papers:

  • In this paper, we explore the bifurcations and hybrid control in a $3\times3$ discrete-time predator-prey model in the interior of $\mathbb{R}_+^3$. It is proved that $3\times3$ model has four boundary fixed points: $P_{000}(0, 0, 0)$, $P_{0y0}\left(0, \frac{r-1}{r}, 0\right)$, $P_{0yz}\left(0, \frac{d}{f}, \frac{rf-f-dr}{cf}\right)$, $P_{x0z}\left(\frac{d}{e}, 0, \frac{a}{b}\right)$, and the unique positive fixed point: $P^+_{xyz}\left(\frac{br(d-f)+f(b+ac)}{ber}, \frac{br-b-ac}{br}, \frac{a}{b}\right)$ under certain restrictions to the involved parameters. By utilizing method of Linearization, local dynamics along with topological classifications about fixed points have been investigated. Existence of prime period and periodic points of the model are also investigated. Further for $3\times3$ model, we have explored the occurrence of possible bifurcations about each fixed point, that gives more insight about the under consideration model. It is proved that the model cannot undergo any bifurcation about $P_{000}(0, 0, 0)$ and $P_{x0z}\left(\frac{d}{e}, 0, \frac{a}{b}\right)$, but the model undergo P-D and N-S bifurcations respectively about $P_{0y0}\left(0, \frac{r-1}{r}, 0\right)$ and $P_{0yz}\left(0, \frac{d}{f}, \frac{rf-f-dr}{cf}\right)$. For the unique positive fixed point: $P^+_{xyz}\left(\frac{br(d-f)+f(b+ac)}{ber}, \frac{br-b-ac}{br}, \frac{a}{b}\right)$, we have proved the N-S as well as P-D bifurcations by explicit criterion. Further, theoretical results are verified by numerical simulations. We have also presented the bifurcation diagrams and corresponding maximum Lyapunov exponents for the $3\times3$ model. The computation of the maximum Lyapunov exponents ratify the appearance of chaotic behavior in the under consideration model. Finally, the hybrid control strategy is applied to control N-S as well as P-D bifurcations in the discrete-time model.


    加载中


    [1] M. Braun, Differential Equations and Their Applications: An Introduction to Applied Mathematics, Springer-Verlage, New York, 1983.
    [2] F. Brauer, C. Castillo-Chavez, Mathematical Models in Population Biology and Epidemiology, Springer, New York, 2001.
    [3] T. Räz, The volterra principle generalized, Philos. Sci., 84 (2017), 737-760. doi: 10.1086/693874
    [4] S. Ahmad, On the non-autonomous Lotka-Volterra competition equation, Proc. Am. Math. Soc., 117 (1993), 199-204. doi: 10.1090/S0002-9939-1993-1143013-3
    [5] X. Liu, A note on the existence of periodic solution in discrete predator-prey models, Appl. Math. Model., 34 (2010), 2477-2483. doi: 10.1016/j.apm.2009.11.012
    [6] X. Tang, X. Zou, On positive periodic solutions of Lotka-Voletrra competition systems with deviating arguments, Proc. Am. Math. Soc., 134 (2006), 2967-2974. doi: 10.1090/S0002-9939-06-08320-1
    [7] H. N. Agiza, E. M. ELabbasy, H. EL-Metwally, A. A. Elsadany, Chaotic dynamics of a discrete prey-predator model with Holling type II, Nonlinear Anal. Real World Appl., 10 (2009), 116-129. doi: 10.1016/j.nonrwa.2007.08.029
    [8] A. G. M. Selvam, R. Janagaraj, P. Rathinavel, A discrete model of three species prey-predator system. Int. J. Innovative Res. Sci., 4 (2015), 18576-18584.
    [9] A. M. Yousef, S. M. Salman, A. A. Elsadany, Stability and bifurcation analysis of a delayed discrete predator-prey model. Int. J. Bifurcat. Chaos, 28 (2018), 1-26.
    [10] M. R. Sagayaraj, A. G. M. Selvam, R. Janagaraj, D. Pushparajan, Dynamical behavior in a three species discrete model of prey-predator interactions, Int. J. Comput. Sci. Math., 5 (2013), 11-20.
    [11] E. A. Grove, G. Ladas, Periodicities in Nonlinear Difference Equations, Chapman and Hall/CRC, 2004.
    [12] J. Guckenheimer, P. Holmes, Nonlinear Oscillations, Dynamical Systems and Bifurcation of Vector Fields, Springer-Verlag, New York, 1983.
    [13] W. B. Zhang, Discrete Dynamical Systems, Bifurcations and Chaos in Economic, Elsevier, 2006.
    [14] A. Q. Khan, T. Khalique, Bifurcations and chaos control in a discrete-time biological model. Int. J. Biomath., 13 (2020), 1-35.
    [15] A. Wikan, Discrete Dynamical Systems: With an Introduction to Discrete Optimization Problems, Bookboon, 2013.
    [16] D. Whitley, Discrete dynamical systems in dimensions one and two, Bull. London Math. Soc., 15 (1983), 177-217. doi: 10.1112/blms/15.3.177
    [17] M. G. Neubert, M. Kot, The subcritical collapse of predator populations in discrete-time predatorprey models, Math. Biosci., 110 (1992), 45-66. doi: 10.1016/0025-5564(92)90014-N
    [18] M. Sen, M. Banerjee, A. Morozov, Bifurcation analysis of a ratio-dependent prey-predator model with the Allee effect, Ecol. Complex., 11 (2012), 12-27. doi: 10.1016/j.ecocom.2012.01.002
    [19] Y. A. Kuznetsov, Elements of Applied Bifurcation Theorey, 3rd edition, Springer-Verlag, New York, 2004.
    [20] G. Wen, Criterion to identify hopf bifurcations in maps of arbitrary dimension, Phys. Rev. E, 72 (2005), 026201. doi: 10.1103/PhysRevE.72.026201
    [21] S. Yao, New bifurcation critical criterion of Flip-Neimark-Sacker bifurcations for twoparameterized family of-dimensional discrete systems, Discrete Dyn. Nat. Soc., 2012 (2012), 1-12.
    [22] G. Wen, S. Chen, Q. Jin, A new criterion of period-doubling bifurcation in maps and its application to an inertial impact shaker, J. Sound Vib., 311 (2008), 212-223. doi: 10.1016/j.jsv.2007.09.003
    [23] C. Tunç, On the stability and boundedness of solutions to third order nonlinear differential equations with retarded argument, Nonlinear Dyn., 57 (2009), 97-106. doi: 10.1007/s11071-008-9423-6
    [24] C. Tunç, O. Tunç, A note on certain qualitative properties of a second order linear differential system, Appl. Math. Inf. Sci., 9 (2015), 953-956.
    [25] C. Tunç, O. Tunç, On the boundedness and integration of non-oscillatory solutions of certain linear differential equations of second order, J. Adv. Res., 7 (2016), 165-168. doi: 10.1016/j.jare.2015.04.005
    [26] L. G. Yuan, Q. G. Yang, Bifurcation, invariant curve and hybrid control in a discrete-time predator-prey system, Appl. Math. Model., 39 (2015), 2345-2362. doi: 10.1016/j.apm.2014.10.040
    [27] E. M. Elabbasy, H. N. Agiza, H. El-Metwally, A. A. Elsadany, Bifurcation analysis, chaos and control in the Burgers mapping, Int. J. Nonlinear Sci., 4 (2007), 171-185.
    [28] G. Chen, J. Q. Fang, Y. Hong, H. Qin, Controlling Hopf bifurcations: Discrete-time systems, Discrete Dyn. Nat. Soc., 5 (2000), 29-33. doi: 10.1155/S1026022600000364
  • Reader Comments
  • © 2020 the Author(s), licensee AIMS Press. This is an open access article distributed under the terms of the Creative Commons Attribution License (http://creativecommons.org/licenses/by/4.0)
通讯作者: 陈斌, bchen63@163.com
  • 1. 

    沈阳化工大学材料科学与工程学院 沈阳 110142

  1. 本站搜索
  2. 百度学术搜索
  3. 万方数据库搜索
  4. CNKI搜索

Metrics

Article views(4793) PDF downloads(89) Cited by(2)

Article outline

Figures and Tables

Figures(11)  /  Tables(2)

Other Articles By Authors

/

DownLoad:  Full-Size Img  PowerPoint
Return
Return

Catalog