Research article

Combination of multi-variable quadratic adaptive algorithm and hybrid operator splitting method for stability against acceleration in the Markov model of sodium ion channels in the ventricular cell model

  • Received: 03 September 2019 Accepted: 03 December 2019 Published: 17 December 2019
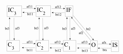
  • Markovian model is widely used to study cardiac electrophysiology and drug screening. Due to the stiffness of Markov model for single-cell simulation, it is prone to induce instability by using large time-steps. "Hybrid operator splitting" (HOS) and uniformization (UNI) methods were devised to solve Markovian models with fixed time-step. Recently, it is shown that these two methods combined with Chen-Chen-Luo's quadratic adaptive algorithm (CCL) can save markedly computation cost with adaptive time-step. However, CCL determines the time-step size solely based on the membrane potential. The voltage changes slowly to increase the step size rapidly, while the values of state variables of Markov sodium channel model still change dramatically. As a result, the system is not stable and the errors of membrane potential and sodium current exceed 5%. To resolve this problem, we propose a multi-variable CCL method (MCCL) in which state occupancies of Markov model are included with membrane potential as the control quadratic parameters to determine the time-step adaptively. Using fixed time-step RK4 as a reference, MCCL combined with HOS solver has 17.2~times speedup performance with allowable errors 0.6% for Wild-Type Na+ channel with 9 states (WT-9) model, and it got 21.1 times speedup performance with allowable errors 3.2% for Wild-Type Na+ channel with 8 states (WT-8) model. It is concluded that MCCL can improve the simulation instability problem induced by a large time-step made with CCL especially for high stiff Markov model under allowable speed tradeoff.

    Citation: Ching-Hsing Luo, Xing-Ji Chen, Min-Hung Chen. Combination of multi-variable quadratic adaptive algorithm and hybrid operator splitting method for stability against acceleration in the Markov model of sodium ion channels in the ventricular cell model[J]. Mathematical Biosciences and Engineering, 2020, 17(2): 1808-1819. doi: 10.3934/mbe.2020095

    Related Papers:

  • Markovian model is widely used to study cardiac electrophysiology and drug screening. Due to the stiffness of Markov model for single-cell simulation, it is prone to induce instability by using large time-steps. "Hybrid operator splitting" (HOS) and uniformization (UNI) methods were devised to solve Markovian models with fixed time-step. Recently, it is shown that these two methods combined with Chen-Chen-Luo's quadratic adaptive algorithm (CCL) can save markedly computation cost with adaptive time-step. However, CCL determines the time-step size solely based on the membrane potential. The voltage changes slowly to increase the step size rapidly, while the values of state variables of Markov sodium channel model still change dramatically. As a result, the system is not stable and the errors of membrane potential and sodium current exceed 5%. To resolve this problem, we propose a multi-variable CCL method (MCCL) in which state occupancies of Markov model are included with membrane potential as the control quadratic parameters to determine the time-step adaptively. Using fixed time-step RK4 as a reference, MCCL combined with HOS solver has 17.2~times speedup performance with allowable errors 0.6% for Wild-Type Na+ channel with 9 states (WT-9) model, and it got 21.1 times speedup performance with allowable errors 3.2% for Wild-Type Na+ channel with 8 states (WT-8) model. It is concluded that MCCL can improve the simulation instability problem induced by a large time-step made with CCL especially for high stiff Markov model under allowable speed tradeoff.


    加载中


    [1] A. Lopezperez, R. Sebastian, J. M. Ferrero, Three-dimensional cardiac computational modelling: Methods, features and applications, Biomed. Eng. Online, 14 (2015), 35.
    [2] P. Pathmanathan, R. A. Gray, Validation and trustworthiness of multiscale models of cardiac electrophysiology, Front. Physiol., 9 (2018), 106.
    [3] C. P. Adler, U. Costabel, Cell number in human heart in atrophy, hypertrophy, and under the influence of cytostatics, Recent Adv. Stud. Card. Struct. Metab., 6 (1975), 343-355.
    [4] Y. Xia, K. Wang, H. Zhang, Parallel optimization of 3d cardiac electrophysiological model using gpu, Comput. Math. Methods Med., 2015 (2015), 862735.
    [5] J. Langguth, L. Qiang, N. Gaur, C. Xing, Accelerating detailed tissue-scale 3d cardiac simulations using heterogeneous cpu-xeon phi computing, Int. J. Parallel Program., 45 (2016), 1-23.
    [6] R. Sachetto Oliveira, B. Martins Rocha, D. Burgarelli, W. Meira, C. Constantinides, R. Weber Dossantos, Performance evaluation of gpu parallelization, space-time adaptive algorithms, and their combination for simulating cardiac electrophysiology, Int. J. Numer. Method Biomed. Eng., 34 (2017), e2913.
    [7] N. Altanaite, J. Langguth, Gpu-based acceleration of detailed tissue-scale cardiac simulations, in Proceedings of the 11th Workshop on General Purpose GPUs, ACM, 2018, 31-38.
    [8] E. Esmaili, A. Akoglu, S. Hariri, T. Moukabary, Implementation of scalable bidomain-based 3d cardiac simulations on a graphics processing unit cluster, J. Supercomput., 75 (2019), 1-32.
    [9] V. M. Garcia-Molla, A. Liberos, A. Vidal, M. S. Guillem, J. Millet, A. Gonzalez, et al., Adaptive step ode algorithms for the 3d simulation of electric heart activity with graphics processing units, Comput. Biol. Med, 44 (2014), 15-26.
    [10] N. Chamakuri, Parallel and space-time adaptivity for the numerical simulation of cardiac action potentials, Appl. Math. Comput., 353 (2019), 406-417.
    [11] R. J. Spiteri, R. C. Dean, Stiffness analysis of cardiac electrophysiological models, Annals Biomed. Eng., 38 (2010), 3592.
    [12] Y. Coudire, C. Douanla-Lontsi, C. Pierre, Exponential adams?bashforth integrators for stiff odes, application to cardiac electrophysiology, Math. Comput. Simul., 153 (2018), 15-34.
    [13] K. R. Green, R. J. Spiteri, Gating-enhanced imex splitting methods for cardiac monodomain simulation, Numer. Algorithms, 81 (2019), 1443-1457.
    [14] A. C. Hindmarsh, R. Serban, D. R. Reynolds, Sundials: Suite of nonlinear and differential/algebraic equation solvers. Available from: https://computing.llnl.gov/projects/sundials/sundials-software.
    [15] J. R. Bankston, K. J. Sampson, S. Kateriya, I. W. Glaaser, D. L. Malito, W. K. Chung, et al., A novel lqt-3 mutation disrupts an inactivation gate complex with distinct rate-dependent phenotypic consequences, Channels, 1 (2007), 273-280.
    [16] A. Greer-Short, S. A. George, S. Poelzing, S. H. Weinberg, Revealing the concealed nature of long-qt type 3 syndrome, Circ.: Arrhythmia Electrophysiol., 10 (2017), e004400.
    [17] C. Campana, I. Gando, R. B. Tan, F. Cecchin, W. A. Coetzee, E. A. Sobie, Population-based mathematical modeling to deduce disease-causing cardiac Na+ channel gating defects, Biophys. J., 114 (2018), 634-635.
    [18] J. D. Moreno, T. J. Lewis, C. E. Clancy, Parameterization forin-silicomodeling of ion channel interactions with drugs, Plos One, 11 (2016), e0150761.
    [19] A. Tveito, M. Maleckar Mary, T. Lines Glenn, Computing optimal properties of drugs using mathematical models of single channel dynamics, Comput. Math. Biophys., 6 (2018), 41.
    [20] J. M. Gomes, A. Alvarenga, R. S. Campos, B. M. Rocha, A. P. C. da Silva, R. W. dos Santos, Uniformization method for solving cardiac electrophysiology models based on the markov-chain formulation, IEEE Trans. Biomed. Eng., 62 (2015), 600-608.
    [21] T. Stary, V. N. Biktashev, Exponential integrators for a markov chain model of the fast sodium channel of cardiomyocytes, IEEE Trans. Biomed. Eng., 62 (2015), 1070-1076.
    [22] M. H. Chen, P. Y. Chen, C. H. Luo, Quadratic adaptive algorithm for solving cardiac action potential models, Comput. Biol. Med., 77 (2016), 261-273.
    [23] X. J. Chen, C. H. Luo, M. H. Chen, X. Zhou, Combination of "quadratic adaptive algorithm" and "hybrid operator splitting" or uniformization algorithms for stability against acceleration in the markov model of sodium ion channels in the ventricular cell model, Med. Biol. Eng. Comput., 57 (2019), 1367-1379.
    [24] M. E. Marsh, S. T. Ziaratgahi, R. J. Spiteri, The secrets to the success of the rush-larsen method and its generalizations, IEEE Trans. Biomed. Eng., 59 (2012), 2506-2515.
    [25] C. E. Clancy, R. Yoram, Na(+) channel mutation that causes both brugada and long-qt syndrome phenotypes: A simulation study of mechanism, Circulation, 105 (2002), 1208-1213.
    [26] C. H. Luo, Y. Rudy, A dynamic model of the cardiac ventricular action potential. i. simulations of ionic currents and concentration changes, Circ. Res., 74 (1994), 1071-1096.
    [27] B. Hille, Ion channels of excitable membranes, 3rd edition, Sinauer Sunderland, MA, 2001.
    [28] R. B. Sidje, K. Burrage, S. MacNamara, Inexact uniformization method for computing transient distributions of markov chains, SIAM J. Sci. Comput., 29 (2007), 2562-2580.
  • Reader Comments
  • © 2020 the Author(s), licensee AIMS Press. This is an open access article distributed under the terms of the Creative Commons Attribution License (http://creativecommons.org/licenses/by/4.0)
通讯作者: 陈斌, bchen63@163.com
  • 1. 

    沈阳化工大学材料科学与工程学院 沈阳 110142

  1. 本站搜索
  2. 百度学术搜索
  3. 万方数据库搜索
  4. CNKI搜索

Metrics

Article views(4671) PDF downloads(381) Cited by(1)

Article outline

Figures and Tables

Figures(4)  /  Tables(3)

Other Articles By Authors

/

DownLoad:  Full-Size Img  PowerPoint
Return
Return

Catalog