Dynamics of delayed mosquitoes populations models with two different strategies of releasing sterile mosquitoes

  • Published: 01 October 2018
  • MSC : Primary: 92D25, 92B05, 34D20, 34A34

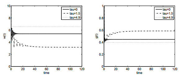
  • To prevent the transmissions of mosquito-borne diseases (e.g., malaria, dengue fever), recent works have considered the problem of using the sterile insect technique to reduce or eradicate the wild mosquito population. It is important to consider how reproductive advantage of the wild mosquito population offsets the success of population replacement. In this work, we explore the interactive dynamics of the wild and sterile mosquitoes by incorporating the delay in terms of the growth stage of the wild mosquitoes. We analyze (both analytically and numerically) the role of time delay in two different ways of releasing sterile mosquitoes. Our results demonstrate that in the case of constant release rate, the delay does not affect the dynamics of the system and every solution of the system approaches to an equilibrium point; while in the case of the release rate proportional to the wild mosquito populations, the delay has a large effect on the dynamics of the system, namely, for some parameter ranges, when the delay is small, every solution of the system approaches to an equilibrium point; but as the delay increases, the solutions of the system exhibit oscillatory behavior via Hopf bifurcations. Numerical examples and bifurcation diagrams are also given to demonstrate rich dynamical features of the model in the latter release case.

    Citation: Liming Cai, Shangbing Ai, Guihong Fan. Dynamics of delayed mosquitoes populations models with two different strategies of releasing sterile mosquitoes[J]. Mathematical Biosciences and Engineering, 2018, 15(5): 1181-1202. doi: 10.3934/mbe.2018054

    Related Papers:

  • To prevent the transmissions of mosquito-borne diseases (e.g., malaria, dengue fever), recent works have considered the problem of using the sterile insect technique to reduce or eradicate the wild mosquito population. It is important to consider how reproductive advantage of the wild mosquito population offsets the success of population replacement. In this work, we explore the interactive dynamics of the wild and sterile mosquitoes by incorporating the delay in terms of the growth stage of the wild mosquitoes. We analyze (both analytically and numerically) the role of time delay in two different ways of releasing sterile mosquitoes. Our results demonstrate that in the case of constant release rate, the delay does not affect the dynamics of the system and every solution of the system approaches to an equilibrium point; while in the case of the release rate proportional to the wild mosquito populations, the delay has a large effect on the dynamics of the system, namely, for some parameter ranges, when the delay is small, every solution of the system approaches to an equilibrium point; but as the delay increases, the solutions of the system exhibit oscillatory behavior via Hopf bifurcations. Numerical examples and bifurcation diagrams are also given to demonstrate rich dynamical features of the model in the latter release case.


    加载中
    [1] [ R. Abdul-Ghani,H. F. Farag,A. F. Allam,A. A. Azazy, Measuring resistant-genotype transmission of malaria parasites: challenges and prospects, Parasitol Res., 113 (2014): 1481-1487.
    [2] [ P. L. Alonso, G. Brown, M. Arevalo-Herrera, et al, A research agenda to underpin malaria eradication, PLoS Med., 8 (2011), e1000406.
    [3] [ L. Alphey,M. Benedict,R. Bellini,G. G. Clark,D. A. Dame,M. W. Service,S. L. Dobson, Sterile-insect methods for control of mosquito-borne diseases: An analysis, Vector Borne Zoonotic Dis., 10 (2010): 295-311.
    [4] [ J. Arino,L. Wang,G. S. Wolkowicz, An alternative formulation for a delayed logistic equation, J. Theor. Biol., 241 (2006): 109-119.
    [5] [ M. Q. Benedict,A. S. Robinson, The first releases of transgenic mosquitoes: An argument for the sterile insect technique, Trends Parasitol, 19 (2003): 349-355.
    [6] [ E. Beretta,Y. Kuang, Geometric stability switch criteria in delay differential systems with delay dependent parameters, SIAM J. Math. Anal., 33 (2002): 1144-1165.
    [7] [ J. G. Breman, The ears of the hippopotamus: Manifestations, determinants, and estimates of the malaria burden, Am. J. Trop. Med. Hyg., 64 (2001): 1-11.
    [8] [ W. G. Brogdon,J. C. McAllister, Insecticide resistance and vector control, J. Agromedicine, 6 (1999): 41-58.
    [9] [ L. Cai,S. Ai,J. Li, Dynamics of mosquitoes populations with different strategies for releasing sterile mosquitoes, SIAM, J. Appl. Math., 74 (2014): 1786-1809.
    [10] [ K. Cooke,P. van den Driessche,X. Zou, Interaction of maturation delay and nonlinear birth in population and epidemic models, J. Math. Biol., 39 (1999): 332-352.
    [11] [ H. Diaz,A. A. Ramirez,A. Olarte,C. Clavijo, A model for the control of malaria using genetically modified vectors, J. Theor. Biol., 276 (2011): 57-66.
    [12] [ J. Dieudonné, Foundations of Modern Analysis, Academic Press, New York, 1960.
    [13] [ Y. Dumont,J. M. Tchuenche, Mathematical studies on the sterile insect technique for the Chikungunya disease and Aedes albopictus, J. Math. Biol., 65 (2012): 809-854.
    [14] [ V. A. Dyck, J. Hendrichs and A. S. Robinson, Sterile insect technique -principles and practice in area-wide integrated pest management, Springer, The Netherlands, 2005.
    [15] [ C. Dye, Models for the population dynamics of the yellow fever mosquito, Aedes aegypti, J. Anim. Ecol., 53 (1984): 247-268.
    [16] [ L. Esteva,H. M. Yang, Assessing the effects of temperature and dengue virus load on dengue transmission, J. Biol. Syst., 23 (2015): 527-554.
    [17] [ L. Esteva,H. M. Yang, Mathematical model to assess the control of Aedes aegypti mosquitoes by the sterile insect technique, Math. Biosci., 198 (2005): 132-147.
    [18] [ J. E. Gentile,S. Rund,G. R Madey, Modelling sterile insect technique to control the population of Anopheles gambiae, Malaria J., 14 (2015): 92-103.
    [19] [ J. K. Hale and S. M. Verduyn Lunel, Introduction to Functional Differential Equation, Springer, New York, 1993.
    [20] [ J. Ito,A. Ghosh,L. A. Moreira,E. A. Wilmmer,M. Jacobs-Lorena, Transgenic anopheline mosquitoes impaired in transmission of a malria parasite, Nature, 417 (2002): 452-455.
    [21] [ M. Jankovic,S. Petrovskii, Are time delays always destabilizing? Revisiting the role of time delays and the Allee effect, Theor Ecol., 7 (2014): 335-349.
    [22] [ E. F. Knipling, Possibilities of insect control or eradication through the use of sexually sterile males, J. Econ. Entomol., 48 (1955): 459-462.
    [23] [ Y. Kuang, Delay Differential Equations with Applications in Population Dynamics, Academic Press, New York, 1993.
    [24] [ S. S. Lee,R. E. Baker,E. A. Gaffney,S. M. White, Modelling Aedes aegypti mosquito control via transgenic and sterile insect techniques: Endemics and emerging outbreaks, J. Theor. Biol., 331 (2013): 78-90.
    [25] [ M. A. Lewis,P. van den Driessche, Waves of extinction from sterile insect release, Math. Biosci., 116 (1993): 221-247.
    [26] [ J. Li, New revised simple models for interactive wild and sterile mosquito populations and their dynamics, J. Biol. Dyna., 11 (2017): 316-333.
    [27] [ J. Li,L. Cai,Y. Li, Stage-structured wild and sterile mosquito population models and their dynamics, J. Biol.Dyna., 11 (2017): 79-101.
    [28] [ J. Lu,J. Li, Dynamics of stage-structured discrete mosquito population, J. Appl. Anal. Comput., 1 (2011): 53-67.
    [29] [ G. J. Lycett,F. C. Kafatos, Anti-malaria mosquitoes?, Nautre, 417 (2002): 387-388.
    [30] [ C. W. Morin,A. C. Comrie, Regional and seasonal response of a West Nile virus vector to climate change, PNAS, 110 (2013): 15620-15625.
    [31] [ W. W. Murdoch, C. J. Briggs and R. M. Nisbet, Consumer-resource dynamics, Princeton University Press, New Jersey, USA, 2003.
    [32] [ H. K. Phuc, M. H. Andreasen, et al, Late-acting dominant lethal genetic systems and mosquito control, BMC. Biol., 5 (2007), 11–16.
    [33] [ E. P. Pliego,J. Vel$\acute{a}$zquez-Castro,A. F. Collar, Seasonality on the life cycle of Aedes aegypti mosquito and its statistical relation with dengue outbreaks, Appl. Math. Model., 50 (2017): 484-496.
    [34] [ M. Rafikov,L. Bevilacqua,A. P. Wyse, Optimal control strategy of malaria vector using genetically modified mosquitoes, J. Theor. Biol., 258 (2009): 418-425.
    [35] [ S. J. Schreiber, Allee effect, extinctions, and chaotic transients in simple population models, Theor. Popul. Biol., 64 (2003): 201-209.
    [36] [ J. Smith,M. Amador,R. Barrera, Seasonal and habitat effects on dengue and West Nile Virus Vectors in San Juan, Puerto Rico, J. Am. Mosq. Control. Assoc., 25 (2009): 38-46.
    [37] [ H. Townson, SIT for African malaria vectors: Epilogue, Malar. J., 8 (2009), S10.
    [38] [ WHO, 10 facts on malaria, http://www.who.int/features/factfiles/malaria/en/.
    [39] [ J. Wu,H. R. Thieme,Y. Lou,G. Fan, Stability and persistence in ODE models for populations with many stages, Math. Biosc. Eng., 12 (2015): 661-686.
    [40] [ B. Zheng,M. Tang,J. Yu, Modeling Wolbachia spread in mosquitoes through delay differential equations, SIAM J. Appl. Math., 74 (2014): 743-770.
    [41] [ B. Zheng,M. Tang,J. Yu,J. Qiu, Wolbachia spreading dynamics in mosquitoes with imperfect maternal transmission, J. Math. Biol., 76 (2018): 235-263.
  • Reader Comments
  • © 2018 the Author(s), licensee AIMS Press. This is an open access article distributed under the terms of the Creative Commons Attribution License (http://creativecommons.org/licenses/by/4.0)
通讯作者: 陈斌, bchen63@163.com
  • 1. 

    沈阳化工大学材料科学与工程学院 沈阳 110142

  1. 本站搜索
  2. 百度学术搜索
  3. 万方数据库搜索
  4. CNKI搜索

Metrics

Article views(5659) PDF downloads(923) Cited by(37)

Article outline

Figures and Tables

Figures(10)

Other Articles By Authors

/

DownLoad:  Full-Size Img  PowerPoint
Return
Return

Catalog