Research article Special Issues

A multi-objective grey wolf optimizer for grid-based mobile robot path planning with turn-aware optimization

  • Published: 28 April 2026
  • MSC : 90C59, 90C29, 90C35, 68T40

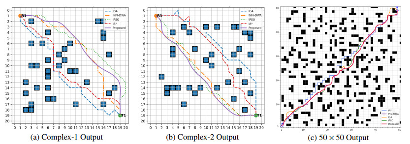
  • Grid-based mobile robot path planning often requires a trade-off between path efficiency and maneuver regularity when obstacle force detours and trigger heading changes. This paper proposes a multi-objective grey wolf optimizer for grid-based path planning with turn-aware optimization. The path length and maneuver burden are optimized simultaneously using an 8-connected motion model with Euclidean-consistent costs and a strict no-corner-cutting feasibility rule. The experimental analysis is organized in three levels: A basic benchmark specification with 9-map environments, a structured 60-map benchmark covering five grid sizes, four obstacle-density levels, and three obstacle morphologies, and sequential qualitative visualization of dynamic obstacle avoidance and multi-robot coordination. The proposed method consistently achieves the lowest mean path length and the lowest mean turn count among the compared methods. Statistical comparison further shows significant gains in path length and turning burden on the majority of benchmark environments. The results indicate that the proposed method preserves favorable path-quality trade-offs across increasing grid size, obstacle density, and structural complexity, while also exhibiting coherent behavior in dynamic avoidance and coordination scenarios.

    Citation: Tawfik Guesmi, Nandhini Mahadevan, Dinesh Karunanidy, Khalid Alqunun. A multi-objective grey wolf optimizer for grid-based mobile robot path planning with turn-aware optimization[J]. AIMS Mathematics, 2026, 11(4): 11882-11923. doi: 10.3934/math.2026488

    Related Papers:

  • Grid-based mobile robot path planning often requires a trade-off between path efficiency and maneuver regularity when obstacle force detours and trigger heading changes. This paper proposes a multi-objective grey wolf optimizer for grid-based path planning with turn-aware optimization. The path length and maneuver burden are optimized simultaneously using an 8-connected motion model with Euclidean-consistent costs and a strict no-corner-cutting feasibility rule. The experimental analysis is organized in three levels: A basic benchmark specification with 9-map environments, a structured 60-map benchmark covering five grid sizes, four obstacle-density levels, and three obstacle morphologies, and sequential qualitative visualization of dynamic obstacle avoidance and multi-robot coordination. The proposed method consistently achieves the lowest mean path length and the lowest mean turn count among the compared methods. Statistical comparison further shows significant gains in path length and turning burden on the majority of benchmark environments. The results indicate that the proposed method preserves favorable path-quality trade-offs across increasing grid size, obstacle density, and structural complexity, while also exhibiting coherent behavior in dynamic avoidance and coordination scenarios.



    加载中


    [1] X. Bian, W. Q. Zhao, L. Tang, H. Zhao, X. S. Mei, FastSLAM-MO-PSO: A robust method for simultaneous localization and mapping in mobile robots navigating unknown environments, Appl. Sci., 14 (2024), 10268. https://doi.org/10.3390/app142210268 doi: 10.3390/app142210268
    [2] Z. W. Guo, Y. F. Yang, S. L. Dai, A fusion algorithm integrating hybrid a-star and dynamic window approach for enhanced mobile robot path planning, In: 2025 44th Chinese Control Conference (CCC), 2025, 1–6. https://doi.org/10.23919/CCC64809.2025.11179573
    [3] N. Baras, M. Dasygenis, Ugv coverage path planning: An energy-efficient approach through turn reduction, Electronics, 12 (2023), 2959. https://doi.org/10.3390/electronics12132959 doi: 10.3390/electronics12132959
    [4] S. Bochkarev, S. L. Smith, On minimizing turns in robot coverage path planning, In: 2016 IEEE International Conference on Automation Science and Engineering (CASE), 2016, 1237–1242. https://doi.org/10.1109/COASE.2016.7743548
    [5] K. Karur, N. Sharma, C. Dharmatti, J. E. Siegel, A survey of path planning algorithms for mobile robots, Vehicles, 3 (2021), 448–468. https://doi.org/10.3390/vehicles3030027 doi: 10.3390/vehicles3030027
    [6] F. Z. Gul, I. Mir, L. Abualigah, P. Sumari, A. Forestiero, A consolidated review of path planning and optimization techniques: Technical perspectives and future directions, Electronics, 10 (2021), 2250. https://doi.org/10.3390/electronics10182250 doi: 10.3390/electronics10182250
    [7] T. Xue, L. Li, L. Shuang, Z. P. Du, P, Ming, Path planning of mobile robot based on improved ant colony algorithm for logistics, Math. Biosci. Eng., 18 (2021), 3034–3045. https://www.aimspress.com/article/doi/10.3934/mbe.2021152 doi: 10.3934/mbe.2021152
    [8] S. Mirjalili, S. M. Mirjalili, A. Lewis, Grey wolf optimizer, Adv. Eng. Softw., 69 (2014), 46–61. https://doi.org/10.1016/j.advengsoft.2013.12.007 doi: 10.1016/j.advengsoft.2013.12.007
    [9] L. K. Hu, Z. Kong, Multi-target point path planning algorithm for mobile robot based on probabilistic roadmap, Intel. Serv. Robot., 19 (2026), 9. https://doi.org/10.1007/s11370-025-00670-6 doi: 10.1007/s11370-025-00670-6
    [10] M. G. Tan, S. Z. Wang, B. Huang, Z. B. Yang, R. F. Chen, X.Y. Shen, et al., Beyond visibility limits: A DRL-based navigation strategy for unexpected obstacles, Unmanned Syst., 2026, 1–13.
    [11] X. W. Zhou, J. W. Yan, M. Yan, K. H. Mao, R. Z. Yang, W. Y. Liu, Path planning of rail-mounted logistics robots based on the improved dijkstra algorithm, Appl. Sci., 13 (2023), 9955. https://doi.org/10.3390/app13179955 doi: 10.3390/app13179955
    [12] L. J. Zhu, P. Duan, L. L. Meng, X. H. Yang, Gao-rrt*: A path planning algorithm for mobile robot with low path cost and fast convergence, AIMS Math., 9 (2024), 12011–12042. https://doi.org/10.3934/math.2024587 doi: 10.3934/math.2024587
    [13] H. Y. Zhang, W. M. Lin, A. X. Chen, Path planning for the mobile robot: A review, Symmetry, 10 (2018), 450. https://doi.org/10.3390/sym10100450 doi: 10.3390/sym10100450
    [14] Y. F. Wang, X. R. Zhao, G. Chen, X. Y. Gao, K. C. Chen, Improved PRM algorithm based on dynamic partitioning and adaptive sampling, Biomim. Intell. Robot., 6, (2026), 100283. https://doi.org/10.1016/j.birob.2026.100283 doi: 10.1016/j.birob.2026.100283
    [15] I. Thammachantuek, M. Ketcham, Path planning for autonomous mobile robots using multi-objective evolutionary particle swarm optimization, PLoS ONE, 17 (2022), e0271924. https://doi.org/10.1371/journal.pone.0271924 doi: 10.1371/journal.pone.0271924
    [16] Z. A. Yu, P. Duan, L. L. Meng, Y. Y. Han, Y. Fan, Multi-objective path planning for mobile robot with an improved artificial bee colony algorithm, Math. Biosci. Eng., 20 (2023), 2501–2529. https://doi.org/10.3934/mbe.2023117 doi: 10.3934/mbe.2023117
    [17] S. H. Yin, J. B. Hu, Z. R. Xiang, Multi-objective collaborative path planning for multiple water-air unmanned vehicles in cramped environments, Expert Syst. Appl., 292 (2025), 128625. https://doi.org/10.1016/j.eswa.2025.128625 doi: 10.1016/j.eswa.2025.128625
    [18] L. Sheng, S. Wu, Z. Y. Lv, Modified grey wolf optimizer and application in parameter optimization of pi controller, Appl. Sci., 15 (2025), 4530. https://doi.org/10.3390/app15084530 doi: 10.3390/app15084530
    [19] G. Cheng, Y. D. Liu, Hybrid optimization algorithm for solving path planning problems based on grey wolf optimization algorithm, Sci. Rep., 16 (2026), 8479. https://doi.org/10.1038/s41598-026-35037-z doi: 10.1038/s41598-026-35037-z
    [20] Z. Zhang, H. Yang, X. Bai, S. Zhang, C. Xu, The path planning of mobile robots based on an improved genetic algorithm, Appl. Sci., 15 (2025), 3700. https://doi.org/10.3390/app15073700 doi: 10.3390/app15073700
    [21] Y. Teng, T. Feng, J. Li, S. Chen, X. Tang, A dual-layer symmetric multi-robot path planning system based on an improved neural network-DWA algorithm, Symmetry, 17 (2025), 85. https://doi.org/10.3390/sym17010085 doi: 10.3390/sym17010085
    [22] Q. Yuan, R. Sun, X. Du., Path planning of mobile robots based on an improved particle swarm optimization algorithm, Processes, 11 (2023), 26. https://doi.org/10.3390/pr11010026 doi: 10.3390/pr11010026
    [23] Y. Han, C. Li, Z. An, Based on the integration of the improved A* algorithm with the dynamic window approach for multi-robot path planning, Appl. Sci., 15 (2025), 406. https://doi.org/10.3390/app15010406 doi: 10.3390/app15010406
  • Reader Comments
  • © 2026 the Author(s), licensee AIMS Press. This is an open access article distributed under the terms of the Creative Commons Attribution License (http://creativecommons.org/licenses/by/4.0)
通讯作者: 陈斌, bchen63@163.com
  • 1. 

    沈阳化工大学材料科学与工程学院 沈阳 110142

  1. 本站搜索
  2. 百度学术搜索
  3. 万方数据库搜索
  4. CNKI搜索

Metrics

Article views(344) PDF downloads(20) Cited by(0)

Article outline

Figures and Tables

Figures(16)  /  Tables(26)

/

DownLoad:  Full-Size Img  PowerPoint
Return
Return

Catalog