Research article Special Issues

Robust average-weighted twin extreme learning machine for pattern classification

  • Published: 14 April 2026
  • MSC : 68T10, 91C20

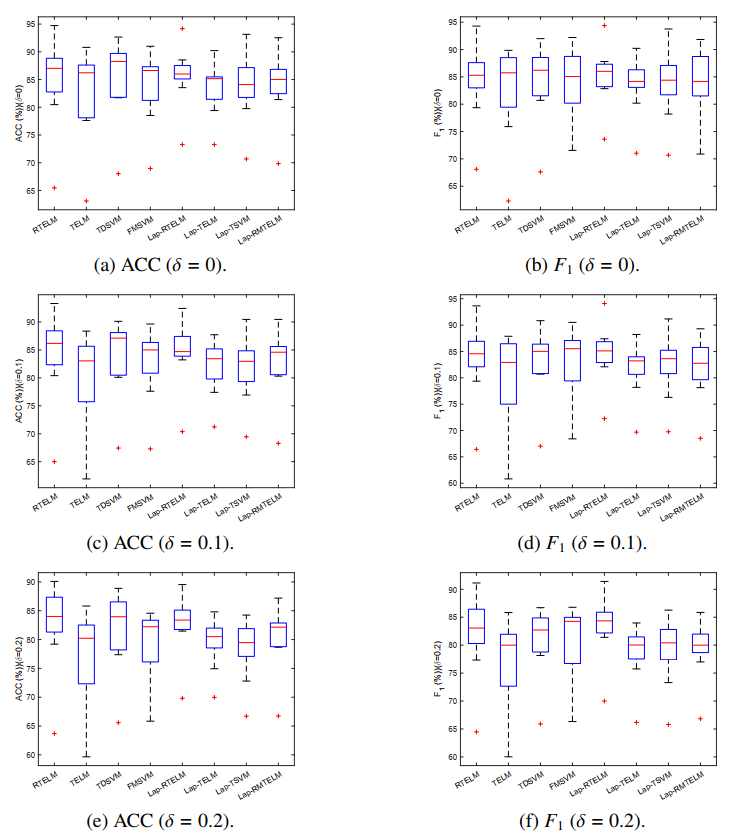
  • This paper proposes a novel robust twin extreme learning machine (RTELM) for binary classification. To enhance its performance and robustness, we introduce two key techniques: (1) An average weight technique that assigns larger weights to data points near the class center and smaller weights to those near the boundary, leveraging the intra-class distribution; and (2) an improved pre-selection point technique that selects only the top-$ u $ sorted data points to mitigate the impact of noise and outliers. Furthermore, we extend RTELM by incorporating a manifold regularization term, resulting in the Lap-RTELM framework, which enhances data discriminability. Extensive experiments validate that both RTELM and Lap-RTELM achieve superior classification performance, robustness, and stability compared to traditional methods.

    Citation: Yanrong Ma, Jun Ma, Bao Ma. Robust average-weighted twin extreme learning machine for pattern classification[J]. AIMS Mathematics, 2026, 11(4): 10100-10132. doi: 10.3934/math.2026417

    Related Papers:

  • This paper proposes a novel robust twin extreme learning machine (RTELM) for binary classification. To enhance its performance and robustness, we introduce two key techniques: (1) An average weight technique that assigns larger weights to data points near the class center and smaller weights to those near the boundary, leveraging the intra-class distribution; and (2) an improved pre-selection point technique that selects only the top-$ u $ sorted data points to mitigate the impact of noise and outliers. Furthermore, we extend RTELM by incorporating a manifold regularization term, resulting in the Lap-RTELM framework, which enhances data discriminability. Extensive experiments validate that both RTELM and Lap-RTELM achieve superior classification performance, robustness, and stability compared to traditional methods.



    加载中


    [1] J. Lou, Y. Jiang, Q. Shen, R. Wang, Z. Li, Probabilistic regularized extreme learning for robust modeling of traffic flow forecasting, IEEE Trans. Neural Netw. Learn. Syst., 34 (2020), 1732–1741. http://doi.org/10.1109/TNNLS.2020.3027822 doi: 10.1109/TNNLS.2020.3027822
    [2] V. V. V. Reddy, S. K. Tiwari, Precise medical diagnosis for brain tumor detection and data sample imbalance analysis using enhanced kernel extreme learning machine model with deep belief network compared to extreme machine learning, 2022 14th International Conference on Mathematics, Actuarial Science, Computer Science and Statistics (MACS), 2022. http://doi.org/10.1109/MACS56771.2022.10022465
    [3] M. Dogan, I. A. Ozkan, Determination of wheat types using optimized extreme learning machine with metaheuristic algorithms, Neural Comput. Appl., 35 (2023), 12565–12581. http://doi.org/10.1007/s00521-023-08518-9 doi: 10.1007/s00521-023-08518-9
    [4] G. B. Huang, Q. Y. Zhu, C. K. Siew, Extreme learning machine: Theory and applications, Neurocomputing, 70 (2006), 489–501. http://doi.org/10.1016/j.neucom.2005.12.126 doi: 10.1016/j.neucom.2005.12.126
    [5] G. B. Huang, H. Zhou, X. Ding, R. Zhang, Extreme learning machine for regression and multiclass classification, IEEE Trans. Syst., Man, Cybern. B, Cybern., 42 (2012), 513–529. http://doi.org/10.1109/TSMCB.2011.2168604 doi: 10.1109/TSMCB.2011.2168604
    [6] W. Zong, G. B. Huang, Y. Chen, Weighted extreme learning machine for imbalance learning, Neurocomputing, 101 (2013), 229–242. http://doi.org/10.1016/j.neucom.2012.08.010 doi: 10.1016/j.neucom.2012.08.010
    [7] R. Khemchandani, S. Chandra, Twin support vector machines for pattern classification, IEEE Trans. Pattern Anal. Mach. Intell., 29 (2007), 905–910. http://doi.org/10.1109/TPAMI.2007.1059 doi: 10.1109/TPAMI.2007.1059
    [8] Y. Wan, S. Song, G. Huang, S. Li, Twin extreme learning machines for pattern classification, Neurocomputing, 260 (2017), 235–244. http://doi.org/10.1016/j.neucom.2017.05.028 doi: 10.1016/j.neucom.2017.05.028
    [9] R. Rastogi, A. Bharti, Least squares twin extreme learning machine for pattern classification, IInnovations in Infrastructure: Proceedings of ICIIF 2018, 2019. https://doi.org/10.1007/978-981-13-1966-2_50
    [10] M. F. A. Hady, F. Schwenker, Semi-supervised learning, Handbook on Neural Information Processing, Berlin, Heidelberg: Springer, 2013,215–239. https://doi.org/10.1007/978-3-642-36657-4_7
    [11] B. Ma, J. Ma, G. Yu, A Novel Robust Metric Distance Optimization-Driven Manifold Learning Framework for Semi-Supervised Pattern Classification, Axioms, 12 (2023), 737. http://doi.org/10.3390/axioms12080737 doi: 10.3390/axioms12080737
    [12] M. Belkin, Problems of learning on manifolds, PhD thesis, University Chicago, 2004.
    [13] L. Rossi, A. Torsello, E. R. Hancock, Unfolding kernel embeddings of graphs: Enhancing class separation through manifold learning, Pattern Recognit., 48 (2015), 3357–3370. http://doi.org/10.1016/j.patcog.2015.04.026 doi: 10.1016/j.patcog.2015.04.026
    [14] Y. Wang, F. Cao, Y. Yuan, A study on effectiveness of extreme learning machine, Neurocomputing, 74 (2011), 2483–2490. http://doi.org/10.1016/j.neucom.2010.11.022 doi: 10.1016/j.neucom.2010.11.022
    [15] F. Cao, B. Liu, D. S. Park, Image classification based on effective extreme learning machine, Neurocomputing, 102 (2013), 90–97. http://doi.org/10.1016/j.neucom.2012.02.054 doi: 10.1016/j.neucom.2012.02.054
    [16] L. Li, D. Liu, J. Ouyang, A new regularization classification method based on extreme learning machine in network data, J. Inf. Comput. Sci., 9 (2012), 3351–3363.
    [17] J. Liu, Y. Chen, M. Liu, Z. Zhao, SELM: Semi-supervised ELM with application in sparse calibrated location estimation, Neurocomputing, 74 (2011), 2566–2572. http://doi.org/10.1016/j.neucom.2010.12.036 doi: 10.1016/j.neucom.2010.12.036
    [18] B. Liu, S. X. Xia, F. R. Meng, Y. Zhou, Manifold regularized extreme learning machine, Neural Comput. Appl., 27 (2016), 255–269. http://doi.org/10.1007/s00521-015-1857-9 doi: 10.1007/s00521-015-1857-9
    [19] S. Li, S. Song, Y. Wan, Laplacian twin extreme learning machine for semi-supervised classification, Neurocomputing, 321 (2018), 17–27. http://doi.org/10.1016/j.neucom.2018.02.016 doi: 10.1016/j.neucom.2018.02.016
    [20] J. Wang, S. Lu, S. H. Wang, Y. D. Zhang, A review on extreme learning machine, Multimedia Tools Appl., 81 (2022), 41611–41660. http://doi.org/10.1007/s11042-022-13166-7 doi: 10.1007/s11042-022-13166-7
    [21] G. B. Huang, L. Chen, C. K. Siew, Universal approximation using incremental constructive feedforward networks with random hidden nodes, IEEE Trans. Neural Netw., 17 (2006), 879–892. http://doi.org/10.1109/TNN.2006.875977 doi: 10.1109/TNN.2006.875977
    [22] G. B. Huang, L. Chen, Convex incremental extreme learning machine, Neurocomputing, 70 (2007), 3056–3062. http://doi.org/10.1016/j.neucom.2007.02.009 doi: 10.1016/j.neucom.2007.02.009
    [23] Z. Xu, M. Yao, Z. Wu, W. Dai, Incremental regularized extreme learning machine and it's enhancement, Neurocomputing, 174 (2016), 134–142. http://doi.org/10.1016/j.neucom.2015.03.112 doi: 10.1016/j.neucom.2015.03.112
    [24] C. N. Li, Y. H. Shao, N. Y. Deng, Robust $L_{1}$-norm non-parallel proximal support vector machine, Optimization, 65 (2016), 169–183. http://doi.org/10.1080/02331934.2014.994625 doi: 10.1080/02331934.2014.994625
    [25] N. Kwak, Principal component analysis based on $L_{1}$-norm maximization, IEEE Trans. Pattern Anal. Mach. Intell., 30 (2008), 1672–1680. http://doi.org/10.1109/TPAMI.2008.78 doi: 10.1109/TPAMI.2008.78
    [26] C. Yuan, L. Yang, P. Sun, Correntropy-based metric for robust twin support vector machine, Inf. Sci., 545 (2021), 82–101. http://doi.org/10.1016/j.ins.2020.10.029 doi: 10.1016/j.ins.2020.10.029
    [27] J. Shen, J. Ma, Sparse twin extreme learning machine with epsilon-insensitive zone pinball loss, IEEE Access, 7 (2019), 112067–112078. http://doi.org/10.1109/ACCESS.2019.2933581 doi: 10.1109/ACCESS.2019.2933581
    [28] Y. Yang, Z. Xue, J. Ma, X. Chang, Robust projection twin extreme learning machines with capped $L_{1}$-norm distance metric, Neurocomputing, 517 (2023), 229–242. http://doi.org/10.1016/j.neucom.2022.10.003 doi: 10.1016/j.neucom.2022.10.003
    [29] J. Ma, L. Yang, Robust supervised and semi-supervised twin extreme learning machines for pattern classification, Signal Proc, 180 (2021), 107861. http://doi.org/10.1016/j.sigpro.2020.107861 doi: 10.1016/j.sigpro.2020.107861
    [30] K. Zhang, M. Luo, Outlier-robust extreme learning machine for regression problems, Neurocomputing, 151 (2015), 1519–1527. http://doi.org/10.1016/j.neucom.2014.07.075 doi: 10.1016/j.neucom.2014.07.075
    [31] J. Ma, Capped $L_{1}$-norm distance metric-based fast robust twin extreme learning machine, Appl. Intell., 50 (2020), 3775–3787. http://doi.org/10.1007/s10489-020-01825-9 doi: 10.1007/s10489-020-01825-9
    [32] Y. Jiang, G. Yu, J. Ma, Distance Metric Optimization-Driven Neural Network Learning Framework for Pattern Classification, Axioms, 12 (2023), 765. http://doi.org/10.3390/axioms12080765 doi: 10.3390/axioms12080765
    [33] H. N. Sheng, Z. Y. Wang, H. C. So, Robust rank-one matrix completion via explicit regularizer, IEEE Trans. Neural Netw. Learn. Syst., 36 (2025), 19092–19105. http://doi.org/10.1109/TNNLS.2025.3571594 doi: 10.1109/TNNLS.2025.3571594
    [34] H. N. Sheng, Z. Y. Wang, Z. Liu, H. C. So, Hybrid ordinary-Welsch function-based robust matrix completion for MIMO radar, IEEE Trans. Aerosp. Electron. Syst., 61 (2025), 3950–3962. http://doi.org/10.1109/TAES.2024.3456789 doi: 10.1109/TAES.2024.3456789
    [35] Z. Wang, H. C. So, A. M. Zoubir, Robust Low-Rank Matrix recovery via hybrid Ordinary-Welsch function, IEEE Trans. Signal Proc., 71 (2023), 2548–2563. http://doi.org/10.1109/TSP.2023.3298765 doi: 10.1109/TSP.2023.3298765
    [36] Z. Wang, X. P. Li, H. C. So, Robust matrix completion based on factorization and Truncated-Quadratic Loss function, IEEE Trans. Circuits Syst. Video Technol., 33 (2023), 1521–1534. http://doi.org/10.1109/TCSVT.2022.3218765 doi: 10.1109/TCSVT.2022.3218765
    [37] J. Xu, H. Wang, L. Zhang, S. Wen, Robust twin depth support vector machine based on average depth, Knowl.-Based Syst., 274 (2023), 110627. http://doi.org/10.1016/j.knosys.2023.110627 doi: 10.1016/j.knosys.2023.110627
    [38] X. Yan, H. Zhu, A novel robust support vector machine classifier with feature mapping, Knowl.-Based Syst., 257 (2022), 109928. http://doi.org/10.1016/j.knosys.2022.109928 doi: 10.1016/j.knosys.2022.109928
    [39] Z. Qi, Y. Tian, Y. Shi, Laplacian twin support vector machine for semi-supervised classification, Neural Netw., 35 (2012), 46–53. http://doi.org/10.1016/j.neunet.2012.07.011 doi: 10.1016/j.neunet.2012.07.011
    [40] T. Fawcett, An introduction to ROC analysis, Pattern Recognit. Lett., 27(8) (2006), 861–874. http://doi.org/10.1016/j.patrec.2005.10.010 doi: 10.1016/j.patrec.2005.10.010
    [41] J. Demšar, Statistical comparisons of classifiers over multiple data sets, J. Mach. Learn. Res., 7 (2006), 1–30.
    [42] A. Benavoli, G. Corani, F. Mangili, Should we really use post-hoc tests based on mean-ranks? J. Mach. Learn. Res., 17 (2016), 152–161. http://doi.org/10.5555/2946645.2946647 doi: 10.5555/2946645.2946647
  • Reader Comments
  • © 2026 the Author(s), licensee AIMS Press. This is an open access article distributed under the terms of the Creative Commons Attribution License (http://creativecommons.org/licenses/by/4.0)
通讯作者: 陈斌, bchen63@163.com
  • 1. 

    沈阳化工大学材料科学与工程学院 沈阳 110142

  1. 本站搜索
  2. 百度学术搜索
  3. 万方数据库搜索
  4. CNKI搜索

Metrics

Article views(196) PDF downloads(28) Cited by(0)

Article outline

Figures and Tables

Figures(4)  /  Tables(15)

Other Articles By Authors

/

DownLoad:  Full-Size Img  PowerPoint
Return
Return

Catalog