Research article Special Issues

A new discrete Pham model for nonmonotone aging and overdispersion: theory, inference, optimization, and three scientific applications

  • Published: 13 April 2026
  • MSC : 60E05, 62E10, 62N01, 62N05, 62P10

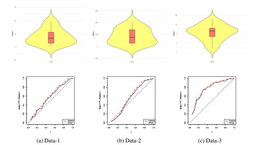
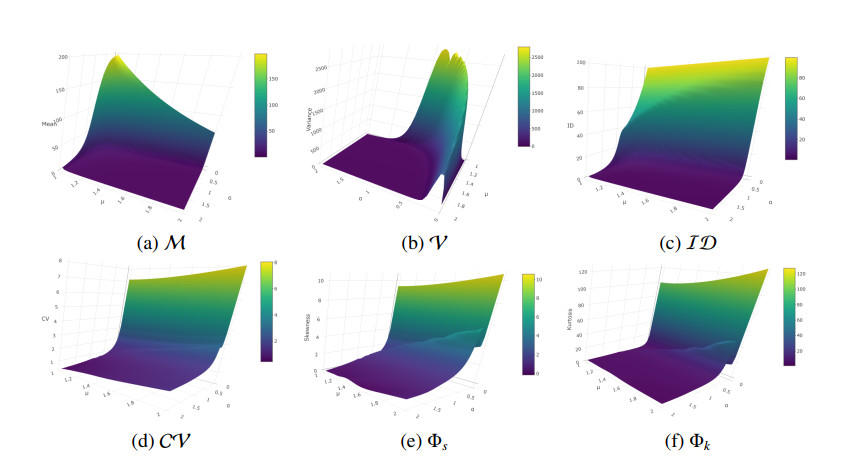
  • Discrete lifetime data arising in engineering reliability, biomedical studies, and risk-based applications often display nonmonotone aging behavior, heavy tails, and substantial overdispersion, which challenge the adequacy of classical discrete models. To overcome these limitations, the paper proposes a new discrete Pham (DPham) distribution obtained through survival-function discretization of the continuous Pham model. This construction yields a parsimonious yet highly flexible two-parameter discrete lifetime family that substantially extends the modeling capacity of existing discrete distributions. A central contribution of the DPham model is its ability to accommodate a wide range of hazard rate shapes, including decreasing, increasing, constant, and bathtub forms, within a single, unified framework. This flexibility allows the model to capture complex aging mechanisms such as early-failure dominance, intermediate-life stabilization, and long-tailed persistence while retaining analytical tractability. The probability mass function supports both monotone and unimodal configurations, enhancing its descriptive power in discrete settings. The paper develops comprehensive distributional properties of the DPham distribution, including quantile representation, dispersion characteristics, skewness, kurtosis, and order statistics, demonstrating a level of adaptability that exceeds that of commonly used discrete lifetime models. Inferential procedures are systematically explored under both likelihood-based and Bayesian frameworks, with explicit consideration of Type-Ⅱ censored data. Bayesian estimation, implemented using Markov iterative algorithms, is shown to provide improved estimation accuracy and more reliable interval estimates, particularly in small-sample and heavily censored scenarios. The practical utility of the DPham distribution is illustrated through applications to real datasets from clinical survival analysis, industrial reliability systems, and overdispersed risk data. Across all cases, the proposed model consistently outperforms nine established discrete competitors, including discrete Weibull-type and gamma-based models, in terms of goodness of fit, inferential stability, and robustness to extreme observations. Supported by extensive simulation evidence, these results establish the DPham distribution as a versatile and domain-agnostic tool for discrete lifetime modeling, offering a compelling alternative for reliability theory, biostatistics, and applied risk analysis.

    Citation: Ahmed Elshahhat, Osama E. Abo-Kasem, Heba S. Mohammed. A new discrete Pham model for nonmonotone aging and overdispersion: theory, inference, optimization, and three scientific applications[J]. AIMS Mathematics, 2026, 11(4): 9942-9988. doi: 10.3934/math.2026411

    Related Papers:

  • Discrete lifetime data arising in engineering reliability, biomedical studies, and risk-based applications often display nonmonotone aging behavior, heavy tails, and substantial overdispersion, which challenge the adequacy of classical discrete models. To overcome these limitations, the paper proposes a new discrete Pham (DPham) distribution obtained through survival-function discretization of the continuous Pham model. This construction yields a parsimonious yet highly flexible two-parameter discrete lifetime family that substantially extends the modeling capacity of existing discrete distributions. A central contribution of the DPham model is its ability to accommodate a wide range of hazard rate shapes, including decreasing, increasing, constant, and bathtub forms, within a single, unified framework. This flexibility allows the model to capture complex aging mechanisms such as early-failure dominance, intermediate-life stabilization, and long-tailed persistence while retaining analytical tractability. The probability mass function supports both monotone and unimodal configurations, enhancing its descriptive power in discrete settings. The paper develops comprehensive distributional properties of the DPham distribution, including quantile representation, dispersion characteristics, skewness, kurtosis, and order statistics, demonstrating a level of adaptability that exceeds that of commonly used discrete lifetime models. Inferential procedures are systematically explored under both likelihood-based and Bayesian frameworks, with explicit consideration of Type-Ⅱ censored data. Bayesian estimation, implemented using Markov iterative algorithms, is shown to provide improved estimation accuracy and more reliable interval estimates, particularly in small-sample and heavily censored scenarios. The practical utility of the DPham distribution is illustrated through applications to real datasets from clinical survival analysis, industrial reliability systems, and overdispersed risk data. Across all cases, the proposed model consistently outperforms nine established discrete competitors, including discrete Weibull-type and gamma-based models, in terms of goodness of fit, inferential stability, and robustness to extreme observations. Supported by extensive simulation evidence, these results establish the DPham distribution as a versatile and domain-agnostic tool for discrete lifetime modeling, offering a compelling alternative for reliability theory, biostatistics, and applied risk analysis.



    加载中


    [1] H. Pham, A vtub-shaped hazard rate function with applications to system safety, Int. J. Reliab. Appl., 3 (2002), 1–16.
    [2] A. Srivastava, V. Kumar, Analysis of Pham (loglog) reliability model using Bayesian approach, Computer Science Journal, 1 (2011), 79–100.
    [3] S. Yang, D. Meng, H. Wang, C. Yang, A novel learning function for adaptive surrogate-model-based reliability evaluation, Philos. Trans. A Math. Phys. Eng. Sci., 382 (2024), 20220395. https://doi.org/10.1098/rsta.2022.0395 doi: 10.1098/rsta.2022.0395
    [4] M. La Rocca, M. Menzietti, C. Perna, M. Sibillo, New perspectives in mathematical and statistical methods for actuarial sciences and finance, Cham: Springer, 2026. ‏ https://doi.org/10.1007/978-3-032-05551-4
    [5] S. Singh, T. Madke, P. Chand, Global epidemiology of hepatocellular carcinoma, J. Clin. Exp. Hepatol., 15 (2025), 102446. https://doi.org/10.1016/j.jceh.2024.102446‏ doi: 10.1016/j.jceh.2024.102446
    [6] S. Yang, D. Meng, H. Yang, C. Luo, X. Su, Enhanced soft Monte Carlo simulation coupled with support vector regression for structural reliability analysis, Proc. Ins. Civil Eng.-Transp., 178 (2025), 459–474. https://doi.org/10.1680/jtran.24.00128 doi: 10.1680/jtran.24.00128
    [7] D. Keefer, S. Bodily, Three-point approximations for continuous random variables, Manage. Sci., 29 (1983), 595–609. https://doi.org/10.1287/mnsc.29.5.595 doi: 10.1287/mnsc.29.5.595
    [8] C. Lai, Issues concerning constructions of discrete lifetime models, Qual. Technol. Quant. M., 10 (2013), 251–262. https://doi.org/10.1080/16843703.2013.11673320‏ doi: 10.1080/16843703.2013.11673320
    [9] K. Jayakumar, K. Sankaran, A generalization of discrete Weibull distribution, Commun. Stat.-Theor. M., 47 (2018), 6064–6078. https://doi.org/10.1080/03610926.2017.1406115 doi: 10.1080/03610926.2017.1406115
    [10] A. Afify, M. Ahsan-ul-Haq, H. Aljohani, A. Alghamdi, A. Babar, H. Gómez, A new one-parameter discrete exponential distribution: properties, inference, and applications to COVID-19 data, J. King Saud Univ. Sci., 34 (2022), 102199. https://doi.org/10.1016/j.jksus.2022.102199‏ doi: 10.1016/j.jksus.2022.102199
    [11] C. Augusto Taconeli, I. Rodrigues de Lara, Discrete Weibull distribution: different estimation methods under ranked set sampling and simple random sampling, J. Stat. Comput. Sim., 92 (2022), 1740–1762. https://doi.org/10.1080/00949655.2021.2005597 doi: 10.1080/00949655.2021.2005597
    [12] D. Roy, R. Gupta, Characterizations and model selections through reliability measures in the discrete case, Stat. Probabil. Lett., 43 (1999), 197–206. https://doi.org/10.1016/S0167-7152(98)00260-0‏ doi: 10.1016/S0167-7152(98)00260-0
    [13] D. Roy, T. Ghosh, A new discretization approach with application in reliability estimation, IEEE Trans. Reliab., 58 (2009), 456–461. https://doi.org/10.1109/TR.2009.2028093‏ doi: 10.1109/TR.2009.2028093
    [14] M. Bebbington, C. Lai, M. Wellington, R. Zitikis, The discrete additive Weibull distribution: a bathtub-shaped hazard for discontinuous failure data, Reliab. Eng. Syst. Safe., 106 (2012), 37–44. https://doi.org/10.1016/j.ress.2012.06.009 doi: 10.1016/j.ress.2012.06.009
    [15] ‏H. Haj Ahmad, A. Elshahhat, A new hjorth distribution in its discrete version, Mathematics, 13 (2025), 875. https://doi.org/10.3390/math13050875 ‏ doi: 10.3390/math13050875
    [16] A. Eldeeb, M. Ahsan-ul-Haq, A. Babar, A new discrete XLindley distribution: theory, actuarial measures, inference, and applications, Int. J. Data Sci. Anal., 17 (2024), 323–333. https://doi.org/10.1007/s41060-023-00395-8 doi: 10.1007/s41060-023-00395-8
    [17] A. Elshahhat, H. Rezk, R. Alotaibi, The discrete Gompertz-Makeham distribution for multidisciplinary data analysis, AIMS Mathematics, 10 (2025), 17117–17178. https://doi.org/10.3934/math.2025768 doi: 10.3934/math.2025768
    [18] A. Elshahhat, H. Rezk, R. Alotaibi, A new one-parameter model by extending Maxwell-Boltzmann theory to discrete lifetime modeling, Mathematics, 13 (2025), 2803. https://doi.org/10.3390/math13172803 doi: 10.3390/math13172803
    [19] A. Fayomi, A. Ahmed, N. AL-Sayed, S. Behairy, A. Abd AL-Fattah, G. AL-Dayian, et al., Constant stress-partially accelerated life tests of Ⅴ-tub shaped lifetime distribution under progressive type Ⅱ censoring, Symmetry, 16 (2024), 1251. https://doi.org/10.3390/sym16091251‏ doi: 10.3390/sym16091251
    [20] O. Alqasem, M. Nassar, M. Elmahi Abd Elwahab, A. Elshahhat, A new inverted Pham distribution for data modeling of mechanical components and diamond in South-West Africa, Phys. Scr., 99 (2024), 115268. https://doi.org/10.1088/1402-4896/ad8706 doi: 10.1088/1402-4896/ad8706
    [21] L. Djeumeni, S. Nadarajah, B. Engoulou, L. Fono, E. Wansouwe, On the (Hoang) Pham distribution, Int. J. Reliab. Qual. Sa., 33 (2026), 2550048. https://doi.org/10.1142/S0218539325500482 doi: 10.1142/S0218539325500482
    [22] A. Henningsen, O. Toomet, $ maxLik $: a package for maximum likelihood estimation in R, Comput. Stat., 26 (2011), 443–458. https://doi.org/10.1007/s00180-010-0217-1 doi: 10.1007/s00180-010-0217-1
    [23] M. Plummer, N. Best, K. Cowles, K. Vines, CODA: convergence diagnosis and output analysis for MCMC, R News, 6 (2006), 7–11.
    [24] J. Lawless, Statistical models and methods for lifetime data, Hoboken: John Wiley and Sons, 2003. https://doi.org/10.1002/9781118033005
    [25] W. Meeker, L. Escobar, F. Pascual, Statistical methods for reliability data, New York: John Wiley and Sons, 2014.
    [26] D. Kundu, Bayesian inference and life testing plan for the Weibull distribution in presence of progressive censoring, Technometrics, 50 (2008), 144–154. https://doi.org/10.1198/004017008000000217 doi: 10.1198/004017008000000217
    [27] H. Bakouch, M. Jazi, S. Nadarajah, A new discrete distribution, Statistics, 48 (2014), 200–240. https://doi.org/10.1080/02331888.2012.716677 doi: 10.1080/02331888.2012.716677
    [28] M. Eliwa, M. El-Morshedy, A one-parameter discrete distribution for over-dispersed data: Statistical and reliability properties with applications, J. Appl. Stat., 49 (2022), 2467–2487. https://doi.org/10.1080/02664763.2021.1905787 doi: 10.1080/02664763.2021.1905787
    [29] F. Wang, A new model with bathtub-shaped failure rate using an additive Burr Ⅻ distribution, Reliab. Eng. Syst. Safe., 70 (2000), 305–312. https://doi.org/10.1016/S0951-8320(00)00066-1 doi: 10.1016/S0951-8320(00)00066-1
    [30] A. Elshahhat, W. Abu El Azm, Statistical reliability analysis of electronic devices using generalized progressively hybrid censoring plan, Qual. Reliab. Eng. Int., 38 (2022), 1112–1130. https://doi.org/10.1002/qre.3058 doi: 10.1002/qre.3058
    [31] D. Murthy, M. Xie, R. Jiang, Weibull models, Hoboken: John Wiley, 2004. https://doi.org/10.1002/047147326X
    [32] G. Cordeiro, M. Lima, A. Cysneiros, M. Pascoa, R. Pescim, E. Ortega, An extended Birnbaum-Saunders distribution: theory, estimation, and applications, Commun. Stat.-Theor. M., 45 (2016), 2268–2297. https://doi.org/10.1080/03610926.2013.879182 doi: 10.1080/03610926.2013.879182
    [33] N. Johnson, A. Kemp, S. Kotz, Univariate discrete distributions, New York: John Wiley and Sons, 2005. https://doi.org/10.1002/0471715816
    [34] M. Shafqat, S. Ali, I. Shah, S. Dey, Univariate discrete Nadarajah and Haghighi distribution: properties and different methods of estimation, Statistica, 80 (2020), 301–330. https://doi.org/10.6092/issn.1973-2201/9532 doi: 10.6092/issn.1973-2201/9532
    [35] A. Tyagi, N. Choudhary, B. Singh, A new discrete distribution: theory and applications to discrete failure lifetime and count data, J. Appl. Probab. Stat., 15 (2020), 117–143.
    [36] T. Nakagawa, S. Osaki, The discrete Weibull distribution, IEEE Trans. Reliab., R-24 (1975), 300–301. https://doi.org/10.1109/TR.1975.5214915 doi: 10.1109/TR.1975.5214915
    [37] S. Chakraborty, D. Chakravarty, Discrete gamma distributions: properties and parameter estimations, Commun. Stat.-Theor. M., 41 (2012), 3301–3324. https://doi.org/10.1080/03610926.2011.563014 doi: 10.1080/03610926.2011.563014
    [38] R. Alotaibi, H. Rezk, C. Park, A. Elshahhat, The discrete exponentiated-Chen model and its applications, Symmetry, 15 (2023), 1278. https://doi.org/10.3390/sym15061278 doi: 10.3390/sym15061278
    [39] V. Nekoukhou, H. Bidram, The exponentiated discrete Weibull distribution, Sort-Stat. Oper. Res. Trans., 39 (2015), 127–146.
    [40] S. Almalki, S. Nadarajah, A new discrete modified Weibull distribution, IEEE Trans. Reliab., 63 (2014), 68–80. https://doi.org/10.1109/TR.2014.2299691 doi: 10.1109/TR.2014.2299691
  • Reader Comments
  • © 2026 the Author(s), licensee AIMS Press. This is an open access article distributed under the terms of the Creative Commons Attribution License (http://creativecommons.org/licenses/by/4.0)
通讯作者: 陈斌, bchen63@163.com
  • 1. 

    沈阳化工大学材料科学与工程学院 沈阳 110142

  1. 本站搜索
  2. 百度学术搜索
  3. 万方数据库搜索
  4. CNKI搜索

Metrics

Article views(347) PDF downloads(31) Cited by(0)

Article outline

Figures and Tables

Figures(13)  /  Tables(11)

/

DownLoad:  Full-Size Img  PowerPoint
Return
Return

Catalog