Research article

Modeling and simulation of tax evasion dynamics: Optimal control and its cost-effectivenesss

  • Published: 08 April 2026
  • MSC : 34A08, 49J15, 65L05

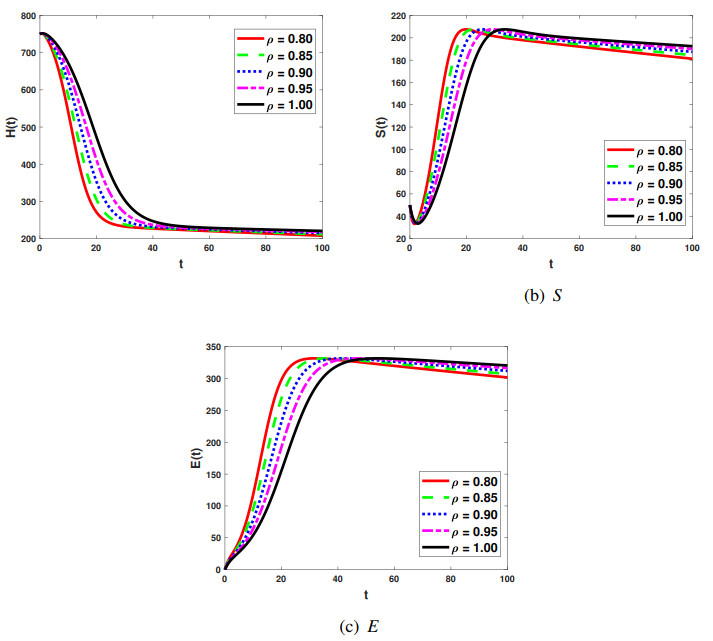
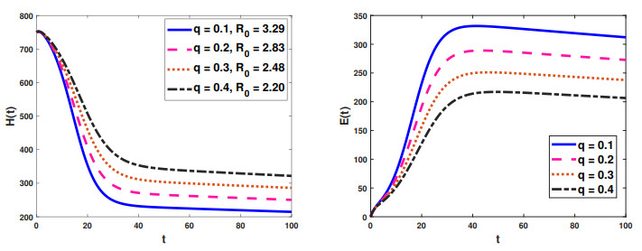
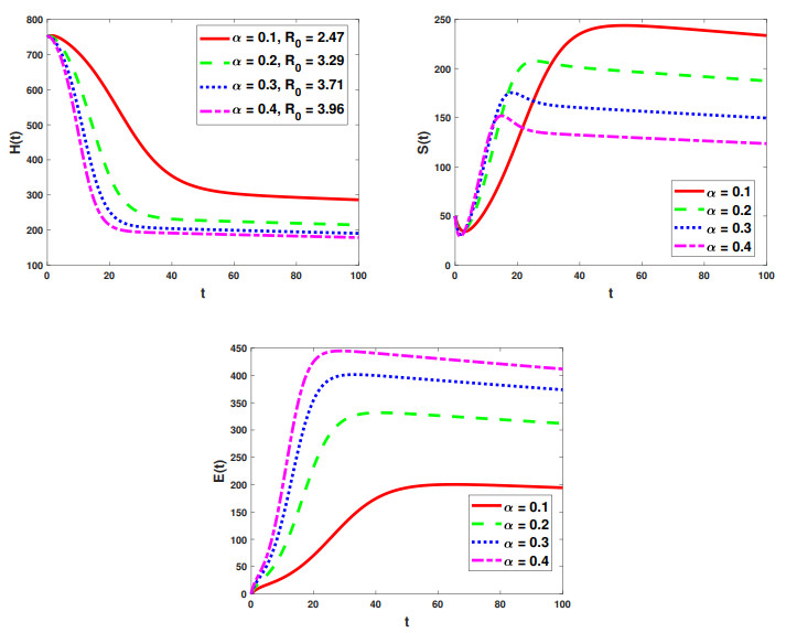
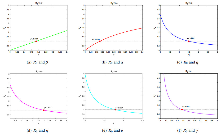
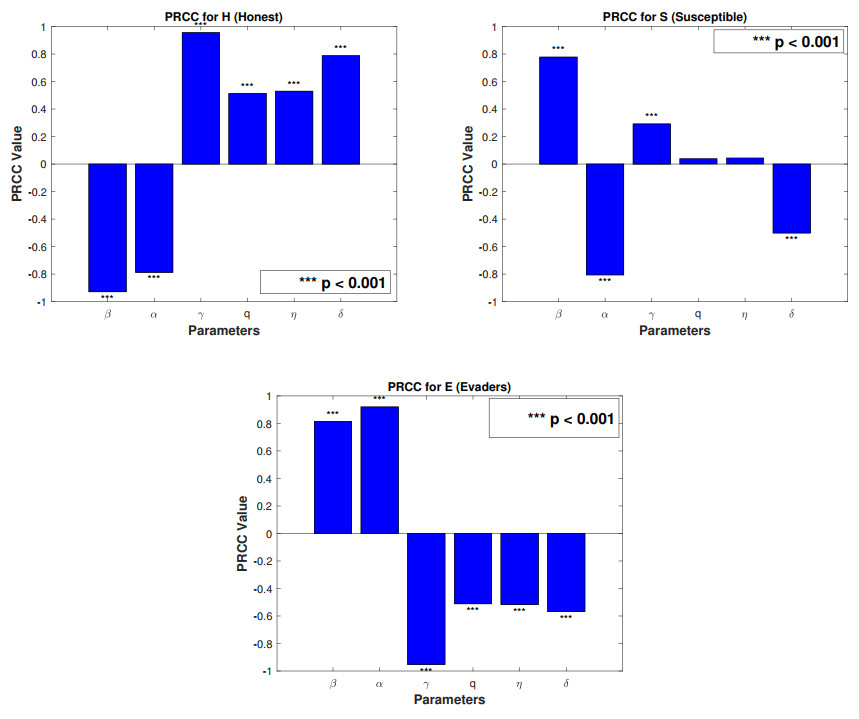
  • Tax evasion remains a significant challenge that undermines government revenue and economic stability. In this paper, we propose proposes a new fractional-order three compartment tax evasion model that highlights the transition from susceptible individuals to honest taxpayers, capturing voluntary compliance driven by awareness and behavioral reinforcement mechanisms. The fundamental properties such as positivity, boundedness, and the existence and uniqueness of solutions, were established for the model. In this study, basic reproduction number $ (R_0) $ was derived to characterize the persistence of tax evasion. Stability analysis showed that the evader-free equilibrium was locally and globally asymptotically stable when the threshold parameter was less than one, and forward bifurcation occurred when the threshold parameter exceeded one, indicating the persistence of tax evasion. Sensitivity analysis using the Partial Rank Correlation Coefficient (PRCC) method identified that the influence rate $ (\beta) $ and the transition rate $ (\alpha) $ are the dominant factors driving tax evasion, whereas audit effectiveness and reformation rate significantly reduce evasion. The model was numerically investigated using the Modified Fractional Euler Method (MFEM) for various combinations of parameters. Two control measures, namely media awareness campaigns ($ u_1 $) and penalties ($ u_2 $), are incorporated to mitigate tax evasion. Pareto and efficiency analyses revealed that penalties are effective when implemented individually, whereas the combined intervention strategy is the most cost-effective and economically viable approach for enhancing tax compliance. The results are presented in the form of figures and tables.

    Citation: Bharathi G S, Sagithya Thirumalai, Sekar Elango, Bundit Unyong. Modeling and simulation of tax evasion dynamics: Optimal control and its cost-effectivenesss[J]. AIMS Mathematics, 2026, 11(4): 9398-9438. doi: 10.3934/math.2026390

    Related Papers:

  • Tax evasion remains a significant challenge that undermines government revenue and economic stability. In this paper, we propose proposes a new fractional-order three compartment tax evasion model that highlights the transition from susceptible individuals to honest taxpayers, capturing voluntary compliance driven by awareness and behavioral reinforcement mechanisms. The fundamental properties such as positivity, boundedness, and the existence and uniqueness of solutions, were established for the model. In this study, basic reproduction number $ (R_0) $ was derived to characterize the persistence of tax evasion. Stability analysis showed that the evader-free equilibrium was locally and globally asymptotically stable when the threshold parameter was less than one, and forward bifurcation occurred when the threshold parameter exceeded one, indicating the persistence of tax evasion. Sensitivity analysis using the Partial Rank Correlation Coefficient (PRCC) method identified that the influence rate $ (\beta) $ and the transition rate $ (\alpha) $ are the dominant factors driving tax evasion, whereas audit effectiveness and reformation rate significantly reduce evasion. The model was numerically investigated using the Modified Fractional Euler Method (MFEM) for various combinations of parameters. Two control measures, namely media awareness campaigns ($ u_1 $) and penalties ($ u_2 $), are incorporated to mitigate tax evasion. Pareto and efficiency analyses revealed that penalties are effective when implemented individually, whereas the combined intervention strategy is the most cost-effective and economically viable approach for enhancing tax compliance. The results are presented in the form of figures and tables.



    加载中


    [1] P. T. India, Only 6.68% of population filed income tax return in 2023–24 fiscal, Econ. Times, December 17, 2024.
    [2] Taxis, Direct tax collections for F.Y. 2025–26 as on 11.08.2025, Government of India, August 11, 2025.
    [3] A. Alstadsæter, N. Johannesen, S. L. Herry, G. Zucman, Tax evasion and tax avoidance, J. Public Econ., 206 (2022), 104587. https://doi.org/10.1016/j.jpubeco.2021.104587 doi: 10.1016/j.jpubeco.2021.104587
    [4] N. Johannesen, P. Langetieg, D. Reck, M. Risch, J. Slemrod, Taxing hidden wealth: The consequences of US enforcement initiatives on evasive foreign accounts, Am. Econ. J. Econ. Polic., 12 (2020), 312–346.
    [5] A. E. Biondo, G. Burgio, A. Pluchino, D. Puglisi, Taxation and evasion: A dynamic model, J. Evol. Econ., 32 (2022), 797–826. https://doi.org/10.1007/s00191-022-00776-5 doi: 10.1007/s00191-022-00776-5
    [6] F. Menoncin, A. Modena, Dynamic tax evasion and growth with heterogeneous agents, J. Econ. Interact. Coord., 20 (2025), 643–658. https://doi.org/10.1007/s11403-024-00434-y doi: 10.1007/s11403-024-00434-y
    [7] F. D. Costa, A. L. Martinez, R. C. Klann, Temporal dynamics of tax avoidance: Impacts of tax audits in Brazil, J. Int. Account. Audit. Tax., 2026, 100760.
    [8] Q. Zheng, Y. Xu, H. Liu, B. Shi, J. Wang, B. Dong, A survey of tax risk detection using data mining techniques, Engineering, 34 (2024), 43–59. https://doi.org/10.1016/j.eng.2023.07.014 doi: 10.1016/j.eng.2023.07.014
    [9] M. Gombár, N. Svetozarovová, Š. Tóth, The predator-prey model of tax evasion: Foundations of a dynamic fiscal ecology, Mathematics, 14 (2026), 337.
    [10] M. Qasim, H. Ali, A. Farooq, M. Kamran, H. Ahmad, F. A. Awwad, et al., Intelligent neural framework for modeling the lifestyle-induced remission in type 2 diabetes, Chaos Soliton. Fract., 205 (2026), 117841. https://doi.org/10.1016/j.chaos.2025.117841 doi: 10.1016/j.chaos.2025.117841
    [11] J. Zhang, B. Zhou, H. Zhang, D. Yang, Fully distributed event-triggered secondary control for islanded microgrid restoration with communication link faults, IEEE T. Autom. Sci. Eng., 2026.
    [12] R. M. Brum, N. Crokidakis, Dynamics of tax evasion through an epidemic-like model, Int. J. Mod. Phys. C, 28 (2017), 1750023. https://doi.org/10.1142/S0129183117500231 doi: 10.1142/S0129183117500231
    [13] A. A. Kilbas, H. M. Srivastava, J. J. Trujillo, Theory and applications of fractional differential equations, Elsevier, Amsterdam, 2006.
    [14] I. Podlubny, Fractional differential equations, Academic Press, San Diego, 1999.
    [15] A. A. Kilbas, J. J. Trujillo, Differential equations of fractional order: Methods, results and problems—Part Ⅰ, Appl. Anal., 78 (2001), 153–192. https://doi.org/10.1080/00036810108840931 doi: 10.1080/00036810108840931
    [16] Z. Lin, H. Wang, Modeling and application of fractional-order economic growth model with time delay, Fractal Fract., 5 (2021), 74. https://doi.org/10.3390/fractalfract5030074 doi: 10.3390/fractalfract5030074
    [17] M. D. Johansyah, A. K. Supriatna, E. Rusyaman, J. Saputra, Application of fractional differential equation in economic growth model: A systematic review approach, AIMS Math., 6 (2021), 10266–10280. https://doi.org/10.3934/math.2021594 doi: 10.3934/math.2021594
    [18] J. Sylvia, S. Ghosh, Analysis of tax evasion dynamics using the Genocchi wavelet method, Comput. Econ., 2025, 1–39. https://doi.org/10.1007/s10614-025-11034-8
    [19] D. Matignon, Stability results for fractional differential equations with applications to control processing, Comput. Eng. Syst. Appl., 1996,963–968.
    [20] I. M. Batiha, A. Bataihah, A. A. Al-Nana, S. Alshorm, I. H. Jebril, A. Zraiqat, A numerical scheme for dealing with fractional initial value problem, Int. J. Innov. Comput. Inf. Control, 19 (2023), 763–774.
    [21] M. Khader, Using modified fractional Euler formula for solving the fractional smoking model, Eur. J. Pure Appl. Math., 17 (2024), 2676–2691. https://doi.org/10.29020/nybg.ejpam.v17i4.5366 doi: 10.29020/nybg.ejpam.v17i4.5366
    [22] Z. M. Odibat, N. T. Shawagfeh, Generalized Taylor's formula, Appl. Math. Comput., 186 (2007), 286–293. https://doi.org/10.1016/j.amc.2006.07.102 doi: 10.1016/j.amc.2006.07.102
    [23] L. S. Pontryagin, Mathematical theory of optimal processes, Routledge, London, 2018.
    [24] H. Qi, M. Li, The impact of media attention on corporate tax avoidance: A study based on Chinese A-share listed companies, Financ. Res. Lett., 58 (2023), 104594. https://doi.org/10.1016/j.frl.2023.104594 doi: 10.1016/j.frl.2023.104594
    [25] J. Wang, L. Li, Z. Yang, W. Liu, Tax administrative penalties and corporate tax compliance: Evidence from China, Asian-Pac. Econ. Lit., 2025. https://doi.org/10.1111/apel.70023
    [26] F. F. Herdicho, F. Fatmawati, C. Alfiniyah, M. A. Rois, S. Martini, D. Aldila, et al., Optimal control of dengue hemorrhagic fever model by classifying sex in West Java Province, Indonesia, Sci. Rep., 15 (2025), 17127.
  • Reader Comments
  • © 2026 the Author(s), licensee AIMS Press. This is an open access article distributed under the terms of the Creative Commons Attribution License (http://creativecommons.org/licenses/by/4.0)
通讯作者: 陈斌, bchen63@163.com
  • 1. 

    沈阳化工大学材料科学与工程学院 沈阳 110142

  1. 本站搜索
  2. 百度学术搜索
  3. 万方数据库搜索
  4. CNKI搜索

Metrics

Article views(563) PDF downloads(47) Cited by(0)

Article outline

Figures and Tables

Figures(21)  /  Tables(10)

/

DownLoad:  Full-Size Img  PowerPoint
Return
Return

Catalog