Research article Special Issues

Magnetohydrodynamic flow and heat transfer of a ternary hybrid nanofluid over an expanding porous sheet: Numerical, entropy, and ANN analysis

  • Published: 02 April 2026
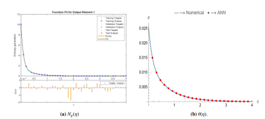
  • This study investigates magnetohydrodynamic (MHD) boundary-layer flow, heat transfer, and entropy generation in a ternary hybrid nanofluid composed of $ Cu–MoS_2-GO $ nanoparticles dispersed in an ethylene glycol-water mixture flowing over an expanding porous sheet. Using similarity transformations, the governing partial differential equations are reduced to a coupled system of nonlinear ordinary differential equations and solved numerically. The effects of key physical parameters-including magnetic field strength, nanoparticle volume fraction, particle shape, porous expansion rate, and unsteadiness-on velocity, temperature, skin friction, Nusselt number, and entropy generation are examined in detail. In addition, an artificial neural network (ANN) model is developed to accurately predict the flow and thermal characteristics, demonstrating excellent agreement with numerical results. The findings reveal that nanoparticle shape and concentration significantly influence heat transfer and entropy production, while magnetic and slip effects suppress momentum transport. The combined numerical and ANN-based framework provides an efficient and reliable tool for analyzing complex MHD nanofluid systems.

    Citation: Abdulaziz H Alharbi. Magnetohydrodynamic flow and heat transfer of a ternary hybrid nanofluid over an expanding porous sheet: Numerical, entropy, and ANN analysis[J]. AIMS Mathematics, 2026, 11(4): 9041-9065. doi: 10.3934/math.2026373

    Related Papers:

  • This study investigates magnetohydrodynamic (MHD) boundary-layer flow, heat transfer, and entropy generation in a ternary hybrid nanofluid composed of $ Cu–MoS_2-GO $ nanoparticles dispersed in an ethylene glycol-water mixture flowing over an expanding porous sheet. Using similarity transformations, the governing partial differential equations are reduced to a coupled system of nonlinear ordinary differential equations and solved numerically. The effects of key physical parameters-including magnetic field strength, nanoparticle volume fraction, particle shape, porous expansion rate, and unsteadiness-on velocity, temperature, skin friction, Nusselt number, and entropy generation are examined in detail. In addition, an artificial neural network (ANN) model is developed to accurately predict the flow and thermal characteristics, demonstrating excellent agreement with numerical results. The findings reveal that nanoparticle shape and concentration significantly influence heat transfer and entropy production, while magnetic and slip effects suppress momentum transport. The combined numerical and ANN-based framework provides an efficient and reliable tool for analyzing complex MHD nanofluid systems.



    加载中


    [1] S. U. S. Choi, Enhancing thermal conductivity of fluids with nanoparticles, ASME international mechanical engineering congress and exposition, 17421 (1995), 99–105. https://doi.org/10.1115/IMECE1995-0926 doi: 10.1115/IMECE1995-0926
    [2] J. Buongiorno, Convective transport in nanofluids, J. Heat Transfer., 128 (2006), 240–250. https://doi.org/10.1115/1.2150834 doi: 10.1115/1.2150834
    [3] M. A. Sheremet, T. Groşan, I. Pop, Free convection in a square cavity filled with a porous medium saturated by nanofluid using Tiwari and Das' nanofluid model, Transp. Porous. Med., 106 (2015), 595–610. https://doi.org/10.1007/s11242-014-0415-3 doi: 10.1007/s11242-014-0415-3
    [4] W. A. Khan, Z. H. Khan, M. Rahi, Fluid flow and heat transfer of carbon nanotubes along a flat plate with Navier slip boundary, Appl. Nanosci., 4 (2014), 633–641. https://doi.org/10.1007/s13204-013-0242-9 doi: 10.1007/s13204-013-0242-9
    [5] T. Hayat, T. Muhammad, A. Alsaedi, M. S. Alhuthali, Magnetohydrodynamic three-dimensional flow of viscoelastic nanofluid in the presence of nonlinear thermal radiation, J. Magn. Magn. Mater., 385 (2015), 222–229. https://doi.org/10.1016/j.jmmm.2015.02.046 doi: 10.1016/j.jmmm.2015.02.046
    [6] M. M. Bhatti, A. Zeeshan, R. Ellahi, Entropy generation on MHD Eyring–Powell nanofluid through a permeable stretching surface, Entropy, 18 (2016), 224. https://doi.org/10.3390/e18060224 doi: 10.3390/e18060224
    [7] M. Ramzan, M. Bilal, J. D. Chung, Influence of homogeneous–heterogeneous reactions on MHD 3D Maxwell fluid flow with Cattaneo–Christov heat flux and convective boundary condition, J. Mol. Liq., 230 (2017), 415–422. https://doi.org/10.1016/j.molliq.2017.01.061 doi: 10.1016/j.molliq.2017.01.061
    [8] M. Ghalambaz, E. Jamesahar, M. A. Ismael, A. J. Chamkha, Fluid-structure interaction study of natural convection heat transfer over a flexible oscillating fin in a square cavity, Int. J. Therm. Sci., 111 (2017), 256–273. https://10.1016/j.ijthermalsci.2016.09.001 doi: 10.1016/j.ijthermalsci.2016.09.001
    [9] I. Tlili, N. N. Hamadneh, W. A. Khan, S. Atawneh, Thermodynamic analysis of MHD Couette–Poiseuille flow of water-based nanofluids in a rotating channel with radiation and Hall effects, J. Therm. Anal. Calorim., 132 (2018), 1899–1912. https://doi.org/10.1007/S10973-018-7066-5 doi: 10.1007/S10973-018-7066-5
    [10] I. L. Animasaun, S. J. Yook, T. Muhammad, A. Mathew, Dynamics of ternary-hybrid nanofluid subject to magnetic flux density and heat source or sink on a convectively heated surface, Surf. Interfaces, 28 (2022), 101654. https://doi.org/10.1016/j.surfin.2021.101654 doi: 10.1016/j.surfin.2021.101654
    [11] Z. Xuan, Y. Zhai, M. Ma, Y. Li, H. Wang, Thermo-economic performance and sensitivity analysis of ternary hybrid nanofluids, J. Mol. Liq., 323 (2021), 114889. https://doi.org/10.1016/j.molliq.2020.114889 doi: 10.1016/j.molliq.2020.114889
    [12] X. Yang, A. Boroomandpour, S. Wen, D. Toghraie, F. Soltani, Applying artificial neural networks (ANNs) for prediction of the thermal characteristics of water/ethylene glycol-based mono, binary and ternary nanofluids containing MWCNTs, titania, and zinc oxide, Powder Technol., 388 (2021), 418–424. https://10.1016/j.csite.2021.101122 doi: 10.1016/j.csite.2021.101122
    [13] F. A. Shah, N. S. Akbar, T. Zamir, M. Abd El-Rahman, W. A. Khan, Thermal energy analysis using artificial neural network and particle swarm optimization approach in partially ionized hyperbolic tangent material with ternary hybrid nanomaterials, Swarm Evol. Comput., 91 (2024), 101775. https://doi.org/10.1016/j.swevo.2024.101775 doi: 10.1016/j.swevo.2024.101775
    [14] L. J. Crane, Flow past a stretching plate, J. Appl. Math. Phys., 21 (1970), 645–647. https://doi.org/10.1007/BF01587695 doi: 10.1007/BF01587695
    [15] H. Waqas, M. Fida, D. Liu, U. Manzoor, T. Muhammad, Numerical simulation of entropy generation for nanofluid with the consequences of thermal radiation and Cattaneo-Christov heat flux model, Int. Commun. Heat Mass Transfer, 137 (2022), 106293. https://doi.org/10.1016/j.icheatmasstransfer.2022.106293 doi: 10.1016/j.icheatmasstransfer.2022.106293
    [16] S. Bibi, Z. Elahi, A. Shahzad, Impacts of different shapes of nanoparticles on SiO2 nanofluid flow and heat transfer in a liquid film over a stretching sheet, Phys. Scr., 95 (2020), 115217. https://doi.org/10.1088/1402-4896/abbc9d doi: 10.1088/1402-4896/abbc9d
    [17] Z. H. Khan, S. T. Hussain, Z. Hammouch, Flow and heat transfer analysis of water and ethylene glycol based Cu nanoparticles between two parallel disks with suction/injection effects, J. Mol. Liq., 221 (2016), 298–304. https://doi.org/10.1016/j.molliq.2016.05.089 doi: 10.1016/j.molliq.2016.05.089
    [18] U. Hayat, R. Ali, S. Shaiq, A. Shahzad, A numerical study on thin film flow and heat transfer enhancement for copper nanoparticles dispersed in ethylene glycol, Rev. Adv. Mater. Sci., 62 (2023), 20220320. https://10.1515/rams-2022-0320 doi: 10.1515/rams-2022-0320
    [19] K. Iqbal, J. Ahmed, M. Khan, L. Ahmad, M. Alghamdi, Magnetohydrodynamic thin film deposition of Carreau nanofluid over an unsteady stretching surface, Appl. Phys. A, 126 (2020), 105. https://doi.org/10.1007/s00339-019-3204-6 doi: 10.1007/s00339-019-3204-6
    [20] J. Li, L. Liu, L. Zheng, B. Bin-Mohsin, Unsteady MHD flow and radiation heat transfer of nanofluid in a finite thin film with heat generation and thermophoresis, J. Taiwan Inst. Chem. Eng., 67 (2016), 226–234. https://doi.org/10.1016/j.jtice.2016.07.022 doi: 10.1016/j.jtice.2016.07.022
  • Reader Comments
  • © 2026 the Author(s), licensee AIMS Press. This is an open access article distributed under the terms of the Creative Commons Attribution License (http://creativecommons.org/licenses/by/4.0)
通讯作者: 陈斌, bchen63@163.com
  • 1. 

    沈阳化工大学材料科学与工程学院 沈阳 110142

  1. 本站搜索
  2. 百度学术搜索
  3. 万方数据库搜索
  4. CNKI搜索

Metrics

Article views(546) PDF downloads(126) Cited by(0)

Article outline

Figures and Tables

Figures(19)  /  Tables(5)

Other Articles By Authors

/

DownLoad:  Full-Size Img  PowerPoint
Return
Return

Catalog