Research article Special Issues

Unified scientific tool to investigate fractional derivatives of arbitrary variable order with time-memory and order-memory: The VOFD Python package

  • Published: 09 March 2026
  • MSC : 34A08, 37D04, 37D45, 37M05, 37M22

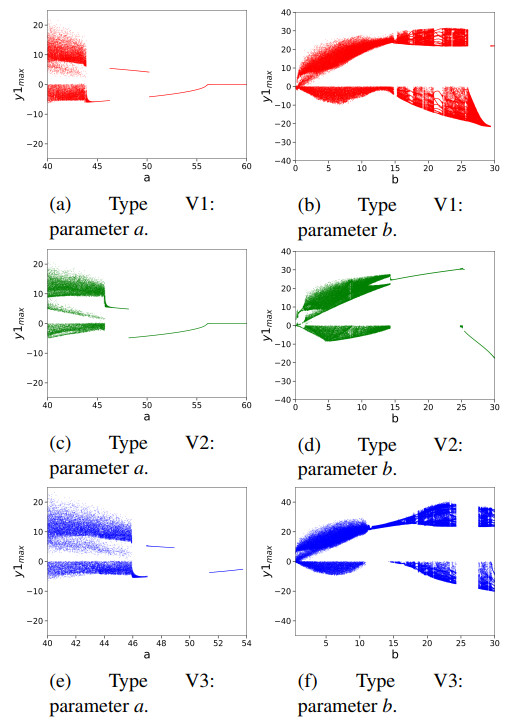
  • Fractional derivatives of arbitrary order may enhance several practical applications in science and engineering, ranging from physics, chemistry, economics, and botany to robotics, neural networks, data encryption, and internet of things (IoT). In such variable order (VO) fractional derivatives, the memory property changes as a function of time and order. However, despite a strong mathematical background, there are no software tools dedicated to exploiting the distinctive properties of VO derivatives. This is mainly due to the difficulty of capturing the complex properties of VO derivatives by a suitable computational method for numerical simulations. Therefore, this tutorial paper introduces a simple open-source Python library (VOFD Python package which can be downloaded from http://pypi.org/project/vofd/) that implements numerical integration schemes based on finite-difference approximations to solve Caputo VO derivatives (V1) and two convolution-based Caputo VO derivatives (V2 and V3). In addition, the proposed package includes a subroutine for generating bifurcation diagrams. Step-by-step examples for the Riccati equation and Chen system, along with error and convergence analyses, are provided to demonstrate the benefits of the proposed tool. The variable-order fractional derivative (VOFD) package provides high-performance numerical routines accelerated with the Numba JIT compiler, significantly reducing computation time for numerical solutions and large-scale bifurcation analysis, enabling efficient exploration of variable-order fractional models by both experts and practitioners.

    Citation: Daniel Clemente-López, Jesus M. Munoz-Pacheco, José de Jesus Rangel-Magdaleno, Lizbeth Vargas-Cabrera. Unified scientific tool to investigate fractional derivatives of arbitrary variable order with time-memory and order-memory: The VOFD Python package[J]. AIMS Mathematics, 2026, 11(3): 5798-5823. doi: 10.3934/math.2026239

    Related Papers:

  • Fractional derivatives of arbitrary order may enhance several practical applications in science and engineering, ranging from physics, chemistry, economics, and botany to robotics, neural networks, data encryption, and internet of things (IoT). In such variable order (VO) fractional derivatives, the memory property changes as a function of time and order. However, despite a strong mathematical background, there are no software tools dedicated to exploiting the distinctive properties of VO derivatives. This is mainly due to the difficulty of capturing the complex properties of VO derivatives by a suitable computational method for numerical simulations. Therefore, this tutorial paper introduces a simple open-source Python library (VOFD Python package which can be downloaded from http://pypi.org/project/vofd/) that implements numerical integration schemes based on finite-difference approximations to solve Caputo VO derivatives (V1) and two convolution-based Caputo VO derivatives (V2 and V3). In addition, the proposed package includes a subroutine for generating bifurcation diagrams. Step-by-step examples for the Riccati equation and Chen system, along with error and convergence analyses, are provided to demonstrate the benefits of the proposed tool. The variable-order fractional derivative (VOFD) package provides high-performance numerical routines accelerated with the Numba JIT compiler, significantly reducing computation time for numerical solutions and large-scale bifurcation analysis, enabling efficient exploration of variable-order fractional models by both experts and practitioners.



    加载中


    [1] S. C. Ma, Y. F. Xu, W. Yue, Numerical solutions of a variable-order fractional financial system, J. Appl. Math., 2012 (2012), 417942. https://doi.org/10.1155/2012/417942 doi: 10.1155/2012/417942
    [2] S. G. Samko, B. Ross, Integration and differentiation to a variable fractional order, Integr. Transf. Spec. F., 1 (1993), 277–300. https://doi.org/10.1080/10652469308819027 doi: 10.1080/10652469308819027
    [3] S. G. Samko, Fractional integration and differentiation of variable order, Anal. Math., 21 (1995), 213–236. https://doi.org/10.1007/BF01911126 doi: 10.1007/BF01911126
    [4] B. P. Moghaddam, J. T. Machado, Extended algorithms for approximating variable order fractional derivatives with applications, J. Sci. Comput., 71 (2017), 1351–1374. https://doi.org/10.1007/s10915-016-0343-1 doi: 10.1007/s10915-016-0343-1
    [5] R. Garrappa, A. Giusti, F. Mainardi, Variable-order fractional calculus: A change of perspective, Commun. Nonlinear Sci., 102 (2021), 105904. https://doi.org/10.1016/j.cnsns.2021.105904 doi: 10.1016/j.cnsns.2021.105904
    [6] L. E. S. Ramirez, C. F. M. Coimbra, On the selection and meaning of variable order operators for dynamic modeling, Int. J. Differ. Equat., 2010 (2010), 846107. https://doi.org/10.1155/2010/846107 doi: 10.1155/2010/846107
    [7] D. Sierociuk, W. Malesza, M. Macias, On a new definition of fractional variable-order derivative, Proceedings of the 14th International Carpathian Control Conference (ICCC), Rytro, Poland, 2013,340–345. 10.1109/CarpathianCC.2013.6560566
    [8] J. V. da C. Sousa, J. T. Machado, E. C. de Oliveira, The $\psi$-hilfer fractional calculus of variable order and its applications, Comp. Appl. Math., 39 (2020), 296. https://doi.org/10.1007/s40314-020-01347-9 doi: 10.1007/s40314-020-01347-9
    [9] Z.-Y. Zhang, Z.-X. Lin, L.-L. Guo, Variable-order fractional derivative under hadamard's finite-part integral: Leibniz-type rule and its applications, Nonlinear Dyn., 108 (2022), 1641–1653. https://doi.org/10.1007/s11071-022-07281-1 doi: 10.1007/s11071-022-07281-1
    [10] H. G. Sun, A. L. Chang, Y. Zhang, W. Chen, A review on variable-order fractional differential equations: mathematical foundations, physical models, numerical methods and applications, Fract. Calc. Appl. Anal., 22 (2019), 27–59. https://doi.org/10.1515/fca-2019-0003 doi: 10.1515/fca-2019-0003
    [11] L. F. Ávalos-Ruiz, C. J. Zúñiga-Aguilar, J. F. Gómez-Aguilar, R. F. Escobar-Jiménez, H. M. Romero-Ugalde, FPGA implementation and control of chaotic systems involving the variable-order fractional operator with mittag–leffler law, Chaos Soliton. Fract., 115 (2018), 177–189. https://doi.org/10.1016/j.chaos.2018.08.021 doi: 10.1016/j.chaos.2018.08.021
    [12] Z. C. Wei, A. Akgul, U. E. Kocamaz, I. Moroz, W. Zhang, Control, electronic circuit application and fractional-order analysis of hidden chaotic attractors in the self-exciting homopolar disc dynamo, Chaos Soliton. Fract., 111 (2018), 157–168. https://doi.org/10.1016/j.chaos.2018.04.020 doi: 10.1016/j.chaos.2018.04.020
    [13] G.-C. Wu, Z.-G. Deng, D. Baleanu, D.-Q. Zeng, New variable-order fractional chaotic systems for fast image encryption, Chaos, 29 (2019), 083103. https://doi.org/10.1063/1.5096645 doi: 10.1063/1.5096645
    [14] R. Kasinathan, R. Kasinathan, D. Chalishajar, D. Kasinathan, M. Rautaray, Trajectory controllability of hilfer fractional stochastic pantograph equations with random impulses, Complex Anal. Oper. Theory, 19 (2025), 176. https://doi.org/10.1007/s11785-025-01801-8 doi: 10.1007/s11785-025-01801-8
    [15] D. Chalishajar, D. Kasinathan, R. Kasinathan, R. Kasinathan, Trajectory controllability of higher-order riemann-liouville fractional stochastic systems via integral contractors in a new banach space, B. Sci. Math., 204 (2025), 103659. https://doi.org/10.1016/j.bulsci.2025.103659 doi: 10.1016/j.bulsci.2025.103659
    [16] D. Kasinathan, R. Kasinathan, R. Kasinathan, K. Shanmugasundaram, D. Chalishajar, Trajectory controllability of fractional neutral stochastic dynamical systems of order $\alpha$ $\epsilon$ $(1, 2]$ with deviating argument, J. Appl. Math., 2025 (2025), 2539363. https://doi.org/10.1155/jama/2539363 doi: 10.1155/jama/2539363
    [17] D. Kasinathan, D. Chalishajar, R. Kasinathan, R. Kasinathan, S. Karthikeyan, Trajectory controllability of higher-order fractional neutral stochastic system with non-instantaneous impulses via state-dependent delay with numerical simulation followed by hearth wall degradation process, Int. J. Dynam. Control, 13 (2025), 104. https://doi.org/10.1007/s40435-025-01605-w doi: 10.1007/s40435-025-01605-w
    [18] D. Chalishajar, D. Kasinathan, R. Kasinathan, R. Kasinathan, Viscoelastic kelvin–voigt model on ulam-hyer's stability and t-controllability for a coupled integro fractional stochastic systems with integral boundary conditions via integral contractors, Chao Soliton. Fract., 191 (2025), 115785. https://doi.org/10.1016/j.chaos.2024.115785 doi: 10.1016/j.chaos.2024.115785
    [19] D. Chalishajar, D. Kasinathan, R. Kasinathan, R. Kasinathan, T-Controllability of higher-order fractional stochastic delay system via integral contractor, Journal of Control and Decision, 2024 (2024), 2379993. https://doi.org/10.1080/23307706.2024.2379993 doi: 10.1080/23307706.2024.2379993
    [20] R. Kasinathan, R. Kasinathan, D. Chalishajar, D. Baleanu, V. Sandrasekaran, The averaging principle of hilfer fractional stochastic pantograph equations with non-lipschitz conditions, Stat. Probabil. Lett., 215 (2024), 110221. https://doi.org/10.1016/j.spl.2024.110221 doi: 10.1016/j.spl.2024.110221
    [21] J. W. Wang, Y. Q. Liu, L. M. Yan, K. L. Han, L. B. Feng, R. F. Zhang, Fractional sub-equation neural networks (fSENNs) method for exact solutions of space-time fractional partial differential equations, Chaos, 35 (2025), 043110. https://doi.org/10.1063/5.0259937 doi: 10.1063/5.0259937
    [22] R. F. Zhang, S. Bilige, Bilinear neural network method to obtain the exact analytical solutions of nonlinear partial differential equations and its application to p-gBKP equation, Nonlinear Dyn., 95 (2019), 3041–3048. https://doi.org/10.1007/s11071-018-04739-z doi: 10.1007/s11071-018-04739-z
    [23] H. W. Zhang, R. F. Zhang, Q. R. Liu, A novel multi-modal neurosymbolic reasoning intelligent algorithm for BLMP equation, Chinese Phys. Lett., 42 (2025), 100002. https://doi.org/10.1088/0256-307X/42/10/100002 doi: 10.1088/0256-307X/42/10/100002
    [24] R. F. Zhang, M. C. Li, Bilinear residual network method for solving the exactly explicit solutions of nonlinear evolution equations, Nonlinear Dyn., 108 (2022), 521–531. https://doi.org/10.1007/s11071-022-07207-x doi: 10.1007/s11071-022-07207-x
    [25] X. R. Xie, R. F. Zhang, Neural network-based symbolic calculation approach for solving the Korteweg–de vries equation, Chaos Soliton. Fract., 194 (2025), 116232. https://doi.org/10.1016/j.chaos.2025.116232 doi: 10.1016/j.chaos.2025.116232
    [26] M. S. Hashemi, M. Inc, A. Yusuf, On three-dimensional variable order time fractional chaotic system with nonsingular kernel, Chaos Soliton. Fract., 133 (2020), 109628. https://doi.org/10.1016/j.chaos.2020.109628 doi: 10.1016/j.chaos.2020.109628
    [27] M. F. Tolba, H. Saleh, B. Mohammad, M. Al-Qutayri, A. S. Elwakil, A. G. Radwan, Enhanced fpga realization of the fractional-order derivative and application to a variable-order chaotic system, Nonlinear Dyn., 99 (2020), 3143–3154. https://doi.org/10.1007/s11071-019-05449-w doi: 10.1007/s11071-019-05449-w
    [28] N. Medellín-Neri, J. M. Munoz-Pacheco, O. Félix-Beltrán, E. Zambrano-Serrano, Analysis of a variable-order multi-scroll chaotic system with different memory lengths, In: Nonlinear dynamics and applications: Proceedings of the ICNDA 2022, Cham: Springer, 2022, 1181–1191. https://doi.org/10.1007/978-3-030-99792-2_100
    [29] B. Wang, H. Jahanshahi, B. Arıcıoğlu, B. Boru, S. Kacar, N. D. Alotaibi, Variable-order fractional neural network: Dynamical properties, data security application, and synchronization using a novel control algorithm with a finite-time estimator, J. Franklin I., 360 (2023), 13648–13670. https://doi.org/10.1016/j.jfranklin.2022.04.036 doi: 10.1016/j.jfranklin.2022.04.036
    [30] H. Ur Rehman, M. Darus, J. Salah, A note on caputo's derivative operator interpretation in economy, J. Appl. Math., 2018 (2018), 1260240. https://doi.org/10.1155/2018/1260240 doi: 10.1155/2018/1260240
    [31] H. G. Sun, W. Chen, H. Wei, Y. Q. Chen, A comparative study of constant-order and variable-order fractional models in characterizing memory property of systems, Eur. Phys. J. Spec. Top., 193 (2011), 185–192. https://doi.org/10.1140/epjst/e2011-01390-6 doi: 10.1140/epjst/e2011-01390-6
    [32] R. Lin, F. W. Liu, V. Anh, I. Turner, Stability and convergence of a new explicit finite-difference approximation for the variable-order nonlinear fractional diffusion equation, Appl. Math. Comput., 212 (2009), 435–445. https://doi.org/10.1016/j.amc.2009.02.047 doi: 10.1016/j.amc.2009.02.047
    [33] D. Clemente-López, J. M. Munoz-Pacheco, J. de J. Rangel-Magdaleno, Experimental validation of iot image encryption scheme based on a 5-d fractional hyperchaotic system and numba jit compiler, Internet of Things, 25 (2024), 101116. https://doi.org/10.1016/j.iot.2024.101116 doi: 10.1016/j.iot.2024.101116
    [34] A. Giusti, I. Colombaro, R. Garra, R. Garrappa, A. Mentrelli, On variable-order fractional linear viscoelasticity. Fract. Calc. Appl. Anal., 27 (2024), 1564–1578. https://doi.org/10.1007/s13540-024-00288-y
    [35] L. Bougoffa, New conditions for obtaining the exact solutions of the general riccati equation, Sci. World J., 2014 (2014), 401741. https://doi.org/10.1155/2014/401741 doi: 10.1155/2014/401741
    [36] G. J. Taneja, V. K. Tayal, K. Pandey, Optimal control design for process liquid level system, 2021 9th International Conference on Reliability, Infocom Technologies and Optimization (Trends and Future Directions) (ICRITO), Noida, India, 2021, 1–4. https://doi.org/10.1109/ICRITO51393.2021.9596374
    [37] P. P. Boyle, W. Tian, F. Guan, The riccati equation in mathematical finance, J. Symb. Comput., 33 (2002), 343–355. https://doi.org/10.1006/jsco.2001.0508 doi: 10.1006/jsco.2001.0508
    [38] J. Wang, Z. Li, The impact of standard wiener process on the qualitative analysis and traveling wave solutions of stochastic nonlinear kodama equation in the Stratonovich sense, AIMS Mathematics, 10 (2025), 24997–25010. https://doi.org/10.3934/math.20251107 doi: 10.3934/math.20251107
  • Reader Comments
  • © 2026 the Author(s), licensee AIMS Press. This is an open access article distributed under the terms of the Creative Commons Attribution License (http://creativecommons.org/licenses/by/4.0)
通讯作者: 陈斌, bchen63@163.com
  • 1. 

    沈阳化工大学材料科学与工程学院 沈阳 110142

  1. 本站搜索
  2. 百度学术搜索
  3. 万方数据库搜索
  4. CNKI搜索

Metrics

Article views(588) PDF downloads(35) Cited by(0)

Article outline

Figures and Tables

Figures(6)  /  Tables(2)

/

DownLoad:  Full-Size Img  PowerPoint
Return
Return

Catalog