Research article Special Issues

Dynamics of the generalized derivative resonant NLS equation: bifurcation, exact solutions, and the transition from periodic to chaotic waves

  • Published: 30 January 2026
  • MSC : 34H10, 35B20, 35C05, 35C075

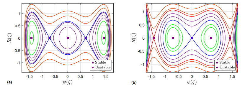
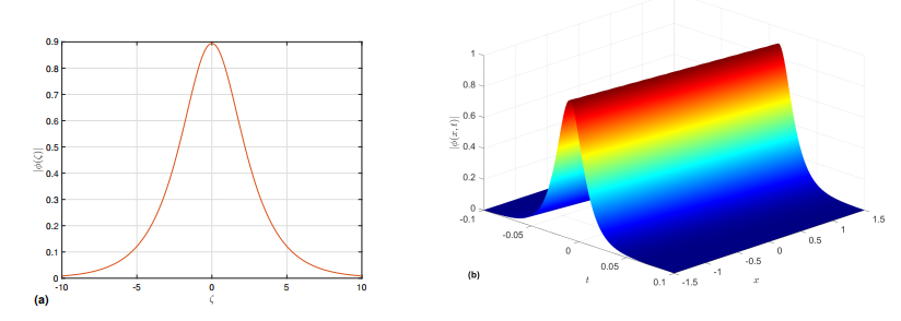
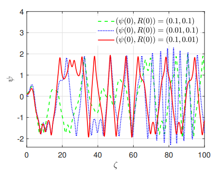
  • This work presents a inclusive inspection of the nonlinear dynamics of the generalized derivative resonant nonlinear Schrödinger equation (GD-RNLS), a fundamental model for wave phenomena in dispersive media. We use a tailored transformation to recast the GD-RNLS as a two-dimensional conservative dynamic system, which is equivalent to a Hamiltonian system with a single degree of freedom. Leveraging the Hamiltonian framework, we perform a detailed bifurcation analysis. The corresponding phase portraits are constructed, and we studied the degeneracy of the phase plane trajectories as the bifurcation parameter varies. Within this dynamic systems approach, we derive a family of novel exact solutions, categorizing them as periodic, super-periodic, kink (and anti- kink), and solitary wave solutions; selected solutions are illustrated graphically to clarify their properties. Furthermore, we examine a perturbed variant of the GD-RNLS, incorporating an external periodic forcing term modeled by a Jacobi elliptic function. The influence of this perturbation is explored numerically through two-dimensional (2D) and three- dimensional (3D) phase portraits, as well as the time series. Our simulations reveal a sequence of behavioral transitions: the system's initially periodic state gives way to quasi-periodic dynamics as the forcing frequency increases. Upon a further increase in frequency, chaotic behavior emerges. This transition to chaos is quantitatively confirmed by calculating the largest Lyapunov exponent and qualitatively visualized by the irregular structure of the Poincaré surface of section, both of which underscore the complex, stochastic nature of the system's dynamics under strong forcing.

    Citation: Adel Emandouh. Dynamics of the generalized derivative resonant NLS equation: bifurcation, exact solutions, and the transition from periodic to chaotic waves[J]. AIMS Mathematics, 2026, 11(1): 3096-3131. doi: 10.3934/math.2026123

    Related Papers:

  • This work presents a inclusive inspection of the nonlinear dynamics of the generalized derivative resonant nonlinear Schrödinger equation (GD-RNLS), a fundamental model for wave phenomena in dispersive media. We use a tailored transformation to recast the GD-RNLS as a two-dimensional conservative dynamic system, which is equivalent to a Hamiltonian system with a single degree of freedom. Leveraging the Hamiltonian framework, we perform a detailed bifurcation analysis. The corresponding phase portraits are constructed, and we studied the degeneracy of the phase plane trajectories as the bifurcation parameter varies. Within this dynamic systems approach, we derive a family of novel exact solutions, categorizing them as periodic, super-periodic, kink (and anti- kink), and solitary wave solutions; selected solutions are illustrated graphically to clarify their properties. Furthermore, we examine a perturbed variant of the GD-RNLS, incorporating an external periodic forcing term modeled by a Jacobi elliptic function. The influence of this perturbation is explored numerically through two-dimensional (2D) and three- dimensional (3D) phase portraits, as well as the time series. Our simulations reveal a sequence of behavioral transitions: the system's initially periodic state gives way to quasi-periodic dynamics as the forcing frequency increases. Upon a further increase in frequency, chaotic behavior emerges. This transition to chaos is quantitatively confirmed by calculating the largest Lyapunov exponent and qualitatively visualized by the irregular structure of the Poincaré surface of section, both of which underscore the complex, stochastic nature of the system's dynamics under strong forcing.



    加载中


    [1] Y. Zhu, J. Yang, J. Li, L. Hu, Q. Zhou, Interaction properties of double-hump solitons in the dispersion decreasing fiber, Nonlinear Dyn., 109 (2022), 1047–1052. https://doi.org/10.1007/s11071-022-07491-7 doi: 10.1007/s11071-022-07491-7
    [2] J. Yang, Y. Zhu, W. Qin, S. H. Wang, C. Q. Dai, J. T. Li, Higher-dimensional soliton structures of a variable-coefficient Gross–Pitaevskii equation with partially nonlocal nonlinearity under a harmonic potential, Nonlinear Dyn., 108 (2022), 2551–2562. https://doi.org/10.1007/s11071-022-07337-2 doi: 10.1007/s11071-022-07337-2
    [3] M. M. Roshid, M. M. Rahman, H. Or-Roshid, Effect of the nonlinear dispersive coefficient on time-dependent variable coefficient soliton solutions of the Kolmogorov–Petrovsky–Piskunov model arising in biological and chemical science, Heliyon, 10 (2024), e31294. https://doi.org/10.1016/j.heliyon.2024.e31294 doi: 10.1016/j.heliyon.2024.e31294
    [4] S. Duran, An investigation of the physical dynamics of a traveling wave solution called a bright soliton, Phys. Scr., 96 (2021), 125251. https://doi.org/10.1088/1402-4896/ac37a1 doi: 10.1088/1402-4896/ac37a1
    [5] K. J. Wang, S. Li, K. H. Yan, Resonant multiple wave, multi-lump wave and complex N-soliton solutions to the (3+1)-dimensional Jimbo–Miwa equation, Mod. Phys. Lett. B, 40 (2026), 265000. https://doi.org/10.1142/S0217984926500016 doi: 10.1142/S0217984926500016
    [6] Y. S. Özkan, E. Yaşar, Breather-type and multi-wave solutions for the (2+1)-dimensional nonlocal Gardner equation, Appl. Math. Comput., 390 (2021), 125663. https://doi.org/10.1016/j.amc.2020.125663 doi: 10.1016/j.amc.2020.125663
    [7] Y. S. Özkan, A. R. Seadawy, E. Yaşar, Multi-wave, breather and interaction solutions to the (3+1)-dimensional Vakhnenko–Parkes equation arising from the propagation of high-frequency waves in a relaxing medium, J. Taibah Univ. Sci., 15 (2021), 666–678. https://doi.org/10.1080/16583655.2021.1999053 doi: 10.1080/16583655.2021.1999053
    [8] Y. H. Liang, K. J. Wang, Dynamics of the new exact wave solutions to the local fractional Vakhnenko–Parkes equation, Fractals, 34 (2025), 2550102. https://doi.org/10.1142/S0218348X25501026 doi: 10.1142/S0218348X25501026
    [9] M. Elbrolosy, A. Elmandouh, Painlevé analysis, Lie symmetry and bifurcation for the dynamical model of radial dislocations in microtubules, Nonlinear Dyn., 113 (2025), 13699–13714. https://doi.org/10.1007/s11071-025-11084-5 doi: 10.1007/s11071-025-11084-5
    [10] X. Z. Zhang, I. Siddique, K. B. Mehdi, A. A. Elmandouh, M. Inc, Novel exact solutions, bifurcation of nonlinear and supernonlinear traveling waves for M-fractional generalized reaction Duffing model and the density dependent M-fractional diffusion reaction equation, Results Phys., 37 (2022), 105485. https://doi.org/10.1016/j.rinp.2022.105485 doi: 10.1016/j.rinp.2022.105485
    [11] A. Elmandouh, M. Al Nuwairan, M. M. El-Dessoky, Nonlinear dynamical analysis and new solutions of the space-fractional stochastic Davey–Stewartson equations for nonlinear water waves, Mathematics, 13 (2025), 692. https://doi.org/10.3390/math13050692 doi: 10.3390/math13050692
    [12] H. Wang, X. Wang, Bifurcations of traveling wave solutions for the mixed Korteweg-de Vries equation, AIMS Math., 9 (2024), 1652–1663. https://doi.org/10.3934/math.2024081 doi: 10.3934/math.2024081
    [13] Z. Li, S. Zhao, Bifurcation, chaotic behavior and solitary wave solutions for the Akbota equation, AIMS Math., 9 (2024), 22590–22601. https://doi.org/10.3934/math.20241100 doi: 10.3934/math.20241100
    [14] Q. Zhang, A. Ke, Bifurcations and exact solutions of generalized nonlinear Schrödinger equation, AIMS Math., 10 (2025), 5158–5172. https://doi.org/10.3934/math.2025237 doi: 10.3934/math.2025237
    [15] K. Farooq, A. R. Abdullah, E. Hussain, M. A. S. Murad, Chaos, Lyapunov exponent, and sensitivity demonstration of the coupled nonlinear integrable model with soliton solutions, AIMS Math., 10 (2025), 22929–22957. https://doi.org/10.3934/math.20251019 doi: 10.3934/math.20251019
    [16] N. A. Kudryashov, Almost general solution of the reduced higher-order nonlinear Schrödinger equation, Optik, 227 (2021), 166347. https://doi.org/10.1016/j.ijleo.2021.166347 doi: 10.1016/j.ijleo.2021.166347
    [17] M. Gürses, A. Pekcan, Nonlocal nonlinear Schrödinger equations and their soliton solutions, J. Math. Phys., 59 (2018), 051501. https://doi.org/10.1063/1.4997835 doi: 10.1063/1.4997835
    [18] A. M. Wazwaz, M. Mehanna, Bright and dark optical solitons for a new (3+1)-dimensional nonlinear Schrödinger equation, Optik, 241 (2021), 166985. https://doi.org/10.1016/j.ijleo.2021.166985 doi: 10.1016/j.ijleo.2021.166985
    [19] H. Triki, A. Biswas, S. P. Moshokoa, M. Belic, Optical solitons and conservation laws with quadratic-cubic nonlinearity, Optik, 128 (2017), 63–70, https://doi.org/10.1016/j.ijleo.2016.10.010 doi: 10.1016/j.ijleo.2016.10.010
    [20] Q. Zhou, L. Liu, Y. X. Liu, H. Yu, P. Yao, C. Wei, et al., Exact optical solitons in metamaterials with cubic–quintic nonlinearity and third-order dispersion, Nonlinear Dyn., 80 (2015), 1365–1371. https://doi.org/10.1007/s11071-015-1948-x doi: 10.1007/s11071-015-1948-x
    [21] A. Das, B. Karmakar, A. Biswas, Y. Yıldırım, A. A. Alghamdi, Chirped periodic waves and solitary waves for a generalized derivative resonant nonlinear Schrödinger equation with cubic–quintic nonlinearity, Nonlinear Dyn., 111 (2023), 15347–15371. https://doi.org/10.1007/s11071-023-08640-2 doi: 10.1007/s11071-023-08640-2
    [22] N. Karjanto, Modeling wave packet dynamics and exploring applications: a comprehensive guide to the nonlinear Schrödinger equation, Mathematics, 12 (2024), 744. https://doi.org/10.3390/math12050744 doi: 10.3390/math12050744
    [23] M. M. A. Khater, Dynamics of nonlinear time fractional equations in shallow water waves, Int. J. Theor. Phys., 63 (2024), 1–12. https://doi.org/10.1007/s10773-024-05634-7 doi: 10.1007/s10773-024-05634-7
    [24] T. Christopoulos, O. Tsilipakos, E. E. Kriezis, Temporal coupled-mode theory in nonlinear resonant photonics: from basic principles to contemporary systems with 2D materials, dispersion, loss, and gain, J. Appl. Phys., 136 (2024), 011101. https://doi.org/10.1063/5.0190631 doi: 10.1063/5.0190631
    [25] A. Das, S. Jash, S. Paul, Y. A. Mondal, A. Das, Optical chirped soliton structures in generalized derivative resonant nonlinear Schrödinger equation and modulational stability analysis, Optik, 226 (2021), 165701. https://doi.org/10.1016/j.ijleo.2020.165701 doi: 10.1016/j.ijleo.2020.165701
    [26] S. Behera, Dynamical solutions and quadratic resonance of nonlinear perturbed Schrödinger equation, Front. Appl. Math. Stat., 8 (2023), 1086766. https://doi.org/10.3389/fams.2022.1086766 doi: 10.3389/fams.2022.1086766
    [27] B. Ghanbari, M. Inc, A new generalized exponential rational function method to find exact special solutions for the resonance nonlinear Schrödinger equation, Eur. Phys. J. Plus, 133 (2018), 142. https://doi.org/10.1140/epjp/i2018-11984-1 doi: 10.1140/epjp/i2018-11984-1
    [28] K. S. Al-Ghafri, Different physical structures of solutions for a generalized resonant dispersive nonlinear Schrödinger equation with power law nonlinearity, J. Appl. Math., 2019 (2019), 6143102. https://doi.org/10.1155/2019/6143102 doi: 10.1155/2019/6143102
    [29] V. V. Nemytskii, Qualitative theory of differential equations, Princeton University Press, 2015.
    [30] H. Goldstein, Classical mechanics, USA: Addison-Wesley, 1980.
    [31] H. Goldstein, Classical mechanics, Addison-Wesley Series in Physics, Boston, MA, USA: Addison-Wesley, 1980.
    [32] F. Gantmacher, Lectures in analytical mechanics, MIR Publishers, Moscow (translated from the Russian), 1970.
    [33] P. F. Byrd, M. D. Friedman, Handbook of elliptic integrals for engineers and scientists, Springer-Verlag, New York-Heidelberg, 1971. https://doi.org/10.1007/978-3-642-65138-0
    [34] M. Alharbi, A. Elmandouh, M. Elbrolosy, New soliton, kink and periodic solutions for fractional space–time coupled Schrödinger equation, Alex. Eng. J., 114 (2025), 123–135. https://doi.org/10.1016/j.aej.2024.11.058 doi: 10.1016/j.aej.2024.11.058
  • Reader Comments
  • © 2026 the Author(s), licensee AIMS Press. This is an open access article distributed under the terms of the Creative Commons Attribution License (http://creativecommons.org/licenses/by/4.0)
通讯作者: 陈斌, bchen63@163.com
  • 1. 

    沈阳化工大学材料科学与工程学院 沈阳 110142

  1. 本站搜索
  2. 百度学术搜索
  3. 万方数据库搜索
  4. CNKI搜索

Metrics

Article views(792) PDF downloads(73) Cited by(0)

Article outline

Figures and Tables

Figures(16)  /  Tables(5)

Other Articles By Authors

/

DownLoad:  Full-Size Img  PowerPoint
Return
Return

Catalog