Research article Special Issues

Neutrosophic moment exponential distribution: properties and modeling of child mortality rate data

  • Published: 28 November 2025
  • MSC : 60E05, 62A86

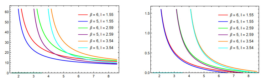
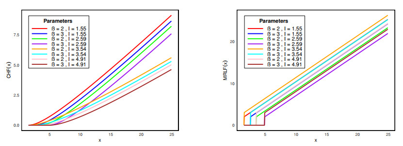
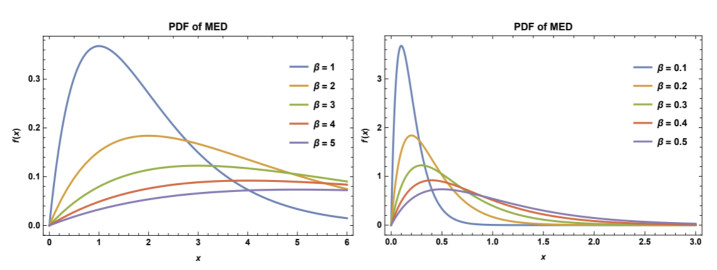
  • This research extends traditional statistical distribution theory, which often neglects issues such as ambiguity, imprecision, or indeterminacy. The primary aim is to develop the neutrosophic moment exponential distribution as a refined version of the moment exponential distribution, specifically to tackle situations involving uncertainty. The study derives the proposed model's quantile function, Mills ratio, and elasticity, as well as its mean, variance, $ r^{\text{th}} $ moment, index of dispersion, and moment-generating function. It also establishes expressions for the survival function, hazard rate function, cumulative hazard function, and mean residual life function, which are visually explored through graphs. Furthermore, the research calculates information measures including extropy, weighted extropy, cumulative residual extropy, Shannon entropy, and Rényi entropy. The parameters of the proposed model are determined using maximum likelihood estimation, followed by a simulation study and an illustration of the distribution of the order statistics. Finally, the practical superiority of the proposed distribution over several existing models in the literature is demonstrated using a child mortality rate dataset.

    Citation: Ghadah Alomani, R. Maya, M. R. Irshad, Amer I. Al-Omari, A. S. Aparna. Neutrosophic moment exponential distribution: properties and modeling of child mortality rate data[J]. AIMS Mathematics, 2025, 10(11): 27816-27836. doi: 10.3934/math.20251222

    Related Papers:

  • This research extends traditional statistical distribution theory, which often neglects issues such as ambiguity, imprecision, or indeterminacy. The primary aim is to develop the neutrosophic moment exponential distribution as a refined version of the moment exponential distribution, specifically to tackle situations involving uncertainty. The study derives the proposed model's quantile function, Mills ratio, and elasticity, as well as its mean, variance, $ r^{\text{th}} $ moment, index of dispersion, and moment-generating function. It also establishes expressions for the survival function, hazard rate function, cumulative hazard function, and mean residual life function, which are visually explored through graphs. Furthermore, the research calculates information measures including extropy, weighted extropy, cumulative residual extropy, Shannon entropy, and Rényi entropy. The parameters of the proposed model are determined using maximum likelihood estimation, followed by a simulation study and an illustration of the distribution of the order statistics. Finally, the practical superiority of the proposed distribution over several existing models in the literature is demonstrated using a child mortality rate dataset.



    加载中


    [1] R. A. Aldallal, E. Hussam, The new extended-X exponentiated inverted Weibull distribution: statistical inference and application to carbon data, Appl. Math. Inform. Sci., 18 (2024), 737–747. http://doi.org/10.18576/amis/180406 doi: 10.18576/amis/180406
    [2] A. I. Al-Omari, A. R. A. Alanzi, S. S. Alshqaq, The unit two parameters Mirra distribution: reliability analysis, properties, estimation and applications, Alex. Eng. J., 92 (2024), 238–253. https://doi.org/10.1016/j.aej.2024.02.063 doi: 10.1016/j.aej.2024.02.063
    [3] A. I. Al-Omari, R. Alsultan, G. Alomani, Asymmetric right-skewed size-biased Bilal distribution with mathematical properties, reliability analysis, inference and applications, Symmetry, 15 (2023), 1578. https://doi.org/10.3390/sym15081578 doi: 10.3390/sym15081578
    [4] M. R. Irshad, M. Ahammed, R. Maya, A. I. Al-Omari, Marshall-Olkin Bilal distribution with associated minification process and acceptance sampling plans, Hacet. J. Math. Stat., 53 (2024), 201–229. https://doi.org/10.15672/hujms.1143156 doi: 10.15672/hujms.1143156
    [5] M. R. Irshad, S. Aswathy, R. Maya, A. I. Al-Omari, G. Alomani, A flexible model for bounded data with bathtub shaped hazard rate function and applications, AIMS Math., 9 (2024), 24810–24831. https://doi.org/10.3934/math.20241208 doi: 10.3934/math.20241208
    [6] F. Smarandache, Neutrosophic set-a generalization of the intuitionistic fuzzy set, International Journal of Pure and Applied Mathematics, 24 (2005), 287.
    [7] M. B. Zeina, A. Hatip, Neutrosophic random variables, Neutrosophic Sets and Systems, 39 (2021), 44–52.
    [8] S. K. Patro, F. Smarandache, The neutrosophic statistical distribution, more problems, more solutions, Neutrosophic Sets and Systems, 12 (2016), 73–79.
    [9] R. Alhabib, M. M. Ranna, H. Farah, A. A. Salama, Some neutrosophic probability distributions, Neutrosophic Sets and Systems, 22 (2018), 30–38.
    [10] K. F. H. Alhasan, F. Smarandache, Neutrosophic Weibull distribution and neutrosophic family Weibull distribution, Neutrosophic Sets and Systems, 28 (2019), 15.
    [11] A. R. Alanzi, M. R. Irshad, M. Johny, A. I. Al-Omari, H. Alrweili, Neutrosophic Poisson moment exponential distribution: properties and applications, Maejo Int. J. Sci. Tech., 19 (2025), 133–149.
    [12] R. A. K. Sherwani, M. Naeem, M. Aslam, M. Raza, M. Abid, S. Abbas, Neutrosophic beta distribution with properties and applications, Neutrosophic Sets and Systems, 41 (2021), 209–214.
    [13] Z. Khan, A. Al-Bossly, M. M. Almazah, F. S. Alduais, On statistical development of neutrosophic gamma distribution with applications to complex data analysis, Complexity, 2021 (2021), 3701236. https://doi.org/10.1155/2021/3701236 doi: 10.1155/2021/3701236
    [14] Z. Khan, M. Gulistan, N. Kausar, C. Park, Neutrosophic Rayleigh model with some basic characteristics and engineering applications, IEEE Access, 9 (2021), 71277–71283. https://doi.org/10.1109/ACCESS.2021.3078150 doi: 10.1109/ACCESS.2021.3078150
    [15] B. M. Nayana, K. K. Anakha, V. M. Chacko, M. Aslam, M. Albassam, A new neutrosophic model using Dus-Weibull transformation with application, Complex Intell. Syst., 8 (2022), 4079–4088. https://doi.org/10.1007/s40747-022-00698-6 doi: 10.1007/s40747-022-00698-6
    [16] M. B. Zeina, M. Abobala, A. Hatip, S. Broumi, S. J. Mosa, Algebraic approach to literal neutrosophic Kumaraswamy probability distribution, Neutrosophic Sets and Systems, 54 (2023), 124–138.
    [17] R. Alsultan, A. I. Al-Omari, Neutrosophic Quasi-XLindley distribution with applications of COVID-19 data, Neutrosophic Sets and Systems, 82 (2025), 530–541.
    [18] L. A. Al-Essa, F. Jamal, S. Shafiq, S. Khan, Q. Abbas, R. A. K. Sherwani, et al., Properties and applications of neutrosophic Burr XII distribution, Int. J. Comput. Intell. Syst., 18 (2025), 10. https://doi.org/10.1007/s44196-024-00721-3 doi: 10.1007/s44196-024-00721-3
    [19] R. Alhabib, A. A. Salama, Using moving averages to pave the neutrosophic time series, International Journal of Neutrosophic Science, 3 (2020), 14–20. https://doi.org/10.5281/zenodo.3732611 doi: 10.5281/zenodo.3732611
    [20] M. Aslam, A new sampling plan using neutrosophic process loss consideration, Symmetry, 10 (2018), 132. https://doi.org/10.3390/sym10050132 doi: 10.3390/sym10050132
    [21] S. T. Dara, M. Aḥmad, Recent advances in moment distribution and their hazard rates, Lap Lambert Academic Publishing, 2012.
    [22] S. A. Hasnain, Z. Iqbal, M. Ahmad, On exponentiated moment exponential distribution, Pak. J. Statist., 31 (2015), 267–280.
    [23] M. A. Ul Haq, R. M. Usman, S. Hashmi, A. I. Al-Omeri, The Marshall-Olkin length-biased exponential distribution and its applications, J. King Saud Univ. Sci., 31 (2019), 246–251. https://doi.org/10.1016/j.jksus.2017.09.006 doi: 10.1016/j.jksus.2017.09.006
    [24] S. Hashmi, M. A. Ul Haq, R. M. Usman, A generalized exponential distribution with increasing, decreasing and constant shape hazard curves, Electron. J. Appl. Stat. Anal., 12 (2019), 223–244. https://doi.org/10.1285/i20705948v12n1p223 doi: 10.1285/i20705948v12n1p223
    [25] R. Maya, J. Huang, M. R. Irshad, F. Zhu, On Poisson moment exponential distribution with associated regression and INAR(1) process, Ann. Data Sci., 11 (2024), 1741–1759. https://doi.org/10.1007/s40745-023-00476-2 doi: 10.1007/s40745-023-00476-2
    [26] C. Granados, A. K. Das, B. Das, Some continuous neutrosophic distributions with neutrosophic parameters based on neutrosophic random variables, Advances in the Theory of Nonlinear Analysis and its Application, 6 (2022), 380–389. https://doi.org/10.31197/atnaa.1056480 doi: 10.31197/atnaa.1056480
    [27] F. Lad, G. Sanfilippo, G. Agro, Extropy: complementary dual of entropy, Statist. Sci., 30 (2015), 40–58. https://doi.org/10.1214/14-STS430 doi: 10.1214/14-STS430
    [28] N. Balakrishnan, F. Buono, M. Longobardi, On weighted extropies, Commun. Stat.-Theor. Meth., 51 (2022), 6250–6267. https://doi.org/10.1080/03610926.2020.1860222 doi: 10.1080/03610926.2020.1860222
    [29] N. Gupta, S. K. Chaudhary, On general weighted extropy of ranked set sampling, Commun. Stat.-Theor. Meth., 53 (2024), 4428–4441. https://doi.org/10.1080/03610926.2023.2179888 doi: 10.1080/03610926.2023.2179888
    [30] H. Akaike, A new look at the statistical model identification, IEEE Trans. Automat. Contr., 19 (2003), 716–723. https://doi.org/10.1109/TAC.1974.1100705 doi: 10.1109/TAC.1974.1100705
    [31] G. Schwarz, Estimating the dimension of a model, Ann. Statist., 6 (1978), 461–464. https://doi.org/10.1214/aos/1176344136 doi: 10.1214/aos/1176344136
    [32] S. Bashir, B. Masood, I. Shahzadi, Z. Al-Husseini, M. Aslam, Neutrosophic Lindley distribution: simulation, application, and comparative study, Contemp. Math., 6 (2025), 551–564. https://doi.org/10.37256/cm.6120256127 doi: 10.37256/cm.6120256127
    [33] F. S. Alduais, A neutrosophic extension of the inverse gamma distribution: properties and applications, Neutrosophic Sets and Systems, 91 (2025), 423–437.
    [34] Z. Khan, M. M. Almazah, O. H. Odhah, H. M. Alshanbari, Generalized pareto model: properties and applications in neutrosophic data modeling, Math. Probl. Eng., 2022 (2022), 368696. https://doi.org/10.1155/2022/3686968 doi: 10.1155/2022/3686968
  • Reader Comments
  • © 2025 the Author(s), licensee AIMS Press. This is an open access article distributed under the terms of the Creative Commons Attribution License (http://creativecommons.org/licenses/by/4.0)
通讯作者: 陈斌, bchen63@163.com
  • 1. 

    沈阳化工大学材料科学与工程学院 沈阳 110142

  1. 本站搜索
  2. 百度学术搜索
  3. 万方数据库搜索
  4. CNKI搜索

Metrics

Article views(841) PDF downloads(28) Cited by(0)

Article outline

Figures and Tables

Figures(6)  /  Tables(2)

/

DownLoad:  Full-Size Img  PowerPoint
Return
Return

Catalog