Research article

An exact asymptotic solution for a non-Newtonian fluid in a generalized Couette flow subject to an inclined magnetic field and a first-order chemical reaction

  • Published: 21 June 2024
  • MSC : 80A19

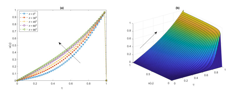
  • Understanding generalized Couette flow provides valuable insights into the behavior of fluids under various conditions, contributing to the advancement of more accurate models for real-world applications including tribology and lubrication, polymer and food processing, water conservation and oil exploration, microfluidics, biological fluid dynamics (blood flow in vessels), and electrohydrodynamic, and so on. The present study provided the exact asymptotic solution for the generalized Couette flow of a non-Newtonian Jeffrey fluid in a horizontal channel immersed in a saturated porous medium.The governing partial differential equations were transformed into a dimensionless form using the similarity technique and the resulting system of equations is solved by the Perturbation technique, as well as the method of the separation of variables, and computed on MATLAB (ode15s solver).The behavior of fluid velocity was investigated and presented through 2-D and 3-D graphs for two cases (ⅰ) when the implication of the magnetic field was strengthened and (ⅱ) when the magnitude of the magnetic field was fixed but its degree of inclination was altered. The first-order chemical reactions and thermal radiation were also considered. Additionally, the effect of numerous emerging quantities on momentum, temperature, and concentration contours characterizing the fluid flow was depicted graphically and discussed. Furthermore, the skin friction (at different angles of inclination and magnetic strength), Nusselt number, and Sherwood number (at different time intervals) were evaluated at both boundaries and presented tabularly. The findings revealed that there was a decrease in the velocity profile with an increasing degree of inclination and strength of the magnetic field. Moreover, we observed an increment in thermal and mass flux when it was measured over time at both of the channels. Also, the outcomes predicted an oscillatory nature of shear stress at both of the boundries.

    Citation: Shabiha Naz, Tamizharasi Renganathan. An exact asymptotic solution for a non-Newtonian fluid in a generalized Couette flow subject to an inclined magnetic field and a first-order chemical reaction[J]. AIMS Mathematics, 2024, 9(8): 20245-20270. doi: 10.3934/math.2024986

    Related Papers:

  • Understanding generalized Couette flow provides valuable insights into the behavior of fluids under various conditions, contributing to the advancement of more accurate models for real-world applications including tribology and lubrication, polymer and food processing, water conservation and oil exploration, microfluidics, biological fluid dynamics (blood flow in vessels), and electrohydrodynamic, and so on. The present study provided the exact asymptotic solution for the generalized Couette flow of a non-Newtonian Jeffrey fluid in a horizontal channel immersed in a saturated porous medium.The governing partial differential equations were transformed into a dimensionless form using the similarity technique and the resulting system of equations is solved by the Perturbation technique, as well as the method of the separation of variables, and computed on MATLAB (ode15s solver).The behavior of fluid velocity was investigated and presented through 2-D and 3-D graphs for two cases (ⅰ) when the implication of the magnetic field was strengthened and (ⅱ) when the magnitude of the magnetic field was fixed but its degree of inclination was altered. The first-order chemical reactions and thermal radiation were also considered. Additionally, the effect of numerous emerging quantities on momentum, temperature, and concentration contours characterizing the fluid flow was depicted graphically and discussed. Furthermore, the skin friction (at different angles of inclination and magnetic strength), Nusselt number, and Sherwood number (at different time intervals) were evaluated at both boundaries and presented tabularly. The findings revealed that there was a decrease in the velocity profile with an increasing degree of inclination and strength of the magnetic field. Moreover, we observed an increment in thermal and mass flux when it was measured over time at both of the channels. Also, the outcomes predicted an oscillatory nature of shear stress at both of the boundries.



    加载中


    [1] J. R. Philip, Flow in porous media, Annu. Rev. Fluid Mech., 2 (1970), 117–204. Available from: https://api.semanticscholar.org/CorpusID: 123011400.
    [2] A. Dybbs, R. V. Edwards, A new look at porous media fluid mechanics Darcy to turbulent, Springer, 1984. https://doi.org/10.1007/978-94-009-6175-3
    [3] J. H. Prévost, Mechanics of continuous porous media, Int. J. Eng. Sci., 18 (1980), 787–800. https://doi.org/10.1016/0020-7225(80)90026-9 doi: 10.1016/0020-7225(80)90026-9
    [4] D. A. Nield, A. Bejan, Mechanics of fluid flow through a porous medium, Convection in porous media, New York: Springer, 2017. https://doi.org/10.1007/978-3-319-49562-0-1
    [5] C. Geindreau, J. L. Auriault, Magnetohydrodynamic flows in porous media, J. Fluid. Mech., 466 (2002). https://doi.org/10.1017/S0022112002001404 doi: 10.1017/S0022112002001404
    [6] K. Vafai, S. J. Kim, Fluid mechanics of the interface region between a porous medium and a fluid layer an exact solution, Int. J. Heat. Fluid Fl., 3 (1990), 254–256. https://doi.org/10.1016/0142-727X(90)90045-D doi: 10.1016/0142-727X(90)90045-D
    [7] S. Nazari, R. Ellahi, M. M. Sarafraz, M. R. Safaei, A. Asgari, O. A. Akbari, Numerical study on mixed convection of a non-Newtonian nanofluid with porous media in a two lid-driven square cavity, J. Therm. Anal. Calorim., 140 (2020), 1121–1145. https://doi.org/10.1007/s10973-019-08841-1 doi: 10.1007/s10973-019-08841-1
    [8] N. T. M. Eldebe, G. Moatimid, A. A. Elshekhipy, N. Aballah, Numerical simulation of the motion of a micropolar Casson fluid through a porous medium over a stretching surface, Therm Sci., 24 (2020), 1285–1297. http://dx.doi.org/10.2298/TSCI180604008E doi: 10.2298/TSCI180604008E
    [9] M. Awais, M. A. Z. Raja, S. E. Awan, M. Shoaib, H. M. Ali, Heat and mass transfer phenomenon for the dynamics of Casson fluid through porous medium over shrinking wall subject to Lorentz force and heat source/sink, Alex. Eng. J., 60 (2021), 1355–1363. https://doi.org/10.1016/j.aej.2020.10.056 doi: 10.1016/j.aej.2020.10.056
    [10] R. Kodi, R. R. Vaddemani, M. I. Khan, Unsteady magnetohydrodynamics flow of Jeffrey fluid through porous media with thermal radiation, Hall current and Soret effects, J. Magn. Magn. Mater., 582 (2020), 171033. https://doi.org/10.1016/j.jmmm.2023.171033 doi: 10.1016/j.jmmm.2023.171033
    [11] W. Liu, Q. Zhang, Y. Dong, Z. Chen, Y. Duan, H. Sun, et al., Analytical and numerical studies on a moving boundary problem of non-Newtonian Bingham fluid flow in fractal porous media, Phys. Fluids, 34 (2022). https://doi.org/10.1063/5.0078654 doi: 10.1063/5.0078654
    [12] S. Saeedmonir, M. H. Adeli, A. R. Khoei, A multiscale approach in modeling of chemically reactive porous media, Comput. Geotech., 165 (2024), 105818. https://doi.org/10.1016/j.compgeo.2023.105818 doi: 10.1016/j.compgeo.2023.105818
    [13] Y. J. Kim, Unsteady MHD convective heat transfer past a semi-infinite vertical porous moving plate with variable suction, Int. J. Eng. Sci., 38 (2000), 833–845. https://doi.org/10.1016/S0020-7225(99)00063-4 doi: 10.1016/S0020-7225(99)00063-4
    [14] A. Khalid, I. Khan, A. Khan, S. Shafie, Unsteady MHD free convection flow of Casson fluid past over an oscillating vertical plate embedded in a porous medium, Eng. Sci. Tech., 18 (2015), 309–317. https://doi.org/10.1016/j.jestch.2014.12.006 doi: 10.1016/j.jestch.2014.12.006
    [15] S. Mukhopadhyay, MHD boundary layer flow and heat transfer over an exponentially stretching sheet embedded in a thermally stratified medium, Alex. Eng. J., 52 (2013), 259265. http://dx.doi.org/10.1016/j.aej.2013.02.003 doi: 10.1016/j.aej.2013.02.003
    [16] K. Maqbool, A. B. Mann, M. H. Tiwana, Unsteady MHD convective flow of a Jeffery fluid embedded in a porous medium with ramped wall velocity and temperature, Alex. Eng. J., 57 (2018), 1071–1078. https://doi.org/10.1016/j.aej.2017.02.012 doi: 10.1016/j.aej.2017.02.012
    [17] M. V. Krishna, N. A. Ahamad, A, J. Chamkha, Hall and ion slip effects on unsteady MHD free convective rotating flow through a saturated porous medium over an exponential accelerated plate, Alex. Eng. J., 59 (2020), 565–577. https://doi.org/10.1016/j.aej.2020.01.043 doi: 10.1016/j.aej.2020.01.043
    [18] M. A. Kumar, Y. D. Reddy, B. S. Goud, V. S. Rao, Effects of soret, dufour, hall current and rotation on MHD natural convective heat and mass transfer flow past an accelerated vertical plate through a porous medium, Int. J. Thermofluids, 9 (2020), 100061. https://doi.org/10.1016/j.ijft.2020.100061 doi: 10.1016/j.ijft.2020.100061
    [19] A. Pothérat, J. Sommeria, R. Moreau, An effective two-dimensional model for MHD flows with transverse magnetic field, Eng. Sci. Tech., 18 (2015), 309–317. http://dx.doi.org/10.1017/S0022112000001944 doi: 10.1017/S0022112000001944
    [20] A. Sharma, A. V. Dubewar, MHD flow between two parallel plates under the influence of inclined magnetic field by finite difference method, Int. J. Innov. Tech. Explor. Eng., 52 (2019), 259–265. Available from: https://api.semanticscholar.org/CorpusID:219632895.
    [21] C. Geindreau, J. L. Auriault, Magnetohydrodynamic flows in porous media, J. Fluid. Mech., 466 (2002), 343–363. https://doi.org/10.1017/S0022112002001404 doi: 10.1017/S0022112002001404
    [22] M. A. Seddeek, F. A. Salama, The effects of temperature dependent viscosity and thermal conductivity on unsteady MHD convective heat transfer past a semi-infinite vertical porous moving plate with variable suction, Comput. Mat. Sci., 40 (2006), 186–192. https://doi.org/10.1016/j.commatsci.2006.11.012 doi: 10.1016/j.commatsci.2006.11.012
    [23] A. M. Megahed, M. G. Reddy, W. Abbas, Modeling of MHD fluid flow over an unsteady stretching sheet with thermal radiation, variable fluid properties and heat flux, Math. Comput. Simul., 185 (2021), 583–593. https://doi.org/10.1016/j.matcom.2021.01.011 doi: 10.1016/j.matcom.2021.01.011
    [24] F. Ali, G. Ali, A. Khan, I. Khan, E. T. Eldin, M. Ahmad, Effects of Newtonian heating and heat generation on magnetohydrodynamics dusty fluid flow between two parallel plates, Front. Mater., 10 (2023), 1120963. https://doi.org/10.3389/fmats.2023.1120963 doi: 10.3389/fmats.2023.1120963
    [25] H. Simsek, Evaluation of Nusselt number for a flow in a parallel plates using magnetohydrodynamics second-order slip model, J. Heat. Transf., 144 (2022), 052101. https://doi.org/10.1115/1.4053370 doi: 10.1115/1.4053370
    [26] M. Awais, T. Salahuddin, S. Muhammad, Effects of viscous dissipation and activation energy for the MHD Eyring-powell fluid flow with Darcy-Forchheimer and variable fluid properties, Ain. Shams Eng. J., 15 (2024), 102422. https://doi.org/10.1016/j.asej.2023.102422 doi: 10.1016/j.asej.2023.102422
    [27] C. Y. Wang, Starting flow in a channel with two immiscible fluids, J. Fluids Eng., 139 (2017), 124501. https://doi.org/10.1115/1.4037495 doi: 10.1115/1.4037495
    [28] L. Yi, C. Wang, S. G. Huisman, C. Sun, Recent developments of turbulent emulsions in Taylor-Couette flow, Philos. T. R. Soc. A, 381 (2023), 20220129. https://doi.org/10.1098/rsta.2022.0129 doi: 10.1098/rsta.2022.0129
    [29] P. Dash, K. L. Ojha, B. K. Swain, G. C. Dash, MHD Couette flow and heat transfer in a rotating channel in presence of viscous dissipation and heat source/sink, Numer. Heat Tr. A-Appl., 2023, 1–6. https://doi.org/10.1080/10407782.2023.2237224 doi: 10.1080/10407782.2023.2237224
    [30] D. Liu, Y. Z. Song, S. L. Sun, S. Yang, B. Ahmad, T. Muhammad, Heat transfer performance and entropy generation analysis of Taylor-Couette flow with helical slit wall, Case Stud. Therm. Eng., 53 (2024), 103852. https://doi.org/10.1016/j.csite.2023.103852 doi: 10.1016/j.csite.2023.103852
    [31] J. Mnganga, Effects of chemical reaction and Joule heating on MHD generalized Couette flow between two parallel vertical porous plates with induced magnetic field and Newtonian heating/cooling, Int. J. Math. Math. Sci., 2023 (2023). https://doi.org/10.1155/2023/9134811 doi: 10.1155/2023/9134811
    [32] S. Jaiswal, P. K. Yadav, Physics of generalized couette flow of immiscible fluids in anisotropic porous medium, Int. J. Mod. Phys. B, 2023, 2450377. https://doi.org/10.1142/S0217979224503776 doi: 10.1142/S0217979224503776
    [33] M. Nazeer, F. Hussain, M. O. Ahmad, S. Saeed, M. I. Khan, S. Kadry, et al., Multi-phase flow of Jeffrey fluid bounded within magnetized horizontal surface, Surf. Interfaces, 22 (2020), 100846. https://doi.org/10.1016/j.surfin.2020.100846 doi: 10.1016/j.surfin.2020.100846
    [34] W. Cheng, D. I. Pullin, R. Samatney, X. Luo, Numerical simulation of turbulent, plane parallel Couette-Poiseuille flow, J. Fluid Mech., 955 (2023). https://doi.org/10.1017/jfm.2022.1023 doi: 10.1017/jfm.2022.1023
    [35] K. Ramesh, Effects of viscous dissipation and Joule heating on the Couette and Poiseuille flows of a Jeffrey fluid with slip boundary conditions, Propuls. Power Res., 7 (2018), 329–341. https://doi.org/10.1016/j.jppr.2018.11.008 doi: 10.1016/j.jppr.2018.11.008
    [36] M. Elshabrawy, O. Khaled, W. Abbas, S. E. Beshir, M. Abdeen, Analytical solution of thermal effect on unsteady visco-elastic dusty fluid between two parallel plates in the presence of different pressure gradients, Beni-Suef U. J. Basic, 12 (2023). https://doi.org/10.1186/s43088-023-00410-8 doi: 10.1186/s43088-023-00410-8
    [37] B. Reddappa, G. Ramakrishnan, Effects of second order chemical reaction on MHD forced convection Cu, Ag, and Fe$_{3}$O$_{4}$ nanoparticles of Jeffrey Nanofluid over a moving plate in a porous medium in the presence of heat source/sink, J. Integ. Sci. Tech., 12 (2024), 762–762. http://dx.doi.org/10.62110/sciencein.jist.2024.v12.762 doi: 10.62110/sciencein.jist.2024.v12.762
    [38] H. Maiti, S. Mukhopadhyay, Squeezing unsteady nanofluid flow among two parallel plates with first-order chemical reaction and velocity slip, Heat Transf., 53 (2024), 1790–1815. http://dx.doi.org/10.1002/htj.23015 doi: 10.1002/htj.23015
    [39] A. Mythreye, J. P. Pramod, K. S. Balamurugan, Chemical reaction on unsteady MHD convective heat and mass transfer past a semi-infinite vertical permeable moving plate with heat absorption, Proc. Eng., 127 (2015), 613–620. https://doi.org/10.1016/j.proeng.2015.11.352 doi: 10.1016/j.proeng.2015.11.352
    [40] S. Arulmozhi, K. Sukkiramathi, S. S. Santra, R. Edwan, U. Fernandez-Gamiz, S. Noeiaghdam, Heat and mass transfer analysis of radiative and chemical reactive effects on MHD nanofluid over an infinite moving vertical plate, Results Eng., 14 (2022), 100394. https://doi.org/10.1016/j.rineng.2022.100394 doi: 10.1016/j.rineng.2022.100394
    [41] P. V. S. Narayana, D. H. Babu, Numerical study of MHD heat and mass transfer of a Jeffrey fluid over a stretching sheet with chemical reaction and thermal radiation, J. Taiwan Inst. Chem. Eng., 59 (2015), 18–25. https://doi.org/10.1016/j.jtice.2015.07.014 doi: 10.1016/j.jtice.2015.07.014
    [42] N. Gulle, R. Kodi, Soret radiation and chemical reaction effect on MHD Jeffrey fluid flow past an inclined vertical plate embedded in porous medium, Mater. Today Proc., 50 (2021), 2218–2226. https://doi.org/10.1016/j.matpr.2021.09.480 doi: 10.1016/j.matpr.2021.09.480
    [43] K. S. Nisar, R. Mohapatra, S. R. Mishra, M. G. Reddy, Semi-analytical solution of MHD free convective Jeffrey fluid flow in the presence of heat source and chemical reaction, Ain. Shams Eng. J., 12 (2020), 837–845. https://doi.org/10.1016/j.asej.2020.08.015 doi: 10.1016/j.asej.2020.08.015
    [44] A. S. Idowu, Effect of heat and mass transfer on unsteady MHD oscillatory flow of Jeffrey fluid in a horizontal channel with chemical reaction, IOSR J. Math., 8 (2013), 74–87. http://dx.doi.org/10.9790/5728-0857487 doi: 10.9790/5728-0857487
    [45] B. Jalili, A. M. Ganji, A. Shateri, P. Jalili, D. D. Ganji, Thermal analysis of Non-Newtonian visco-inelastic fluid MHD flow between rotating disks, Case Stud. Therm. Eng., 49 (2023), 103333. https://doi.org/10.1016/j.csite.2023.103333 doi: 10.1016/j.csite.2023.103333
    [46] S. P. Samrat, Y. H. Gangadharaiah, G. P. Ashwinkumar, N. Sandeep, Effect of exponential heat source on parabolic flow of three different non-Newtonian fluids, J. Process. Mech. Eng., 236 (2022), 2131–2138. https://doi.org/10.1177/09544089221083468 doi: 10.1177/09544089221083468
    [47] S. A. Wajihah, D. S. Sankar, A review on non-Newtonian fluid models for multi-layered blood rheology in constricted arteries, Arch. Appl. Mech., 93 (2023), 1771–1796. https://doi.org/10.1007/s00419-023-02368-6 doi: 10.1007/s00419-023-02368-6
    [48] A. Chang, K. Vafai, H. G. Sun, Flow and heat transfer characteristics of non-Newtonian fluid over an oscillating flat plate, Numer. Heat Tr. A-Appl., 79 (2021), 721–733. https://doi.org/10.1080/10407782.2021.1903232 doi: 10.1080/10407782.2021.1903232
    [49] W. Selby, P. Garland, I. Mastikhin, A simple portable magnetic resonance technique for characterizing circular couette flow of non-Newtonian fluids, J. Magn. Reson., 345 (2022), 107325. https://doi.org/10.1016/j.jmr.2022.107325 doi: 10.1016/j.jmr.2022.107325
    [50] O. Mopuri, A. Sailakumari, A. Ganjikunta, E. Sudhakara, K. VenkateswaraRaju, P. Ramesh, et al., Characteristics of MHD Jeffery fluid past an inclined vertical porous plate, CFD Lett., 16 (2024), 68–89. https://doi.org/10.37934/cfdl.16.6.6889 doi: 10.37934/cfdl.16.6.6889
    [51] M. Fiza, A. Isubie, H. Ullah, N. N. Hamadneh, S. Islam, I. Khan, Three-dimensional rotating flow of MHD Jeffrey fluid flow between two parallel plates with impact of hall current, Math. Prob. Eng., 2021 (2021), 1–9. https://doi.org/10.1155/2021/6626411 doi: 10.1155/2021/6626411
    [52] M. Aleemand, M. I. Asjad, A. Ahmadian, M. Salimi, M. Ferrara, Heat transfer analysis of channel flow of MHD Jeffrey fluid subject to generalized boundary conditions, Eur. Phys. J. Plus, 135 (2020). https://doi.org/10.1140/epjp/s13360-019-00071-6 doi: 10.1140/epjp/s13360-019-00071-6
    [53] B. B. Divya, G. Manjunatha, C. Rajashekhar, H. Vaidya, K. V. Prasad, The hemodynamics of variable liquid properties on the MHD peristaltic mechanism of Jeffrey fluid with heat and mass transfer, Alex. Eng. J., 59 (2020), 693–706. https://doi.org/10.1016/j.aej.2020.01.038 doi: 10.1016/j.aej.2020.01.038
    [54] M. Qasim, Heat and mass transfer in a Jeffrey fluid over a stretching sheet with heat source/sink, Alex. Eng. J., 52 (2013), 571–575. https://doi.org/10.1016/j.aej.2013.08.004 doi: 10.1016/j.aej.2013.08.004
    [55] N. Dalir, Numerical study of entropy generation for forced convection flow and heat transfer of a Jeffrey fluid over a stretching sheet, Alex. Eng. J., 53 (2014), 769–778. https://doi.org/10.1016/j.aej.2014.08.005 doi: 10.1016/j.aej.2014.08.005
    [56] P. P. Kumar, B. S. Gaud, B. S. Malga, Finite element study of Soret number effects on MHD flow of Jeffrey fluid through a vertical permeable moving plate, Partial Differ. Equ. Appl. Math., 1 (2020), 100005. https://doi.org/10.1016/j.padiff.2020.100005 doi: 10.1016/j.padiff.2020.100005
    [57] M. Sarfraz, M. Khan, Rheology of gyrotactic microorganisms in Jeffrey fluid flow: A stability analysis, Mod. Phys. Lett. B, 38 (2024), 2450003. https://doi.org/10.1142/S0217984924500039 doi: 10.1142/S0217984924500039
    [58] A. H. Nayfeh, Perturbation methods, John Wiley and Sons, 2008. https://doi.org/10.1002/9783527617609
    [59] B. Shivamoggi, Perturbation methods for differential equations, Birkhäuser Boston, 2003. https://doi.org/10.1007/978-1-4612-0047-5
    [60] E. O. Giacaglia, Perturbation methods in non-linear systems, New York: Springer, 1972. https://doi.org/10.1007/978-1-4612-6400-2
    [61] J. K. Hale, Ordinary differential equations, Dover Publications, 2009. Available from: https://books.google.co.in/books?id = LdTZJ4HwCv4C.
    [62] M. D. Raisinghania, Advanced differential equations, S. Chand Publications, 1995. Available from: https://books.google.co.in/books?id = egwrDAAAQBAJ.
  • Reader Comments
  • © 2024 the Author(s), licensee AIMS Press. This is an open access article distributed under the terms of the Creative Commons Attribution License (http://creativecommons.org/licenses/by/4.0)
通讯作者: 陈斌, bchen63@163.com
  • 1. 

    沈阳化工大学材料科学与工程学院 沈阳 110142

  1. 本站搜索
  2. 百度学术搜索
  3. 万方数据库搜索
  4. CNKI搜索

Metrics

Article views(2381) PDF downloads(81) Cited by(3)

Article outline

Figures and Tables

Figures(11)  /  Tables(5)

Other Articles By Authors

/

DownLoad:  Full-Size Img  PowerPoint
Return
Return

Catalog