Research article

Predictive analysis of doubly Type-Ⅱ censored models

  • Received: 24 July 2024 Revised: 28 September 2024 Accepted: 30 September 2024 Published: 08 October 2024
  • MSC : 62F10, 62N01, 62N02

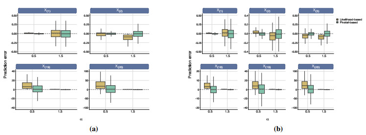
  • The application of a doubly Type-Ⅱ censoring scheme, where observations are censored at both the left and right ends, is often used in various fields including social science, psychology, and economics. However, the observed sample size under this censoring scheme may not be large enough to apply a likelihood-based approach due to the occurrence of censoring at both ends. To effectively respond to this difficulty, we propose a pivotal-based approach within a doubly Type-Ⅱ censoring framework, focusing on two key aspects: Estimation for parameters of interest and prediction for missing or censored samples. The proposed approach offers two prominent advantages, compared to the likelihood-based approach. First, this approach leads to exact confidence intervals for unknown parameters. Second, it addresses prediction problems in a closed-form manner, ensuring computational efficiency. Moreover, novel algorithms using a pseudorandom sequence, which are introduced to implement the proposed approach, have remarkable scalability. The superiority and applicability of the proposed approach are substantiated in Monte Carlo simulations and real-world case analysis through a comparison with the likelihood-based approach.

    Citation: Young Eun Jeon, Yongku Kim, Jung-In Seo. Predictive analysis of doubly Type-Ⅱ censored models[J]. AIMS Mathematics, 2024, 9(10): 28508-28525. doi: 10.3934/math.20241383

    Related Papers:

  • The application of a doubly Type-Ⅱ censoring scheme, where observations are censored at both the left and right ends, is often used in various fields including social science, psychology, and economics. However, the observed sample size under this censoring scheme may not be large enough to apply a likelihood-based approach due to the occurrence of censoring at both ends. To effectively respond to this difficulty, we propose a pivotal-based approach within a doubly Type-Ⅱ censoring framework, focusing on two key aspects: Estimation for parameters of interest and prediction for missing or censored samples. The proposed approach offers two prominent advantages, compared to the likelihood-based approach. First, this approach leads to exact confidence intervals for unknown parameters. Second, it addresses prediction problems in a closed-form manner, ensuring computational efficiency. Moreover, novel algorithms using a pseudorandom sequence, which are introduced to implement the proposed approach, have remarkable scalability. The superiority and applicability of the proposed approach are substantiated in Monte Carlo simulations and real-world case analysis through a comparison with the likelihood-based approach.



    加载中


    [1] A. J. Fernández, Bayesian inference from type Ⅱ doubly censored Rayleigh data, Stat. Probabil. Lett., 48 (2000), 393–399. https://doi.org/10.1016/S0167-7152(00)00021-3 doi: 10.1016/S0167-7152(00)00021-3
    [2] M. Z. Raqab, M. T. Madi, Bayesian prediction of the total time on test using doubly censored Rayleigh data, J. Stat. Comput. Sim., 72 (2002), 781–789. https://doi.org/10.1080/00949650214670 doi: 10.1080/00949650214670
    [3] H. M. R. Khan, S. B. Provost, A. Singh, Predictive inference from a two-parameter Rayleigh life model given a doubly censored sample, Commun. Stat.-Theor. M., 39 (2010), 1237–1246. https://doi.org/10.1080/03610920902871453 doi: 10.1080/03610920902871453
    [4] C. Kim, S. Song, Bayesian estimation of the parameters of the generalized exponential distribution from doubly censored samples, Stat. Pap., 51 (2010), 583–597. https://doi.org/10.1007/s00362-008-0142-3 doi: 10.1007/s00362-008-0142-3
    [5] M. S. Kotb, M. Z. Raqab, Inference and prediction for modified Weibull distribution based on doubly censored samples, Math. Comput. Simulat., 132 (2017), 195–207. https://doi.org/10.1016/j.matcom.2016.07.014 doi: 10.1016/j.matcom.2016.07.014
    [6] H. Panahi, Estimation for the parameters of the Burr Type Ⅻ distribution under doubly censored sample with application to microfluidics data, Int. J. Syst. Assur. Eng., 10 (2019), 510–518. https://doi.org/10.1007/s13198-018-0735-8 doi: 10.1007/s13198-018-0735-8
    [7] T. N. Sindhu, Z. Hussain, Objective Bayesian analysis for the power function Ⅱ distribution under doubly type Ⅱ censored data, Thail. Statist., 20 (2022), 710–731.
    [8] S. F. Wu, Interval estimation for the two-parameter exponential distribution based on the doubly type Ⅱ censored sample, Qual. Quant., 41 (2007), 489–496. https://doi.org/10.1007/s11135-006-9008-8 doi: 10.1007/s11135-006-9008-8
    [9] S. F. Wu, Interval estimation for a Pareto distribution based on a doubly type Ⅱ censored sample, Comput. Stat. Data An., 52 (2008), 3779–3788. https://doi.org/10.1016/j.csda.2007.12.015 doi: 10.1016/j.csda.2007.12.015
    [10] S. Weerahandi, Generalized confidence intervals, J. Am. Stat. Assoc., 88 (1993), 899–905. https://doi.org/10.2307/2290779 doi: 10.2307/2290779
    [11] S. Weerahandi, Generalized inference in repeated measures: Exact methods in MANOVA and mixed models, New York: John Wiley & Sons, 2004.
    [12] H. Alsuhabi, I. Alkhairy, E. M. Almetwally, H. M. Almongy, A. M. Gemeay, E. H. Hafez, et al., A superior extension for the Lomax distribution with application to Covid-19 infections real data, Alex. Eng. J., 61 (2022), 11077–11090. https://doi.org/10.1016/j.aej.2022.03.067 doi: 10.1016/j.aej.2022.03.067
    [13] Z. Chen, A new two-parameter lifetime distribution with bathtub shape or increasing failure rate function, Stat. Probabil. Lett., 49 (2000), 155–161. https://doi.org/10.1016/S0167-7152(00)00044-4 doi: 10.1016/S0167-7152(00)00044-4
    [14] B. X. Wang, K. Yu, M. C. Jones, Inference under progressively type Ⅱ right-censored sampling for certain lifetime distributions, Technometrics, 52 (2010), 453–460. https://doi.org/10.1198/TECH.2010.08210 doi: 10.1198/TECH.2010.08210
  • Reader Comments
  • © 2024 the Author(s), licensee AIMS Press. This is an open access article distributed under the terms of the Creative Commons Attribution License (http://creativecommons.org/licenses/by/4.0)
通讯作者: 陈斌, bchen63@163.com
  • 1. 

    沈阳化工大学材料科学与工程学院 沈阳 110142

  1. 本站搜索
  2. 百度学术搜索
  3. 万方数据库搜索
  4. CNKI搜索

Metrics

Article views(1517) PDF downloads(54) Cited by(0)

Article outline

Figures and Tables

Figures(9)  /  Tables(5)

Other Articles By Authors

/

DownLoad:  Full-Size Img  PowerPoint
Return
Return

Catalog