Research article

Extinction and permanence of a general non-autonomous discrete-time SIRS epidemic model

  • Received: 07 November 2022 Revised: 05 February 2023 Accepted: 06 February 2023 Published: 20 February 2023
  • MSC : 34D05, 34D23, 92D30

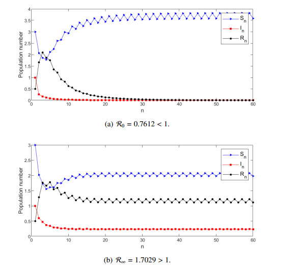
  • We investigate a non-autonomous discrete-time SIRS epidemic model with nonlinear incidence rate and distributed delays combined with a nonlinear recovery rate taken into account the impact of health care resources. Two threshold parameters $ \mathcal{R}_0, \mathcal{R}_\infty $ are obtained so that the disease dies out when $ \mathcal{R}_0 < 1 $; and the infective persists indefinitely when $ \mathcal{R}_\infty > 1 $.

    Citation: Butsayapat Chaihao, Sujin Khomrutai. Extinction and permanence of a general non-autonomous discrete-time SIRS epidemic model[J]. AIMS Mathematics, 2023, 8(4): 9624-9646. doi: 10.3934/math.2023486

    Related Papers:

  • We investigate a non-autonomous discrete-time SIRS epidemic model with nonlinear incidence rate and distributed delays combined with a nonlinear recovery rate taken into account the impact of health care resources. Two threshold parameters $ \mathcal{R}_0, \mathcal{R}_\infty $ are obtained so that the disease dies out when $ \mathcal{R}_0 < 1 $; and the infective persists indefinitely when $ \mathcal{R}_\infty > 1 $.



    加载中


    [1] P. G. Barrientos, J. A. Rodríguez, A. Ruiz-Herrera, Chaotic dynamics in the seasonally forced SIR epidemic model, J. Math. Biol., 75 (2017), 1655–1668. https://doi.org/10.1007/s00285-017-1130-9 doi: 10.1007/s00285-017-1130-9
    [2] V. Capasso, G. Serio, A generalization of the Kermack-Mckendrick deterministic epidemic model, Math. Biosci., 42 (1978), 43–61. https://doi.org/10.1016/0025-5564(78)90006-8 doi: 10.1016/0025-5564(78)90006-8
    [3] T. Enatsu, Y. Nakata, Y. Muroya, Lyapunov functional techniques for the global stability analysis of a delayed SIRS epidemic model, Nonlinear Anal.: Real World Appl., 13 (2012), 2120–2133. https://doi.org/10.1016/j.nonrwa.2012.01.007 doi: 10.1016/j.nonrwa.2012.01.007
    [4] Y. Gu, S. Ullah, M. A. Khan, M. Y. Alshahrani, M. Abohassan, M.B. Riaz, Mathematical modeling and stability analysis of the COVID-19 with quarantine and isolation, Results Phys., 34 (2022), 105284. https://doi.org/10.1016/j.rinp.2022.105284 doi: 10.1016/j.rinp.2022.105284
    [5] H. F. Huo, Z. P. Ma, Dynamics of a delayed epidemic model with non-monotonic incidence rate, Commun. Nonlinear Sci. Numer. Simul., 15 (2010), 459–468. https://doi.org/10.1016/j.cnsns.2009.04.018 doi: 10.1016/j.cnsns.2009.04.018
    [6] Z. Jiang, W. Ma, Permanence of a delayed SIR epidemic model with general nonlinear incidence rate, Math. Meth. Appl. Sci., 38 (2015), 505–516. https://doi.org/10.1002/mma.3083 doi: 10.1002/mma.3083
    [7] M. A. Khan, A. Atangana, Mathematical modeling and analysis of COVID-19: A study of new variant Omicron, Phys. A: Stat. Mech. Appl., 599 (2022), 127452. https://doi.org/10.1016/j.physa.2022.127452 doi: 10.1016/j.physa.2022.127452
    [8] M. Lu, J. Huang, S. Ruan, P. Yu, Bifurcation analysis of an SIRS epidemic model with a generalized nonmonotone and saturated incidence rate, J. Differ. Equ., 267 (2019), 1859–1898. https://doi.org/10.1016/j.jde.2019.03.005 doi: 10.1016/j.jde.2019.03.005
    [9] J. P. S. Mauŕicio de Carvalho, A. A. P. Rodrigues, Strange attractors in a dynamical system inspired by a seasonally forced SIR model, Phys. D: Nonlinear Phenom., 434 (2022), 133268. https://doi.org/10.1016/j.physd.2022.133268 doi: 10.1016/j.physd.2022.133268
    [10] R. E. Mickens, Nonstandard finite difference models of differential equations, Singapore: World Scientific, 1994. https://doi.org/10.1142/2081
    [11] Y. Muroya, Y. Enatsu, Y. Nakata, Monotone iterative techniques to SIRS epidemic models with nonlinear incidence rate and distributed delays, Nonlinear Anal.: Real World Appl., 12 (2011), 1897–1910. https://doi.org/10.1016/j.nonrwa.2010.12.002 doi: 10.1016/j.nonrwa.2010.12.002
    [12] Y. Nakata, Y. Enatsu, Y. Muroya, On the global stability of an SIRS epidemic model with distributed delays, Conference Publications, 2011(Special), 1119–1128. https://doi.org/10.3934/proc.2011.2011.1119
    [13] S. Ottaviano, M. Sensi, S. Sottile, Global stability of SAIRS epidemic models, Nonlinear Anal.: Real World Appl., 65 (2022), 103501. https://doi.org/10.1016/j.nonrwa.2021.103501 doi: 10.1016/j.nonrwa.2021.103501
    [14] M. Sekiguchi, Permanence of a discrete SIRS epidemic model with time delays, Appl. Math. Lett., 23 (2010), 1280–1285. https://doi.org/10.1016/j.aml.2010.06.013 doi: 10.1016/j.aml.2010.06.013
    [15] M. Sekiguchi, E. Ishiwata, Global dynamics of a discretized SIRS epidemic model with time delay, J. Math. Anal. Appl., 371 (2010), 195–202. https://doi.org/10.1016/j.jmaa.2010.05.007 doi: 10.1016/j.jmaa.2010.05.007
    [16] C. Shan, H. Zhu, Bifurcations and complex dynamics of an SIR model with the impact of the number of hospital beds, J. Differ. Equ., 257 (2014), 1662–1688. https://doi.org/10.1016/j.jde.2014.05.030 doi: 10.1016/j.jde.2014.05.030
    [17] Z. Teng, L. Wang, L. Nie, Global attractivity for a class of delayed discrete SIRS epidemic models with general nonlinear incidence rate, Math. Meth. Appl. Sci., 38 (2015), 4741–4759. https://doi.org/10.1002/mma.3389 doi: 10.1002/mma.3389
    [18] W. Wang, Global behavior of an SEIRS epidemic model with time delays, Appl. Math. Lett., 15 (2002), 423–428. https://doi.org/10.1016/S0893-9659(01)00153-7 doi: 10.1016/S0893-9659(01)00153-7
    [19] D. Xiao, S. Ruan, Global analysis of an epidemic model with nonmonotone incidence rate, Math. Biosci., 208 (2007), 419–429. https://doi.org/10.1016/j.mbs.2006.09.025 doi: 10.1016/j.mbs.2006.09.025
    [20] D. Xiao, Y. Zhou, Qualitative analysis of an epidemic model, Can. Appl. Math. Q., 14 (2006), 469–492.
    [21] J. Xu, Z. Teng, S. Gao, Almost sufficient and necessary conditions for permanence and extinction of nonautonomous discrete logistitc systems with time-varying delays and feedback control, Appl. Math-Czech, 56 (2011), 207–225. https://doi.org/10.1007/s10492-011-0003-6 doi: 10.1007/s10492-011-0003-6
    [22] Y. Xu, L. Wei, X. Jiang, Complex dynamics of a SIRS epidemic model with the influence of hospital bed number, Discrete Contin. Dynam. Syst. Ser. B, 56 (2021), 6229–6252. http://doi.org/10.3934/dcdsb.2021016 doi: 10.3934/dcdsb.2021016
    [23] L. Zhang, X. Fan, Z. Teng, Global dynamics of a nonautonomous SEIRS epidemic model with vaccination and nonlinear incidence, Math. Meth. Appl. Sci., 44 (2021), 9315–9333. https://doi.org/10.1002/mma.7359 doi: 10.1002/mma.7359
    [24] T. Zhang, Permanence and extinction in a nonautonomous discrete SIRVS epidemic model with vaccination, Appl. Math. Comput., 271 (2015), 716–729. https://doi.org/10.1016/j.amc.2015.09.071 doi: 10.1016/j.amc.2015.09.071
    [25] T. Zhang, Z. Teng, Permanence and extinction for a nonautonomous SIRS epidemic model with time delay, Appl. Math. Model., 33 (2009), 1058–1071. https://doi.org/10.1016/j.apm.2007.12.020 doi: 10.1016/j.apm.2007.12.020
    [26] T. Zhang, J. Liu, Z. Teng, Dynamic behavior for a nonautonomous SIRS epidemic model with distributed delays, Appl. Math. Comput., 214 (2009), 624–631. https://doi.org/10.1016/j.amc.2009.04.029 doi: 10.1016/j.amc.2009.04.029
    [27] T. Zhang, J. Liu, Z. Teng, Threshold conditions for a discrete nonautonomous SIRS model, Math. Meth. Appl. Sci., 38 (2015), 1781–1794. https://doi.org/10.1002/mma.3186 doi: 10.1002/mma.3186
  • Reader Comments
  • © 2023 the Author(s), licensee AIMS Press. This is an open access article distributed under the terms of the Creative Commons Attribution License (http://creativecommons.org/licenses/by/4.0)
通讯作者: 陈斌, bchen63@163.com
  • 1. 

    沈阳化工大学材料科学与工程学院 沈阳 110142

  1. 本站搜索
  2. 百度学术搜索
  3. 万方数据库搜索
  4. CNKI搜索

Metrics

Article views(2098) PDF downloads(61) Cited by(1)

Article outline

Figures and Tables

Figures(2)

Other Articles By Authors

/

DownLoad:  Full-Size Img  PowerPoint
Return
Return

Catalog