Research article

Optimal automation under overdispersed discrete risk: thresholds and hysteresis in a Negative Binomial model

  • Published: 28 April 2026
  • 90C15, 90C39, 60E05, 62P20

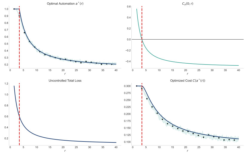
  • Decision-making under clustered uncertainty requires models that accommodate discrete overdispersed risk and endogenous control mechanisms. Standard approaches often impose equi-dispersion or Gaussian assumptions and treat control as exogenous or binary, limiting structural realism. In this paper, we developed a stochastic optimization framework in which risk follows a dynamic Negative Binomial process with time-varying success probability, generating persistent overdispersion and temporal dependence. A continuous control variable mitigated non-tail and tail exposure under convex implementation and adjustment costs. Analytical results showed that overdispersion reshapes the optimal policy, generating interior solutions, dispersion-dependent thresholds, and regime-dependent hysteresis effects that do not arise under equi-dispersed specifications. Simulation evidence confirms that overdispersion amplifies tail risk and induces nonlinear responses. An empirical analysis using daily S&P 500 index data documents significant overdispersion and persistent clustering. The results provide a structural basis for integrating discrete risk modeling with dynamic operational decisions under uncertainty.

    Citation: Jinho Cha, Sahng-Min Han, Long Pham, Joseph Mollick, Justin Yu. Optimal automation under overdispersed discrete risk: thresholds and hysteresis in a Negative Binomial model[J]. Journal of Industrial and Management Optimization, 2026, 22(5): 2503-2554. doi: 10.3934/jimo.2026092

    Related Papers:

  • Decision-making under clustered uncertainty requires models that accommodate discrete overdispersed risk and endogenous control mechanisms. Standard approaches often impose equi-dispersion or Gaussian assumptions and treat control as exogenous or binary, limiting structural realism. In this paper, we developed a stochastic optimization framework in which risk follows a dynamic Negative Binomial process with time-varying success probability, generating persistent overdispersion and temporal dependence. A continuous control variable mitigated non-tail and tail exposure under convex implementation and adjustment costs. Analytical results showed that overdispersion reshapes the optimal policy, generating interior solutions, dispersion-dependent thresholds, and regime-dependent hysteresis effects that do not arise under equi-dispersed specifications. Simulation evidence confirms that overdispersion amplifies tail risk and induces nonlinear responses. An empirical analysis using daily S&P 500 index data documents significant overdispersion and persistent clustering. The results provide a structural basis for integrating discrete risk modeling with dynamic operational decisions under uncertainty.



    加载中


    [1] G. G. Castellano, Don't call it a failure: Systemic risk governance for complex financial systems, Law Soc. Inq., 49 (2024), 2245–2286. https://doi.org/10.1017/lsi.2024.8 doi: 10.1017/lsi.2024.8
    [2] M. Caporin, L. Garcia-Jorcano, J. A. Jimenez-Martin, Early warnings of systemic risk using one-minute high-frequency data, Expert Syst. Appl., 252 (2024), 124134. https://doi.org/10.1016/j.eswa.2024.124134 doi: 10.1016/j.eswa.2024.124134
    [3] D. R. Bergmann, M. A. Oliveira, Extreme risk clustering in long-memory financial series, Chaos Solitons Fractals, 202 (2026), 117513. https://doi.org/10.1016/j.chaos.2025.117513 doi: 10.1016/j.chaos.2025.117513
    [4] R. Cont, Empirical properties of asset returns: stylized facts and statistical issues, Quant. Finance, 1 (2001), 223–236. https://doi.org/10.1088/1469-7688/1/2/304 doi: 10.1088/1469-7688/1/2/304
    [5] R. Cont, P. Tankov, Financial Modelling with Jump Processes, Chapman and Hall/CRC, Boca Raton, FL, 2004. https://doi.org/10.1201/9780203485217
    [6] J. A. Hausman, B. H. Hall, Z. Griliches, Econometric models for count data with an application to the patents-r & d relationship, Econometrica, 52 (1984), 909–938. https://doi.org/10.2307/1911191 doi: 10.2307/1911191
    [7] A. C. Cameron, P. K. Trivedi, Regression-based tests for overdispersion in the poisson model, J. Econometrics, 46 (1990), 347–364. https://doi.org/10.1016/0304-4076(90)90014-K doi: 10.1016/0304-4076(90)90014-K
    [8] T. Bollerslev, R. Y. Chou, K. F. Kroner, Arch modeling in finance: A review of the theory and empirical evidence, J. Econometrics, 52 (1992), 5–59. https://doi.org/10.1016/0304-4076(92)90064-X doi: 10.1016/0304-4076(92)90064-X
    [9] A. W. Lo, Long-term memory in stock market prices, Econometrica, 59 (1991), 1279–1313. https://doi.org/10.2307/2938368 doi: 10.2307/2938368
    [10] C. B. Dean, Testing for overdispersion in poisson and binomial regression models, J. Am. Stat. Assoc., 87 (1992), 451–457. https://doi.org/10.1080/01621459.1992.10475225 doi: 10.1080/01621459.1992.10475225
    [11] C. B. Dean, E. R. Lundy, Overdispersion, Wiley StatsRef: Statistics Reference Online, 2016. https://doi.org/10.1002/9781118445112.stat06788.pub2
    [12] R. Berk, J. M. MacDonald, Overdispersion and poisson regression, J. Quant. Criminol., 24 (2008), 269–284. https://doi.org/10.1007/s10940-008-9048-4 doi: 10.1007/s10940-008-9048-4
    [13] R. Winkelmann, Poisson regression, Econometric Analysis of Count Data, Springer, Berlin, Heidelberg, 2008, 63–126. https://doi.org/10.1007/978-3-540-78389-3_3
    [14] R. Almgren, N. Chriss, Optimal execution of portfolio transactions, J. Risk, 3 (2001), 5–39. https://doi.org/10.21314/JOR.2001.041 doi: 10.21314/JOR.2001.041
    [15] B. Biais, C. Bisière, M. Bouvard, C. Casamatta, The blockchain folk theorem, Rev. Financial Stud., 32 (2019), 1662–1715. https://doi.org/10.1093/rfs/hhy095 doi: 10.1093/rfs/hhy095
    [16] A. Goldfarb, C. Tucker, Digital economics, J. Econ. Lit., 57 (2019), 3–43. https://doi.org/10.1257/jel.20171452 doi: 10.1257/jel.20171452
    [17] F. Schär, Decentralized finance: On blockchain- and smart contract-based financial markets, Fed. Reserv. Bank St. Louis Rev., 103 (2021), 153–174. https://doi.org/10.20955/r.103.153-74 doi: 10.20955/r.103.153-74
    [18] A. Cartea, S. Jaimungal, J. Penalva, Algorithmic and High-Frequency Trading, Cambridge University Press, Cambridge, United Kingdom, 2015. Available from: https://www.cambridge.org/9781107091146.
    [19] J. M. Hilbe, Negative Binomial Regression, 2nd edition, Cambridge University Press, 2011. Available from: https://www.cambridge.org/9780521198158.
    [20] N. Klein, T. Kneib, S. Lang, Bayesian generalized additive models for location, scale, and shape for zero-inflated and overdispersed count data, J. Am. Stat. Assoc., 110 (2015), 405–419. https://doi.org/10.1080/01621459.2014.912955 doi: 10.1080/01621459.2014.912955
    [21] O. E. Barndorff-Nielsen, N. Shephard, Power and bipower variation with stochastic volatility and jumps, J. Financial Econometrics, 2 (2004), 1–37. https://doi.org/10.1093/jjfinec/nbh001 doi: 10.1093/jjfinec/nbh001
    [22] Y. Aït-Sahalia, J. Jacod, Testing for jumps in a discretely observed process, Ann. Statist., 37 (2009), 184–222. https://doi.org/10.1214/07-AOS568 doi: 10.1214/07-AOS568
    [23] T. Bollerslev, V. Todorov, Tails, fear, and risk premia, J. Finance, 66 (2011), 2165–2211. https://doi.org/10.1111/j.1540-6261.2011.01695.x doi: 10.1111/j.1540-6261.2011.01695.x
    [24] M. Denuit, J. Dhaene, M. Goovaerts, R. Kaas, Actuarial Theory for Dependent Risks: Measures, Orders and Models, John Wiley & Sons, Ltd, 2005. https://doi.org/10.1002/0470016450
    [25] R. F. Engle, Autoregressive conditional heteroscedasticity with estimates of the variance of united kingdom inflation, Econometrica, 50 (1982), 987–1007. https://doi.org/10.2307/1912773 doi: 10.2307/1912773
    [26] T. Bollerslev, Generalized autoregressive conditional heteroskedasticity, J. Econometrics, 31 (1986), 307–327. https://doi.org/10.1016/0304-4076(86)90063-1 doi: 10.1016/0304-4076(86)90063-1
    [27] L. W. Cong, Z. He, Blockchain disruption and smart contracts, Rev. Financial Stud., 32 (2019), 1754–1797. https://doi.org/10.1093/rfs/hhz007 doi: 10.1093/rfs/hhz007
    [28] J. Chiu, T. V. Koeppl, Blockchain-based settlement for asset trading, Rev. Financial Stud., 32 (2019), 1716–1753. https://doi.org/10.1093/rfs/hhy122 doi: 10.1093/rfs/hhy122
    [29] P. P. Momtaz, Decentralized finance (defi) markets for startups: Search frictions, intermediation, and the efficiency of the ico market, Small Bus. Econ., 63 (2024), 1415–1447. https://doi.org/10.1007/s11187-024-00886-3 doi: 10.1007/s11187-024-00886-3
    [30] K. Pantelidis, Active tokens and crypto-asset valuation, Financ. Innov., 11 (2025), 95. https://doi.org/10.1186/s40854-025-00752-5 doi: 10.1186/s40854-025-00752-5
    [31] A. S. Kyle, A. A. Obizhaeva, Y. Wang, Smooth trading with overconfidence and market power, Rev. Econ. Stud., 85 (2018), 611–662. https://doi.org/10.1093/restud/rdx017 doi: 10.1093/restud/rdx017
    [32] T. Foucault, S. Moinas, B. Biais, Equilibrium high frequency trading, International Conference of the French Finance Association (AFFI), May 2011, 2011. Available from: https://ssrn.com/abstract = 1834344.
    [33] T. Foucault, R. Kozhan, W. W. Tham, Toxic arbitrage, Rev. Financial Stud., 30 (2017), 1053–1094. https://doi.org/10.1093/rfs/hhw103 doi: 10.1093/rfs/hhw103
    [34] D. Easley, M. López de Prado, M. O'Hara, Flow toxicity and liquidity in a high-frequency world, Rev. Financial Stud., 25 (2012), 1457–1493. https://doi.org/10.1093/rfs/hhs053 doi: 10.1093/rfs/hhs053
    [35] D. Ladley, The high frequency trade-off between speed and sophistication, J. Econ. Dyn. Control, 116 (2020), 103912. https://doi.org/10.1016/j.jedc.2020.103912 doi: 10.1016/j.jedc.2020.103912
    [36] D. Duffie, P. Dworczak, H. Zhu, Benchmarks in search markets, J. Finance, 72 (2017), 1983–2044. https://doi.org/10.1111/jofi.12525 doi: 10.1111/jofi.12525
    [37] A. K. Dixit, R. S. Pindyck, Investment under Uncertainty, Princeton University Press, Princeton, NJ, 1994. https://doi.org/10.2307/j.ctt7sncv
    [38] R. J. Caballero, On the sign of the investment-uncertainty relationship, Am. Econ. Rev., 81 (1991), 279–288. Available from: https://www.jstor.org/stable/2006800.
    [39] R. Bansal, A. Yaron, Risks for the long run: A potential resolution of asset pricing puzzles, J. Finance, 59 (2004), 1481–1509. https://doi.org/10.1111/j.1540-6261.2004.00670.x doi: 10.1111/j.1540-6261.2004.00670.x
    [40] R. J. Barro, Rare disasters and asset markets in the twentieth century, Q. J. Econ., 121 (2006), 823–866. https://doi.org/10.1162/qjec.121.3.823 doi: 10.1162/qjec.121.3.823
    [41] X. Gabaix, Variable rare disasters: An exactly solved framework for ten puzzles in macro-finance, Q. J. Econ., 127 (2012), 645–700. https://doi.org/10.1093/qje/qjs001 doi: 10.1093/qje/qjs001
    [42] J. A. Wachter, Can time-varying risk of rare disasters explain aggregate stock market volatility?, J. Finance, 68 (2013), 987–1035. https://doi.org/10.1111/jofi.12018 doi: 10.1111/jofi.12018
    [43] L. P. Hansen, T. J. Sargent, Robust control and model uncertainty, Am. Econ. Rev., 91 (2001), 60–66. https://doi.org/10.1257/aer.91.2.60 doi: 10.1257/aer.91.2.60
    [44] E. W. Anderson, L. P. Hansen, T. J. Sargent, A quartet of semigroups for model specification, robustness, prices of risk, and model detection, J. Eur. Econ. Assoc., 1 (2003), 68–123. https://doi.org/10.1162/154247603322256774 doi: 10.1162/154247603322256774
    [45] F. Barillas, L. P. Hansen, T. J. Sargent, Doubts or variability?, J. Econ. Theory, 144 (2009), 2388–2418. https://doi.org/10.1016/j.jet.2008.11.014 doi: 10.1016/j.jet.2008.11.014
    [46] T. Adrian, N. Boyarchenko, D. Giannone, Vulnerable growth, Am. Econ. Rev., 109 (2019), 1263–1289. https://doi.org/10.1257/aer.20161923 doi: 10.1257/aer.20161923
    [47] J. D. Hamilton, A new approach to the economic analysis of nonstationary time series and the business cycle, Econometrica, 57 (1989), 357–384. https://doi.org/10.2307/1912559 doi: 10.2307/1912559
    [48] A. Ang, G. Bekaert, International asset allocation with regime shifts, Rev. Financial Stud., 15 (2002), 1137–1187. https://doi.org/10.1093/rfs/15.4.1137 doi: 10.1093/rfs/15.4.1137
    [49] M. Shaked, J. G. Shanthikumar, Univariate stochastic orders, Stochastic Orders, Springer Series in Statistics, Springer, New York, NY, 2007, 1–48. https://doi.org/10.1007/978-0-387-34675-5_1
    [50] Yahoo Finance, S & {P} 500 index (ĝspc) historical data, 2026. Available from: https://finance.yahoo.com/quote/^GSPC/history.
    [51] Y. Zou, L. Wu, D. Lord, Modeling over-dispersed crash data with a long tail: Examining the accuracy of the dispersion parameter in negative binomial models, Anal. Methods Accid. Res., 5–6 (2015), 1–16. https://doi.org/10.1016/j.amar.2014.12.002 doi: 10.1016/j.amar.2014.12.002
    [52] G. Bertola, Irreversible investment, Res. Econ., 52 (1998), 3–37. https://doi.org/10.1006/reec.1997.0153 doi: 10.1006/reec.1997.0153
    [53] M. K. Brunnermeier, Y. Sannikov, A macroeconomic model with a financial sector, Am. Econ. Rev., 104 (2014), 379–421. https://doi.org/10.1257/aer.104.2.379 doi: 10.1257/aer.104.2.379
  • Reader Comments
  • © 2026 the Author(s), licensee AIMS Press. This is an open access article distributed under the terms of the Creative Commons Attribution License (http://creativecommons.org/licenses/by/4.0)
通讯作者: 陈斌, bchen63@163.com
  • 1. 

    沈阳化工大学材料科学与工程学院 沈阳 110142

  1. 本站搜索
  2. 百度学术搜索
  3. 万方数据库搜索
  4. CNKI搜索

Metrics

Article views(426) PDF downloads(25) Cited by(0)

Article outline

Figures and Tables

Figures(12)  /  Tables(16)

/

DownLoad:  Full-Size Img  PowerPoint
Return
Return

Catalog