Research article

Research on digital diffusion of firms under the dual disturbance of carbon trading price volatility and yield uncertainty

  • Published: 11 February 2026
  • 05C82, 91A22, 91A10

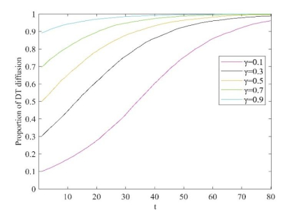
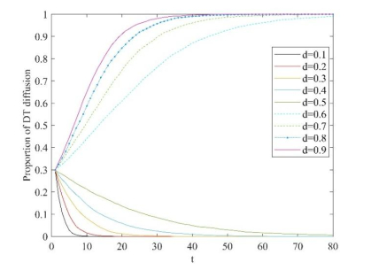
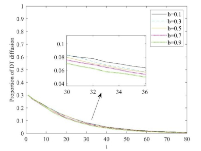
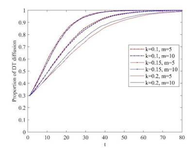
  • In this paper, we have explored the factors driving the diffusion of digital technology (DT) between firms in the context of carbon trading price volatility and yield uncertainty. First, we have constructed a game model containing traditional low-carbon firms and digital firms to explore the effects of carbon trading price volatility, yield uncertainty, and low-carbon competition on firms' optimal decision-making. Based on the model, a low-carbon DT diffusion model built on the Watts-Strogatz small-world network has further been constructed, and data on carbon trading prices and firm yield in reality were collected, using numerical simulation to explore the driving effect of each element on the diffusion of DT. It has been found: (ⅰ) The degree of firm rationality and the initial proportion of firms have a significant positive effect on the diffusion of DT, while the average node degree is rather negative for the diffusion of DT with a low degree of rationality. (ⅱ) Improved DT capabilities and carbon trading price volatility, and increased yield uncertainty, are all effective incentives for firm-to-firm technology diffusion, which can improve the rate of diffusion. (ⅲ) Growing low-carbon competition can have a hindering effect on the diffusion of DT, leading to lower diffusion rates. Based on this study, the influence of different factors on the diffusion of DT among firms has been revealed. Finally, some managerial insights derived from the findings can provide theoretical guidance for firms to achieve digital transformation in complex environments.

    Citation: Jinhan Yu, Licheng Sun, Xiaozhuang Jiang. Research on digital diffusion of firms under the dual disturbance of carbon trading price volatility and yield uncertainty[J]. Journal of Industrial and Management Optimization, 2026, 22(3): 1302-1324. doi: 10.3934/jimo.2026048

    Related Papers:

  • In this paper, we have explored the factors driving the diffusion of digital technology (DT) between firms in the context of carbon trading price volatility and yield uncertainty. First, we have constructed a game model containing traditional low-carbon firms and digital firms to explore the effects of carbon trading price volatility, yield uncertainty, and low-carbon competition on firms' optimal decision-making. Based on the model, a low-carbon DT diffusion model built on the Watts-Strogatz small-world network has further been constructed, and data on carbon trading prices and firm yield in reality were collected, using numerical simulation to explore the driving effect of each element on the diffusion of DT. It has been found: (ⅰ) The degree of firm rationality and the initial proportion of firms have a significant positive effect on the diffusion of DT, while the average node degree is rather negative for the diffusion of DT with a low degree of rationality. (ⅱ) Improved DT capabilities and carbon trading price volatility, and increased yield uncertainty, are all effective incentives for firm-to-firm technology diffusion, which can improve the rate of diffusion. (ⅲ) Growing low-carbon competition can have a hindering effect on the diffusion of DT, leading to lower diffusion rates. Based on this study, the influence of different factors on the diffusion of DT among firms has been revealed. Finally, some managerial insights derived from the findings can provide theoretical guidance for firms to achieve digital transformation in complex environments.



    加载中


    [1] Q. Wu, M. G. Wang, L. X. Tian, The market-linkage of the volatility spillover between traditional energy price and carbon price on the realization of carbon value of emission reduction behavior, J. Clean. Prod., 245 (2020), 118682. https://doi.org/10.1016/j.jclepro.2019.118682 doi: 10.1016/j.jclepro.2019.118682
    [2] M. J. Nazir, G. L. Li, M. M. Nazir, F. Zulfiqar, K. H. M. Siddique, B. Iqbal, et al., Harnessing soil carbon sequestration to address climate change challenges in agriculture, Soil Tillage Res., 237 (2024), 105959. https://doi.org/10.1016/j.still.2023.105959 doi: 10.1016/j.still.2023.105959
    [3] Y. Zhou, Q. J. Yang, S. Lu, Research on the identification and formation mechanism of the main path of digital technology diffusion: Empirical evidence from China, Technol. Soc., 75 (2023), 102398. https://doi.org/10.1016/j.techsoc.2023.102398 doi: 10.1016/j.techsoc.2023.102398
    [4] Y. Q. Zhang, L.Y. Chen, M. Battino, M. Farag, J. B. Xiao, J. S. Gandara, et al., Blockchain: An emerging novel technology to upgrade the current fresh fruit supply chain, Trends Food Sci. Technol., 124 (2022), 1–12. https://doi.org/10.1016/j.tifs.2022.03.030 doi: 10.1016/j.tifs.2022.03.030
    [5] R. J. Zhang, H. W. Tai, Z. X. Cao, C. C. Wei, K. T. Cheng, Green innovation ecosystem evolution: Diffusion of positive green innovation game strategies on complex networks, J. Innov. Knowl., 9 (2024), 100500. https://doi.org/10.1016/j.jik.2024.100500 doi: 10.1016/j.jik.2024.100500
    [6] X. M. Chen, Y. H. Huang, Y. J. Gao, Can urban low-carbon transitions promote enterprise digital transformation? Finance Res. Lett., 59, (2024), 104807. https://doi.org/10.1016/j.frl.2023.104807 doi: 10.1016/j.frl.2023.104807
    [7] Q. X. Wang, A. Hu, Z. H. Tian, Digital transformation and electricity consumption: Evidence from the Broadband China pilot policy, Energy Econ., 115 (2022), 106346. https://doi.org/10.1016/j.eneco.2022.106346 doi: 10.1016/j.eneco.2022.106346
    [8] Q. Huang, C. C. He, Y. S. Xu, T. Liu, J. Wu, Diffusion simulation of enterprise digital transformation in the Era of VUCA, Inf. Sci., 42 (2024), 96–108. https://doi.org/10.13833/j.issn.1007-7634.2024.08.010 doi: 10.13833/j.issn.1007-7634.2024.08.010
    [9] L. B. Guo, Q. Q. Zhang, J. Wu, E. D. R. Gonzalez, An evolutionary game model of manufacturers and consumers' behavior strategies for green technology and government subsidy in supply chain platform, Comput. Ind. Eng., 189 (2024), 109918. https://doi.org/10.1016/j.cie.2024.109918 doi: 10.1016/j.cie.2024.109918
    [10] G. B. Bi, M. Y. Jin, L. Y. Ling, F. Yang, Environmental subsidy and the choice of green technology in the presence of green consumers, Ann. Oper. Res., 255 (2016), 547–568. https://doi.org/10.1007/s10479-016-2106-7 doi: 10.1007/s10479-016-2106-7
    [11] L. Y. Pan, Z. Kui, W. Q. Li, F. Y. Yang, Z. Li, Subsidy policy discussion on the hydroelectric power substitution for scattered coal consumption: A case study of Sichuan Province, Renew. Sustain. Energy Rev., 108 (2019), 539–549. https://doi.org/10.1016/j.rser.2019.04.014 doi: 10.1016/j.rser.2019.04.014
    [12] Y. S. Chen, C. L. Tseng, Inducing clean technology in the electricity sector: Tradable permits or carbon tax policies? Energy J., 32 (2011), 3.
    [13] X. S. Fan, K. L. Chen, Y. J. Chen, Is price commitment a better solution to control carbon emissions and promote technology investment? Manag. Sci., 69 (2022), 1–721. https://doi.org/10.1287/mnsc.2022.4365 doi: 10.1287/mnsc.2022.4365
    [14] Homaio. Looking beyond the short-term turbulence: The promising long-term horizon of the EU ETS and carbon pricing, 2024. Available from: https://www.homaio.com/post/a-shortsided-eu-ets-market-why-have-eua-prices-been-falling-recently.
    [15] J. Chevallier, Y. L. Pen, B. Sévi, Options introduction and volatility in the EU ETS, Resour. Energy Econ., 33 (2011), 855–880. https://doi.org/10.1016/j.reseneeco.2011.07.002 doi: 10.1016/j.reseneeco.2011.07.002
    [16] T. L. Zhong, T. Y. Zhang, 'Peer effects' in capital structure decision of Chines, Nankai Bus. Rev., 20 (2017), 289–315. https://doi.org/10.1108/NBRI-08-2017-0042 doi: 10.1108/NBRI-08-2017-0042
    [17] K. S. R. Warner, M. Wäger, Building dynamic capabilities for digital transformation: an ongoing process of strategic renewal, Long Range. Plan., 52 (2019), 326–349. https://doi.org/10.1016/j.lrp.2018.12.001 doi: 10.1016/j.lrp.2018.12.001
    [18] R. G. Fan, Synergetic innovation in social governance in a complex network structural paradigm, Soc. Sci. China, 37 (2016), 99–117. https://doi.org/10.1080/02529203.2016.1162009 doi: 10.1080/02529203.2016.1162009
    [19] D. F. Drake, P. R. Kleindorfer, L. N. V. Wassenhove, Technology choice and capacity portfolios under emissions regulation, Prod. Oper. Manag., 25 (2015), 1006–1025. https://doi.org/10.1111/poms.12523 doi: 10.1111/poms.12523
    [20] Y. Y. He, X. Q. Tan, Z. T. Hong, F. J. Wang, L. C. Huang, Pricing decision in the power battery supply chain under BaaS business model considering carbon quota trading and government subsidies, Energy Sustain. Dev., 85 (2025), 101679. https://doi.org/10.1016/j.esd.2025.101679 doi: 10.1016/j.esd.2025.101679
    [21] Y. C. Tsao, H. T. T. Ai, Remanufacturing electric vehicle battery supply chain under government subsidies and carbon trading: Optimal pricing and return policy, Appl. Energy, 375 (2024), 124063. https://doi.org/10.1016/j.apenergy.2024.124063 doi: 10.1016/j.apenergy.2024.124063
    [22] J. H. Cai, F. Y. Jiang, Decision models of pricing and carbon emission reduction for low-carbon supply chain under cap-and-trade regulation, Int. J. Prod. Econ., 264 (2023), 108964. https://doi.org/10.1016/j.ijpe.2023.108964 doi: 10.1016/j.ijpe.2023.108964
    [23] S. Kushwaha, A. Ghosh, A. K. Rao, Collection activity channels selection in a reverse supply chain under a carbon cap-and-trade regulation, J. Clean. Prod., 260 (2020), 121034. https://doi.org/10.1016/j.jclepro.2020.121034 doi: 10.1016/j.jclepro.2020.121034
    [24] K. Y. Cao, Y. Y. Su, Y. Q. Xu, Q. Guo, Channel selection for retailers in platform economy under cap-and-trade policy considering different power structures, Electron. Commer. Res. Appl., 56 (2022), 101205. https://doi.org/10.1016/j.elerap.2022.101205 doi: 10.1016/j.elerap.2022.101205
    [25] P. Liu, X. Li, J. Li, Low carbon technology diffusion of competitive firms under cap and trade mechanism Evolutionary game analysis based on complex network, Syst. Eng. Theory Pract., 44 (2024), 684–699. https://doi.org/10.12011/SETP2022-3202 doi: 10.12011/SETP2022-3202
    [26] A. H. Chen, H. Q. Zhang, J. M. Yu, Y. X. Zhang, Can carbon cap-and-trade policy promote digital transformation of manufacturers? An evolutionary game analysis, Clean Technol. Environ. Policy., 11 (2025), 1–14. https://doi.org/10.1007/s10098-024-03107-3 doi: 10.1007/s10098-024-03107-3
    [27] J. F. Ding, W. D. Chen, S. S. Fu, Optimal policy for remanufacturing firms with carbon options under service requirements, J. Syst. Sci. Syst. Eng., 31 (2021), 34–63. https://doi.org/10.1007/s11518-021-5512-6 doi: 10.1007/s11518-021-5512-6
    [28] X. Y. Chang, H. Y. Xia, H. Y. Zhu, T. J. Fan, H. Q. Zhao, Production decisions in a hybrid manufacturing–remanufacturing system with carbon cap and trade mechanism, Int. J. Prod. Econ., 162 (2015), 160–173. https://doi.org/10.1016/j.ijpe.2015.01.020 doi: 10.1016/j.ijpe.2015.01.020
    [29] P. F. Zhao, Q. W. Deng, J. Zhou, W. W. Han, G. L. Gong, C. Jiang, Optimal production decisions for remanufacturing end-of-life products under quality uncertainty and a carbon cap-and-trade policy, Comput. Ind. Eng., 162 (2021), 107646. https://doi.org/10.1016/j.cie.2021.107646 doi: 10.1016/j.cie.2021.107646
    [30] G. Zhu, Y. Gao, H. R. Liu, Optimal scheduling of an integrated energy system considering carbon trading mechanism and multi-energy supply uncertainties in a real-time price environment, Sustain. Energy Grids Netw., 38 (2024), 101351. https://doi.org/10.1016/j.segan.2024.101351 doi: 10.1016/j.segan.2024.101351
    [31] Y. Gao, S. J. Lu, H. Cheng, X. B. Liu, Data-driven robust optimization of dual-channel closed-loop supply chain network design considering uncertain demand and carbon cap-and-trade policy, Comput. Ind. Eng., 187 (2023), 109811. https://doi.org/10.1016/j.cie.2023.109811 doi: 10.1016/j.cie.2023.109811
    [32] K. Govindan, M. Fattahi, E. Keyvanshokooh, Supply chain network design under uncertainty: a comprehensive review and future research directions, Eur. J. Oper. Res., 263 (2017), 108–141. https://doi.org/10.1016/j.ejor.2017.04.009 doi: 10.1016/j.ejor.2017.04.009
    [33] F. Lu, H. Xu, P. Y. Chen, S. X. Zhu, Joint pricing and production decisions with yield uncertainty and downconversion, Int. J. Prod. Econ., 197 (2018), 52–62. https://doi.org/10.1016/j.ijpe.2017.12.020 doi: 10.1016/j.ijpe.2017.12.020
    [34] T. J. Zou, Q. M. Zou, L. Q. Hu, Joint decision of financing and ordering in an emission-dependent supply chain with yield uncertainty, Comput. Ind. Eng., 152 (2021), 106994. https://doi.org/10.1016/j.cie.2020.106994 doi: 10.1016/j.cie.2020.106994
    [35] P. Y. Huang Y. S. Huang, Financing and operational strategies for supply chains with yield uncertainty and capital constraints, Comput. Ind. Eng., 195 (2024), 110417. https://doi.org/10.1016/j.cie.2024.110417. doi: 10.1016/j.cie.2024.110417
    [36] H. J. Peng, T. Pang, J. Cong, Coordination contracts for a supply chain with yield uncertainty and low-carbon preference, J. Clean. Prod., 205 (2018), 291–302. https://doi.org/10.1016/j.jclepro.2018.09.038 doi: 10.1016/j.jclepro.2018.09.038
    [37] Z. Maqbool, M. S. Farooq, A. Rafiq, M. Uzair, Q. Hussain, Utilisation of climate-smart conservation agriculture practices for improved soil carbon sequestration, greenhouse gas mitigation and sustainable crop productivity, Soil Use Manag., 41 (2025), 22. https://doi.org/10.1111/sum.70103 doi: 10.1111/sum.70103
    [38] M. Zare, M. Esmaeili, Y. J. He, Implications of risk-sharing strategies on supply chains with multiple retailers and under random yield, Int. J. Prod. Econ., 216 (2019), 413–424. https://doi.org/10.1016/j.ijpe.2019.07.003 doi: 10.1016/j.ijpe.2019.07.003
    [39] B. Z. Niu, J. X. Bao, B. Cao, Retailer's make-or-buy decision for remanufactured products under in-house yield uncertainty, Omega, 110 (2022), 102627. https://doi.org/10.1016/j.omega.2022.102627 doi: 10.1016/j.omega.2022.102627
    [40] M. G. Güler, M. E. Keski·n, On coordination under random yield and random demand, Expert Syst. Appl., 40 (2013), 3688–3695. https://doi.org/10.1016/j.eswa.2012.12.073 doi: 10.1016/j.eswa.2012.12.073
    [41] B. C. Giri, S. Bardhan, Sub-supply chain coordination in a three-layer chain under demand uncertainty and random yield in production, Int. J. Prod. Econ., 191 (2017), 66–73. https://doi.org/10.1016/j.ijpe.2017.04.012 doi: 10.1016/j.ijpe.2017.04.012
    [42] J. H. Cai, X. Q. Hu, F. Y. Jiang, Q. Zhou, X. Y. Zhang, L. Y. Xuan, Optimal input quantity decisions considering commitment order contracts under yield uncertainty, Int. J. Prod. Econ., 216 (2019), 398–412. https://doi.org/10.1016/j.ijpe.2019.06.021 doi: 10.1016/j.ijpe.2019.06.021
    [43] Z. M. Chen, F. L. Liu, Multi-outsourcing supply chain coordination under yield and demand uncertainties, Expert Syst. Appl., 181 (2021), 115177. https://doi.org/10.1016/j.eswa.2021.115177 doi: 10.1016/j.eswa.2021.115177
    [44] B. L. Zhu, B. Wen, S. F. Ji, R. Z. Qiu, Coordinating a dual-channel supply chain with conditional value-at-risk under uncertainties of yield and demand, Comput. Ind. Eng., 139 (2020), 106181. https://doi.org/10.1016/j.cie.2019.106181 doi: 10.1016/j.cie.2019.106181
    [45] F. Hu, C. C. Lim, Z. D. Lu, Coordination of supply chains with a flexible ordering policy under yield and demand uncertainty, Int. J. Prod. Econ., 146 (2013), 686–693. https://doi.org/10.1016/j.ijpe.2013.08.024 doi: 10.1016/j.ijpe.2013.08.024
    [46] Z. B. Lin, H. N. Xu, Mitigating yield uncertainty from the perspectives of contract manufacturing and technology licensing, Comput. Ind. Eng., 196 (2024), 110515. https://doi.org/10.1016/j.cie.2024.110515 doi: 10.1016/j.cie.2024.110515
    [47] N. Chen, J. F. Cai, K. Govindan, Decision analysis of supply chain considering yield uncertainty and CSR under different market power structures, J. Clean. Prod., 434 (2024), 139006. https://doi.org/10.1016/j.jclepro.2023.139006 doi: 10.1016/j.jclepro.2023.139006
    [48] J. W. Peng, W. Y. Zhuo, J. R. Wang, Production and procurement plans via option contract with random yield and demand information updating, Comput. Ind. Eng., 170 (2022), 108338. https://doi.org/10.1016/j.cie.2022.108338 doi: 10.1016/j.cie.2022.108338
    [49] W. T. Pan, K. C. So, G. Xiao, Benefits of backup sourcing for components in assembly systems under supply uncertainty, Eur. J. Oper. Res., 302 (2022), 158–171. https://doi.org/10.1016/j.ejor.2021.12.014 doi: 10.1016/j.ejor.2021.12.014
    [50] J. Paknejad, F. Nasri, J. F. Affisco, Yield improvement and yield variability reduction in an EOQ model with planned shortages and random yield, Comput. Ind. Eng., 88 (2015), 386–394. https://doi.org/10.1016/j.cie.2015.07.012 doi: 10.1016/j.cie.2015.07.012
    [51] T. T. Cao, Y. Yang, H. Zhu, M. Y. Yu, The big data newsvendor problem under demand and yield uncertainties, Int. J. Prod. Econ., 279 (2024), 109409. https://doi.org/10.1016/j.ijpe.2024.109409 doi: 10.1016/j.ijpe.2024.109409
    [52] J. L. Xiao, Z. S. Xu, A. R. Xiao, X. X. Wang, M. Skare, Overcoming barriers and seizing opportunities in the innovative adoption of next-generation digital technologies, J. Innov. Knowl., 9 (2024), 100622. https://doi.org/10.1016/j.jik.2024.100622 doi: 10.1016/j.jik.2024.100622
    [53] F. Faiz, V. Le, E. K. Masli, Determinants of digital technology adoption in innovative SMEs, J. Innov. Knowl., 9 (2024), 100610. https://doi.org/10.1016/j.jik.2024.100610 doi: 10.1016/j.jik.2024.100610
    [54] L. Shao, J. Gong, W. Fan, Z. Zhang, M. Zhang, Cost Comparison between digital management and traditional management of cotton fields evidence from cotton fields in Xinjiang, China, Agriculture, 12 (2022), 1105. https://doi.org/10.3390/agriculture12081105 doi: 10.3390/agriculture12081105
    [55] E. Martínez-Caro, J. G. Cegarra-Navarro, F. J. Alfonso-Ruiz, Digital technologies and firm performance: the role of digital organisational culture, Technol. Forecast. Soc. 154 (2020), 119962. https://doi.org/10.1016/j.techfore.2020.119962 doi: 10.1016/j.techfore.2020.119962
    [56] M. Chen, H. Q. Wang, Y. K. Liang, G. Zhang, Net and configurational effects of determinants on cloud computing adoption by SMEs under cloud promotion policy using PLS-SEM and fsQCA, J. Innov. Knowl., 8 (2023), 100388. https://doi.org/10.1016/j.jik.2023.100388 doi: 10.1016/j.jik.2023.100388
    [57] A. Malhotra, H. T. Zhang, M. Beuse, T. Schmidt, How do new use environments influence a technology's knowledge trajectory? A patent citation network analysis of lithium-ion battery technology, Res. Policy, 50 (2021), 104318. https://doi.org/10.1016/j.respol.2021.104318 doi: 10.1016/j.respol.2021.104318
    [58] E. Beretta, M. Fontana, M. Guerzoni, A. Jordan, Cultural dissimilarity: Boon or bane for technology diffusion? Technol. Forecast. Soc. Change, 133 (2018), 95–103. https://doi.org/10.1016/j.techfore.2018.03.008 doi: 10.1016/j.techfore.2018.03.008
    [59] S. H. Vega, A. Mandel, Technology diffusion and climate policy: A network approach and its application to wind energy, Ecol. Econ., 145 (2018), 461–471. https://doi.org/10.1016/j.ecolecon.2017.11.023 doi: 10.1016/j.ecolecon.2017.11.023
    [60] C. C. Guo, R. Q. Li, B. Yuan, Mathematical models of digital transformation asymmetric information game in energy enterprises, Alexandria Eng. J., 113 (2025), 584–592. https://doi.org/10.1016/j.aej.2024.11.047 doi: 10.1016/j.aej.2024.11.047
    [61] O. Woods, T. Bunnell, L. Kong, Insourcing the smart city: assembling an ideo-technical ecosystem of talent, skills, and civic-mindedness in Singapore, Urban Geogr., 45 (2023), 1–20. https://doi.org/10.1080/02723638.2023.2233353 doi: 10.1080/02723638.2023.2233353
    [62] I. A. Ibrahim, J. Truby, FarmTech: Regulating the use of digital technologies in the agricultural sector, Food Energy Secur., 12 (2023), e483. https://doi.org/10.1002/fes3.483. doi: 10.1002/fes3.483
    [63] K. Vu, I. K. Rohman, E. Bohlin, Promoting the adoption of digital technology: Strategic policy insights from a network effects model, Telecommun. Policy, 26 (2024), 102852. https://doi.org/10.1016/j.telpol.2024.102852 doi: 10.1016/j.telpol.2024.102852
    [64] W. P. Chen, J. Q. Wang, S. Wang, Economic uncertainty, digital transformation, and firm supply chain disruption risk, Econ. Lett., 255 (2025), 112516. https://doi.org/10.1016/j.econlet.2025.112516 doi: 10.1016/j.econlet.2025.112516
    [65] L. L. Wang, Y. Zhan, Does cross-policy mix work on digital innovation: Analyzing by the impact of open government data and low-carbon city pilot policies in China, J. Clean. Prod., 491 (2025), 144842. https://doi.org/10.1016/j.jclepro.2025.144842 doi: 10.1016/j.jclepro.2025.144842
    [66] S. Chatterjee, M. Mariani, Exploring the Influence of exploitative and explorative digital transformation on organization flexibility and competitiveness, IEEE Trans. Eng. Manag., 71 (2023), 1–11. https://doi.org/10.1109/tem.2022.3220946 doi: 10.1109/tem.2022.3220946
    [67] J. P. Wang, T. Zhang, Oil price uncertainty and corporate digital transformation: evidence from China, Energy Econ., 151 (2025), 108961. https://doi.org/10.1016/j.eneco.2025.108961 doi: 10.1016/j.eneco.2025.108961
    [68] L. W. Fan, Y. Sun, T. J. Wu, Is climate policy uncertainty an angel or a devil? Empirical evidence from corporate digital transformation, Int. Rev. Financ. Anal., 103 (2025), 104135. https://doi.org/10.1016/j.irfa.2025.104135 doi: 10.1016/j.irfa.2025.104135
    [69] Q. H. Sun, W. J. Wang, Peer effects and learning mechanisms of digital innovation: Evidence from manufacturing industry in China, SSRN Electron. J., 2025. https://doi.org/10.1016/j.jengtecman.2025.101938 doi: 10.1016/j.jengtecman.2025.101938
    [70] X. Y. Chen, W. W. Yang, R. J. Zhang, Research on the diffusion of green innovation behavior based on complex network evolutionary game, Manag. Decis. Econ., 45 (2023), 1215–1229. https://doi.org/10.1002/mde.4060 doi: 10.1002/mde.4060
    [71] R. G. Fan, X. G. Bao, K. Du, Y. Y. Wang, Y. T. Wang, The effect of government policies and consumer green preferences on the R&D diffusion of new energy vehicles: A perspective of complex network games, Energy, 254 (2022), 124316. https://doi.org/10.1016/j.energy.2022.124316 doi: 10.1016/j.energy.2022.124316
    [72] D. Buccella, L. Fanti, L. Gori, To abate, or not to abate? A strategic approach on green production in cournot and bertrand duopolies, Energy Econ., 96 (2021), 105164. https://doi.org/10.1016/j.eneco.2021.105164 doi: 10.1016/j.eneco.2021.105164
    [73] L. Wang, J. J. Zheng, Research on low-carbon diffusion considering the game among enterprises in the complex network context, J. Clean. Prod., 210 (2019), 1–11. https://doi.org/10.1016/j.jclepro.2018.10.297 doi: 10.1016/j.jclepro.2018.10.297
    [74] M. Faccio, M. T. Marchica, R. Mura, CEO gender, corporate risk-taking, and the efficiency of capital allocation, J. Corp. Financ., 39 (2016), 193–209. https://doi.org/10.1016/j.jcorpfin.2016.02.008 doi: 10.1016/j.jcorpfin.2016.02.008
    [75] Z. X. Zhao, L. C. Sun, How does climate policy uncertainty affect the uncertainty of stock returns of industrial enterprises in typical policy markets? Evidence from China, Fin. Res. Lett., 2025, 108669. https://doi.org/10.1016/j.frl.2025.108669 doi: 10.1016/j.frl.2025.108669
  • jimo-22-03-048-s001.pdf
  • Reader Comments
  • © 2026 the Author(s), licensee AIMS Press. This is an open access article distributed under the terms of the Creative Commons Attribution License (http://creativecommons.org/licenses/by/4.0)
通讯作者: 陈斌, bchen63@163.com
  • 1. 

    沈阳化工大学材料科学与工程学院 沈阳 110142

  1. 本站搜索
  2. 百度学术搜索
  3. 万方数据库搜索
  4. CNKI搜索

Metrics

Article views(779) PDF downloads(22) Cited by(0)

Article outline

Figures and Tables

Figures(6)  /  Tables(5)

Other Articles By Authors

/

DownLoad:  Full-Size Img  PowerPoint
Return
Return

Catalog