Research article Special Issues

Variability of in situ test results from a coastal silt deposit in Finland

  • Published: 11 February 2026
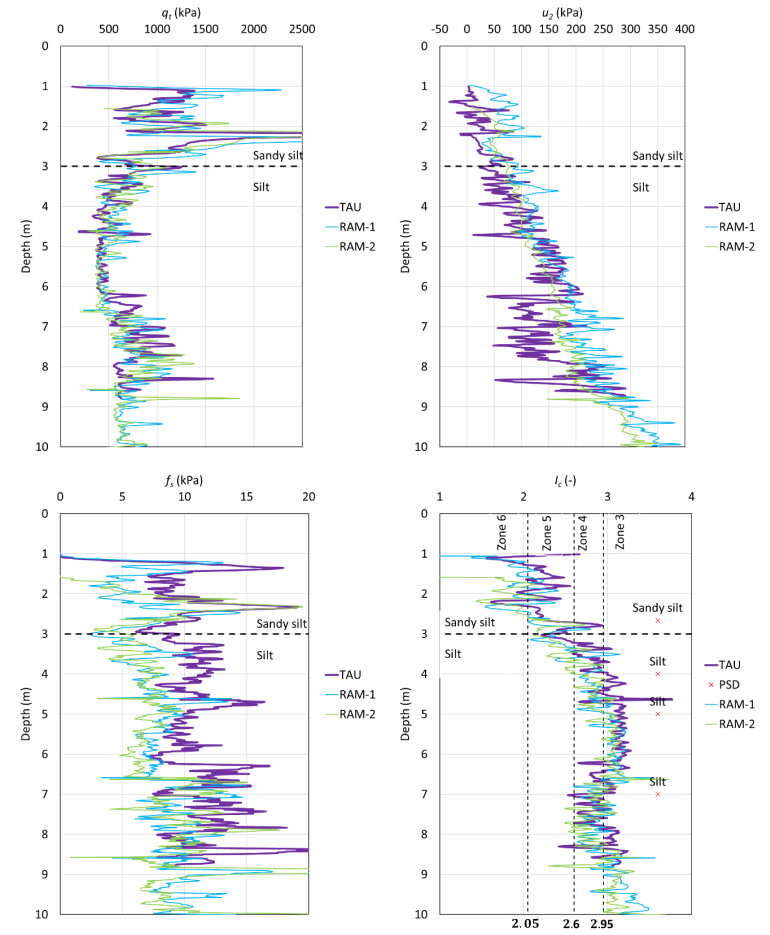
  • The geotechnical characterisation of silty soils remains a challenge due to their transitional behaviour and high variability. In Finland, silts are widespread but poorly represented in existing correlations, which are largely based on clays or sands. Current practice often relies on Weight Sounding (Painokairaus, PK) and Combined Static–Dynamic Penetration Testing (Puristinheijari, PH), supported by empirical guidelines developed several decades ago. While these methods are cost-effective, their reliability in silts is uncertain and often conservative. In this study, we reported results from a benchmarking campaign at the Haistila test site in south-west Finland, where PK, PH, and piezocone penetration tests (CPTU) were performed independently by Tampere University and Ramboll Finland Oy. The objective was to quantify variability between methods and operators, and to assess implications for geotechnical design. Results showed that CPTU provided the most repeatable measurements, with cone tip resistance showing the lowest relative error and coefficient of variation. In contrast, PH results displayed greater variability, particularly in torque, and resulted in possibly conservative design parameters according to national guidelines. The findings confirmed that PK and PH are useful for stratigraphic profiling but not for parameter derivation in silts. CPTU, if calibrated with laboratory data, offers a more robust alternative and highlights the need for updated, silt-specific correlations in Finland.

    Citation: Marco D'Ignazio, Mohammad Sadegh Farhadi, Tim Länsivaara. Variability of in situ test results from a coastal silt deposit in Finland[J]. AIMS Geosciences, 2026, 12(1): 206-228. doi: 10.3934/geosci.2026008

    Related Papers:

  • The geotechnical characterisation of silty soils remains a challenge due to their transitional behaviour and high variability. In Finland, silts are widespread but poorly represented in existing correlations, which are largely based on clays or sands. Current practice often relies on Weight Sounding (Painokairaus, PK) and Combined Static–Dynamic Penetration Testing (Puristinheijari, PH), supported by empirical guidelines developed several decades ago. While these methods are cost-effective, their reliability in silts is uncertain and often conservative. In this study, we reported results from a benchmarking campaign at the Haistila test site in south-west Finland, where PK, PH, and piezocone penetration tests (CPTU) were performed independently by Tampere University and Ramboll Finland Oy. The objective was to quantify variability between methods and operators, and to assess implications for geotechnical design. Results showed that CPTU provided the most repeatable measurements, with cone tip resistance showing the lowest relative error and coefficient of variation. In contrast, PH results displayed greater variability, particularly in torque, and resulted in possibly conservative design parameters according to national guidelines. The findings confirmed that PK and PH are useful for stratigraphic profiling but not for parameter derivation in silts. CPTU, if calibrated with laboratory data, offers a more robust alternative and highlights the need for updated, silt-specific correlations in Finland.



    加载中


    [1] Schnaid F, Lehane BM, Fahey M (2004) In situ test characterisation on geomaterials, Proc 2nd Int Conf on Site Characterization, 49–74.
    [2] Schnaid F, Odebrecht E, Sosnoski J, et al. (2016) Effects of test procedure on flat dilatometer test (DMT) results in intermediate soils. Can Geotech J 53: 1270–1280. https://doi.org/10.1139/cgj-2015-0463 doi: 10.1139/cgj-2015-0463
    [3] Bradshaw AS, Morales-Velez AC, Baxter CDP (2012) Evaluation of existing CPT correlations in silt. Geotech Eng J SEAGS & AGSSEA 43: 1–10. https://doi.org/10.14456/seagj.2012.1 doi: 10.14456/seagj.2012.1
    [4] Tonni L, Gottardi G (2010) Interpretation of Piezocone Tests in Venetian Silty Soils and the Issue of Partial Drainage. Deep Foundations and Geotechnical in Situ Testing, Reston, VA, American Society of Civil Engineers, 367–374.
    [5] Monaco P, Tonni L, Amoroso S, et al. (2021) Use of Medusa DMT in alluvial silty sediments of the Po river valley. 6th International Conference on Geotechnical and Geophysical Site Characterization, ISSMGE.
    [6] Schnaid F, Belloli MVA, Odebrecht E, et al. (2018) Interpretation of the DMT in Silts. Geotech Test J 41: 868–876. https://doi.org/10.1520/GTJ20170374 doi: 10.1520/GTJ20170374
    [7] Di Buò B, D'Ignazio M, Selänpää J, et al. (2019) Investigation and geotechnical characterization of Perniö clay, Finland. AIMS Geosci 5: 591–616. https://doi.org/10.3934/geosci.2019.3.591 doi: 10.3934/geosci.2019.3.591
    [8] D'Ignazio M, Phoon KK, Tan SA, et al. (2017) Reply to the discussion by Mesri and Wang on "correlations for undrained shear strength of Finnish soft clays". Can Geotech J 54. https://doi.org/10.1139/cgj-2017-0114 doi: 10.1139/cgj-2017-0114
    [9] Di Buò B, Selänpää J, Länsivaara TT, et al. (2020) Reply to the discussion by Koutsoftas on "evaluation of sample quality from different sampling methods in Finnish soft sensitive clays"1. Can Geotech J 57. https://doi.org/10.1139/cgj-2019-0754 doi: 10.1139/cgj-2019-0754
    [10] D'Ignazio M, Länsivaara T (2024) Undrained shear strength of Finnish soft clays: A database perspective, Databases for Data-Centric Geotechnics, CRC Press, 135–151.
    [11] D'Ignazio M, Länsivaara TT, Jostad HP (2017) Failure in anisotropic sensitive clays: Finite element study of Perniö failure test. Can Geotech J 54. https://doi.org/10.1139/cgj-2015-0313 doi: 10.1139/cgj-2015-0313
    [12] D'Ignazio M, Länsivaara T (2015) Shear bands in soft clays: strain-softening behavior in finite element method. Rakenteiden Mekaniikka 48: 83–98.
    [13] D'Ignazio M, Phoon KK, Tan SA, et al. (2016) Correlations for undrained shear strength of Finnish soft clays. Can Geotech J 53: 1628–1645. https://doi.org/10.1139/cgj-2016-0037 doi: 10.1139/cgj-2016-0037
    [14] D'Ignazio M (2016) Undrained shear strength of Finnish clays for stability analyses of embankments. Tampere University of Technology.
    [15] Länsivaara T, Di Buò B, Selänpää J, et al. (2022) Fincone: A study on the use of CPT in soft sensitive clays, Cone Penetration Testing 2022, CRC Press, 497–502. https://doi.org/10.1201/9781003329091
    [16] Di Buò B, Selänpää J, Länsivaara TT, et al. (2019) Evaluation of sample quality from different sampling methods in Finnish soft sensitive clays. Can Geotech J 56. https://doi.org/10.1139/cgj-2018-0066 doi: 10.1139/cgj-2018-0066
    [17] Di Buò B, D'Ignazio M, Selänpää J, et al. (2020) Yield stress evaluation of Finnish clays based on analytical piezocone penetration test (CPTU) models. Can Geotech J 57. https://doi.org/10.1139/cgj-2019-0427 doi: 10.1139/cgj-2019-0427
    [18] D'Ignazio M, Phoon KK, Länsivaara T, et al. (2018) Uncertainties in Modeling Undrained Shear Strength of Sensitive Clays Using Finite-Element Method. ASCE ASME J Risk Uncertain Eng Syst A Civ Eng 4. https://doi.org/10.1061/AJRUA6.0000959 doi: 10.1061/AJRUA6.0000959
    [19] Selänpää J (2021) Derivation of CPTu cone factors for undrained shear strength and OCR in Finnish clays. PhD Thesis.
    [20] Long M, D'Ignazio M (2021) Shear wave velocity as a tool for characterising undrained shear strength of Nordic clays, 18th Nordic Geotechnical Meeting—IOP Conference Series: Earth and Environmental Science, IOP Publishing Ltd. https://doi.org/10.1088/1755-1315/710/1/012008
    [21] D'Ignazio M, Phoon KK, Länsivaara TT (2021) Uncertainties in modelling undrained shear strength of clays using Critical State Soil Mechanics and SHANSEP, 18th Nordic Geotechnical Meeting—IOP Conference Series: Earth and Environmental Science, IOP Publishing Ltd. https://doi.org/10.1088/1755-1315/710/1/012075
    [22] Selänpää J, Di Buò B, Haikola M, et al. (2018) Evaluation of existing CPTu-based correlations for the undrained shear strength of soft Finnish clays, Cone Penetration Testing 2018, CRC Press, 571–577.
    [23] Di Buo B (2020) Evaluation of the Preconsolidation Stress and Deformation Characteristics of Finnish Clays based on Piezocone Testing. Tampere University.
    [24] Di Buò B, Selänpää J, Länsivaara T, et al. (2018) Evaluation of existing CPTu-based correlations for the deformation properties of Finnish soft clays, Cone Penetration Testing 2018, CRC Press, 185–191.
    [25] Di Buò B, D'ignazio M, Länsivaara T, et al. (2022) Issues related to piezocone sleeve friction measurement accuracy in soft sensitive clays, Cone Penetration Testing 2022, CRC Press, 133–138. https://doi.org/10.1201/9781003308829
    [26] D'Ignazio M, Lehtonen V (2021) Using SHANSEP for verification of unreliable piezocone data in clays, 18th Nordic Geotechnical Meeting—IOP Conference Series: Earth and Environmental Science, IOP Publishing Ltd. https://doi.org/10.1088/1755-1315/710/1/012011
    [27] D'Ignazio M, Länsivaara T (2016) Strength increase below an old test embankment in Finland, 17th Nordic Geotechnical Meeting (NGM) 2016, Reykjavik, Iceland, Icelandic Geotechnical Society, 357–366.
    [28] D'Ignazio M, Di Buò B, Länsivaara T (2015) A study on the behaviour of the weathered crust in the Perniö failure test, XVI European Conference on Soil Mechanics and Geotechnical Engineering, Edinburgh, Scotland.
    [29] Di Buò B, D'Ignazio M, Selänpää J, et al. (2016) Preliminary results from a study aiming to improve ground investigation data, 17th Nordic Geotechnical Meeting (NGM) 2016, Reykjavik, Iceland, Icelandic Geotechnical Society, 187–197.
    [30] Liikennevirasto (2018) Penkereiden stabiliteetin laskentaohje—Liikenneviraston ohjeita 14/2018, Helsinki. Available from: https://www.doria.fi/bitstream/handle/10024/165045/lo_2018-14_penkereiden_stabiliteetin_web.pdf?sequence = 1 & isAllowed = y.
    [31] Pöyry E, Farhadi MS, Haikola M, et al. (2024) Soil plugging in small diameter tube samplers in silty soils, Geotechnical Engineering Challenges to Meet Current and Emerging Needs of Society, CRC Press, 745–749. https://doi.org/10.1201/9781003431749
    [32] Amoroso S, Farhadi M, D'Ignazio M, et al. (2025) Comparing seismic piezocone and seismic dilatometer test results for the characterization of a coastal silt deposit from Finland. AIMS Geosci 11: 846–866. https://doi.org/10.3934/geosci.2025036 doi: 10.3934/geosci.2025036
    [33] Farhadi M, Pöyry E, Länsivaara T (2025) Permeability of coarse silts using dissipation tests in cone penetration test: Case study, Finninmäki testing site. AIMS Geosci 11: 885–906. https://doi.org/10.3934/geosci.2025038 doi: 10.3934/geosci.2025038
    [34] Väylävirasto (2023) Eurokoodin soveltamisohje—Geotekniinen suunnittelu NCCI 7 (Title in English: Eurocode Application Guide—Geotechnical Design NCCI 7)—Publication 14/2023. In Finnish.
    [35] Suomen Geoteknillinen Yhdistys (Finnish Geotechnical Society) (1981) Kairausopas 1 (painokairaus, taerykairaus, heijarikairaus). Available from: https://sgy.fi/content/uploads/2017/04/kairausopas-1-painokairaus-taerykairaus-heijarikairaus.pdf.
    [36] Suomen Geoteknillinen Yhdistys (Finnish Geotechnical Society) (2001) Kairausopas 6 (CPTU/Puristinkairaus—Puristinheijarikairaus). Available from: https://sgy.fi/content/uploads/2017/04/kairausopas-6-cptu-puristinkairaus-puristin-heijarikairaus.pdf.
    [37] Jääskeläinen R (2011) Geotekniikan perusteet (Title in English: Fundamentals of Geotechnics), Tammertekniikka. In Finnish. Available from: https://amkkustannus.fi/sivu/tuote/geotekniikan-perusteet/95356.
    [38] Lunne T, Powell JJM, Robertson PK (2002) Cone Penetration Testing in Geotechnical Practice, CRC Press.
    [39] Holmsgaard R, Nielsen BN, Ibsen LB (2016) Interpretation of Cone Penetration Testing in Silty Soils Conducted under Partially Drained Conditions. J Geotech Geoenviron Eng 142. https://doi.org/10.1061/(ASCE)GT.1943-5606.0001386 doi: 10.1061/(ASCE)GT.1943-5606.0001386
    [40] Carotenuto P, Bilici C, Lunne T, et al. (2023) Study of partial drainage effects in a natural silty deposit using variable rate CPTU testing, 9th International SUT Offshore Site Investigation Geotechnics Conference, Society of Underwater Technology, London, England, UK, 305–312. https://doi.org/10.3723/QOWC6834
    [41] Löfman M, Knuuti M, Tuisku J (2024) Kitkamaalajien lujuus- ja painumaominaisuudet (Title in English: Strength and compressibility of frictional soils). In Finnish. Available from: https://sgy.fi/content/uploads/2024/12/2024-vaylavirasto-kitkamaalajien-lujuus-ja-painumaominaisuudet.pdf.
    [42] D'Ignazio M, Lunne T, H. Andersen Knut, et al. (2019) Estimation of preconsolidation stress of clays from piezocone by means of high-quality calibration data. AIMS Geosci 5: 104–116. https://doi.org/10.3934/geosci.2019.2.104 doi: 10.3934/geosci.2019.2.104
    [43] D'Ignazio M, Di Buò B, Länsivaara T, et al. (2022) Piezocone testing in Nordic soft clays: Comparison of high-quality databases, Cone Penetration Testing 2022, CRC Press, 356–362. https://doi.org/10.1201/9781003308829
    [44] Alhonen P, Huurre M (1991) Satakunnan historia I, 1: Satakunnan luonnon geologinen historia: Satakunnan kivikausi.
    [45] Robertson PK (2016) Cone penetration test (CPT)-based soil behaviour type (SBT) classification system—An update. Can Geotech J 53: 1910–1927. https://doi.org/10.1139/cgj-2016-0044 doi: 10.1139/cgj-2016-0044
    [46] Henderson E (1994) Evaluation of the time response of pore pressure measurements.
    [47] Andersen KH, Asce M, Schjetne K (2013) Database of Friction Angles of Sand and Consolidation Characteristics of Sand, Silt, and Clay. J Geotech Geoenviron Eng 139. https://doi.org/10.1061/(ASCE)GT.1943-5606.0000839 doi: 10.1061/(ASCE)GT.1943-5606.0000839
    [48] Mayne PW (2007) NCHRP Synthesis 368: Cone penetration testing. Transportation Research Board, Washington, DC 118.
    [49] Ouyang Z, Mayne PW (2019) Modified NTH Method for Assessing Effective Friction Angle of Normally Consolidated and Overconsolidated Clays from Piezocone Tests. J Geotech Geoenviron Eng 145. https://doi.org/10.1061/(ASCE)GT.1943-5606.0002112 doi: 10.1061/(ASCE)GT.1943-5606.0002112
  • Reader Comments
  • © 2026 the Author(s), licensee AIMS Press. This is an open access article distributed under the terms of the Creative Commons Attribution License (http://creativecommons.org/licenses/by/4.0)
通讯作者: 陈斌, bchen63@163.com
  • 1. 

    沈阳化工大学材料科学与工程学院 沈阳 110142

  1. 本站搜索
  2. 百度学术搜索
  3. 万方数据库搜索
  4. CNKI搜索

Metrics

Article views(803) PDF downloads(52) Cited by(0)

Article outline

Figures and Tables

Figures(14)  /  Tables(1)

/

DownLoad:  Full-Size Img  PowerPoint
Return
Return

Catalog