Research article Special Issues

Characterisation of the Kilmuckridge geotechnical test site

  • Published: 20 January 2026
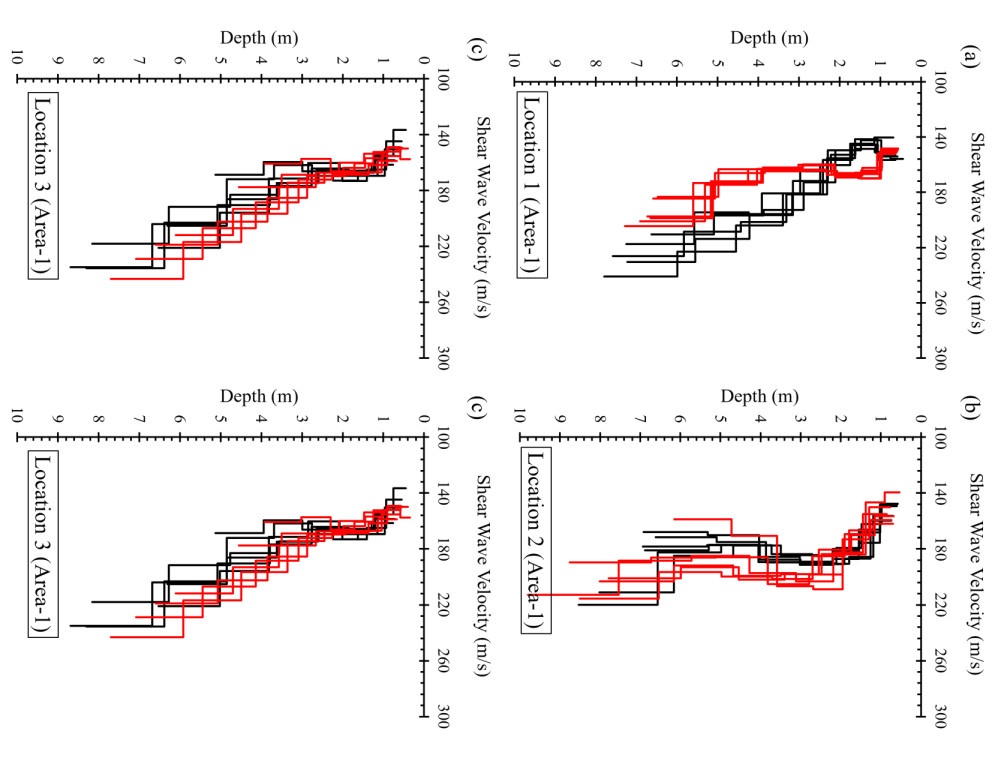
  • The paper describes the characterisation of a test site in an active sand quarry located near Kilmuckridge, County Wexford, Ireland. Two test areas have been selected in this 47-acre sand and gravel quarry, approximately 150 m apart. Test Area A covers an area of approximately 3100 m2, and Area B is approximately 1500 m2. Both test areas are over-consolidated with dense to very dense deposits; Area A has slightly gravelly sand to silty sand layers, and Area B is primarily sandy silt. A series of pile lateral and axial load tests are planned at the two sites. In Area A, CPT cone tip resistance qc values up to 60 MPa were recorded in the top 2 m, with the values dropping to approximately 20 MPa in deeper layers below 2 m. The paper presents the results from in situ cone penetration tests, geotechnical laboratory characterisation tests on disturbed samples, and chemical characterisation analyses. Shear box tests and drained monotonic triaxial tests were performed on reconstituted sand samples to investigate the shear strength.

    Citation: Sathwik S Kasyap, Kevin N Flynn, MB Mohammed, J Labergere, David Igoe. Characterisation of the Kilmuckridge geotechnical test site[J]. AIMS Geosciences, 2026, 12(1): 96-126. doi: 10.3934/geosci.2026004

    Related Papers:

  • The paper describes the characterisation of a test site in an active sand quarry located near Kilmuckridge, County Wexford, Ireland. Two test areas have been selected in this 47-acre sand and gravel quarry, approximately 150 m apart. Test Area A covers an area of approximately 3100 m2, and Area B is approximately 1500 m2. Both test areas are over-consolidated with dense to very dense deposits; Area A has slightly gravelly sand to silty sand layers, and Area B is primarily sandy silt. A series of pile lateral and axial load tests are planned at the two sites. In Area A, CPT cone tip resistance qc values up to 60 MPa were recorded in the top 2 m, with the values dropping to approximately 20 MPa in deeper layers below 2 m. The paper presents the results from in situ cone penetration tests, geotechnical laboratory characterisation tests on disturbed samples, and chemical characterisation analyses. Shear box tests and drained monotonic triaxial tests were performed on reconstituted sand samples to investigate the shear strength.



    加载中


    [1] Byrne BW, McAdam RA, Burd HJ, et al. (2017) PISA: New design methods for offshore wind turbine monopiles. Proceedings of the 8th International Conference on Offshore Site Investigation and Geotechnics, Royal Geographical Society, London, UK, 142–161. https://doi.org/10.3723/OSIG17.142
    [2] Zdravkovic L, Jardine RJ, Taborda DMG, et al. (2020) Ground Characterisation for PISA pile testing and analysis. Geotechnique 70: 945–960. https://doi.org/10.1680/jgeot.18.PISA.001 doi: 10.1680/jgeot.18.PISA.001
    [3] Kallehave D, Byrne BW, LeBlanc-Thornton C, et al. (2012) Optimization of monopiles for offshore wind turbines. Philos Trans A Math Phys Eng Sci 373: 20140100. https://doi.org/10.1098/rsta.2014.0100 doi: 10.1098/rsta.2014.0100
    [4] LeBlanc C, Houlsby GT, Byrne BW (2010). Response of stiff piles in sand to long-term cyclic lateral loading. Géotechnique 60: 79–90. https://doi.org/10.1680/geot.7.00196 doi: 10.1680/geot.7.00196
    [5] Andersen KH (2009) Bearing capacity under cyclic loading—offshore, along the coast, and on land. Can Geotech J 46: 513–535. https://doi.org/10.1139/T09-003 doi: 10.1139/T09-003
    [6] Zhang JH, Zhang LM, Lu XB (2007) Centrifuge modeling of suction bucket foundations for platforms under ice-sheet-induced cyclic lateral loadings. Ocean Eng 34: 1069–1079. https://doi.org/10.1016/j.oceaneng.2006.08.009 doi: 10.1016/j.oceaneng.2006.08.009
    [7] Igoe D, Gavin K (2019) Characterization of the Blessington sand geotechnical test site. AIMS Geosci 5: 145–162. https://doi.org/10.3934/geosci.2019.2.145 doi: 10.3934/geosci.2019.2.145
    [8] Gavin K, Igoe D (2021) A field investigation into the mechanisms of pile ageing in sand. Geotechnique 71: 120–131. https://doi.org/10.1680/jgeot.18.P.235 doi: 10.1680/jgeot.18.P.235
    [9] Lapastoure LM, Igoe D (2024) Prediction of short piles response to lateral monotonic load in dense sand at Blessington, Geotechnical Engineering Challenges to Meet Current and Emerging Needs of Society, CRC Press, 3070–3073. https://doi.org/10.1201/9781003431749
    [10] Lunne T, Andersen KH, Low HE, et al. (2011) Guidelines for offshore in situ testing and interpretation in deepwater soft clays. Can Geotech J 48: 543–556. https://doi.org/10.1139/t10-088 doi: 10.1139/t10-088
    [11] Randolph MF, Low HE, Zhou H (2007) In Situ Testing For Design Of Pipeline And Anchoring Systems. Proceedings of the 6th International Conference: Offshore Site Investigation—Confronting New Challenges and Sharing Knowledge, Royal Geographical Society, London, UK, 251–262.
    [12] Williams JP, Aurora RP (1982) Case Study of an Integrated Geophysical and Geotechnical Site Investigation Program for a North Sea Platform. 14th Annual Offshore Technology Conference, Houston, Texas. https://doi.org/10.4043/4168-MS
    [13] Creasey J, El Hajjar A, Conn AT, et al. (2025) ROBOCONE: PY module design development and calibration chamber testing in sand. Proceedings of 5th International Symposium on Frontiers in Offshore Geotechnics.
    [14] El Hajjar A, Creasey J, Conn AT, et al. (2025) Concept design and preliminary testing towards a new ROBOCONE tz module for in-situ cyclic soil characterization. Proceedings of 5th International Symposium on Frontiers in Offshore Geotechnics.
    [15] Tietzsch-Tyler D, Sleeman AG (1994) Geology of South Wexford. Geological Survey of Ireland.
    [16] Culleton EB (1978) Characterisation of Glacial Deposits in South Wexford. Proc R Ir Acad Sect B 78: 293–308. https://www.jstor.org/stable/20519062
    [17] Gardiner MJ, Ryan P (1966) Soil Survey Bulletin No. 1–Soils of Co. Wexford. National Soil Survey of Ireland, An Foras Taluntais.
    [18] Mitchell JK, Soga K (2005) Fundamentals of soil behavior, John Wiley & Sons Ltd., UK.
    [19] Rollinson HR (1993) Using Geochemical Data: Evaluation, Presentation, Interpretation, Routledge. https://doi.org/10.4324/9781315845548
    [20] Tardy Y (1997) Petrology of laterites and tropical soils, A. A. Balkema, Netherlands.
    [21] Singer MJ, Munns DN (2002) Soils: An Introduction, 6 Eds., Pearson, USA.
    [22] Chamley H (1989) Clay Sedimentology, 1 Ed., Springer Berlin, Germany. https://doi.org/10.1007/978-3-642-85916-8
    [23] Lepp AP, Miller LE, Anderson JB, et al. (2024) Insights into glacial processes from micromorphology of silt-sized sediment. TC 18: 2297–2319. https://doi.org/10.5194/tc-18-2297-2024 doi: 10.5194/tc-18-2297-2024
    [24] Crompton JW, Flowers GE, Dyck B (2020). Characterization of glacial silt and clay using automated mineralogy. Ann Glaciol 60: 49–65. https://doi.org/10.1017/aog.2019.45 doi: 10.1017/aog.2019.45
    [25] Dreĭmanis A (1989) Tills: Their genetic terminology and classification, Genetic classification of glacigenic deposits, 17–83.
    [26] Robertson PK, Cabal K (2022) Guide to cone penetration testing for geotechnical engineering, 7 Eds.
    [27] Schnaid F, Lehane BM, Fahey M (2004) In situ test characterisation of unusual soils. Second International Conference on Site Characterisation, Millpress, Rotterdam, the Netherlands. 49–74.
    [28] Stan-Kłeczek I, Marciniak A (2023) Recognition of rock anisotropy using integrated seismic approach—A case in Strzegom and Podleśna, Poland. J Rock Mech Geotech Eng 15: 1759–1767. https://doi.org/10.1016/j.jrmge.2023.03.005 doi: 10.1016/j.jrmge.2023.03.005
    [29] Colombero C, Comina C, Umili G. et al. (2016) Multiscale geophysical characterization of an unstable rock mass. Tectonophysics 675: 275–289. https://doi.org/10.1016/j.tecto.2016.02.045 doi: 10.1016/j.tecto.2016.02.045
  • Reader Comments
  • © 2026 the Author(s), licensee AIMS Press. This is an open access article distributed under the terms of the Creative Commons Attribution License (http://creativecommons.org/licenses/by/4.0)
通讯作者: 陈斌, bchen63@163.com
  • 1. 

    沈阳化工大学材料科学与工程学院 沈阳 110142

  1. 本站搜索
  2. 百度学术搜索
  3. 万方数据库搜索
  4. CNKI搜索

Metrics

Article views(1100) PDF downloads(40) Cited by(0)

Article outline

Figures and Tables

Figures(23)  /  Tables(5)

/

DownLoad:  Full-Size Img  PowerPoint
Return
Return

Catalog