Research article

A deep learning-based model for the propagation mechanism of southern corn rust

  • Published: 27 February 2026
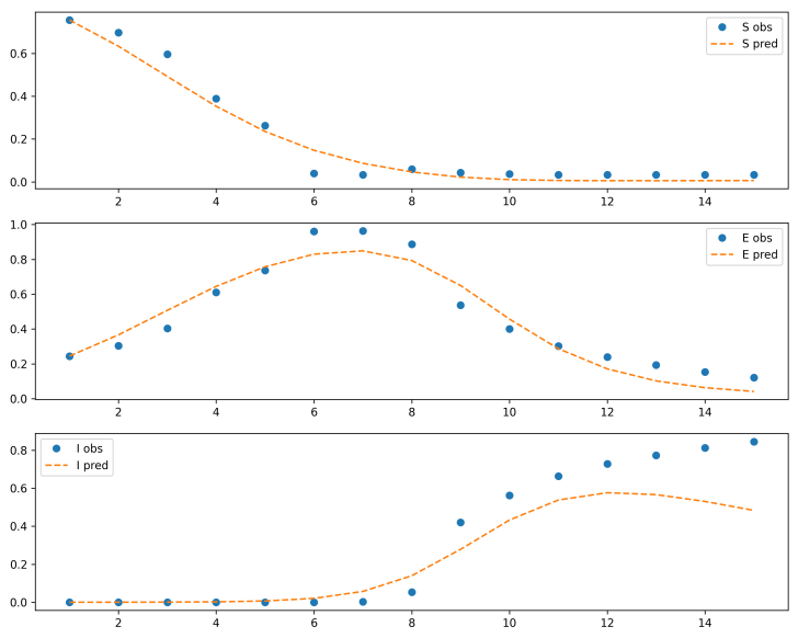
  • A new mathematical model based on differential equations and deep learning is proposed to study the propagation mechanism of southern corn rust (SCR). Equilibrium and stability analyses of system are conducted in detail. Compared with the quantitative assessment of SCR, numerical parameter estimation and the corresponding interpretation are given.

    Citation: Keqin Su, Alain Miranville, Jie Cao, Xinguang Yang. A deep learning-based model for the propagation mechanism of southern corn rust[J]. Electronic Research Archive, 2026, 34(3): 1653-1670. doi: 10.3934/era.2026075

    Related Papers:

  • A new mathematical model based on differential equations and deep learning is proposed to study the propagation mechanism of southern corn rust (SCR). Equilibrium and stability analyses of system are conducted in detail. Compared with the quantitative assessment of SCR, numerical parameter estimation and the corresponding interpretation are given.



    加载中


    [1] L. M. Underwood, Some new fungi chiefly from Alabama, Bull. Torrey Bot. Club, 24 (1897), 81–86. https://doi.org/10.2307/2477799 doi: 10.2307/2477799
    [2] D. R. Duan, H. Z. He, Description of a rust Puccinia polysora on corn in Hainan Island, Acta Mycol. Sin., 32 (1984), 125–126.
    [3] C. Casela, R. Renfro, A. F. Krattiger, Diagnosing maize diseases in Latin America, in ISAAA Briefs No. 9, ISAAA: Ithaca, NY and EMBRAPA, Brasilia, (1998), 57.
    [4] X. F. Liu, J. Y. Xu, Y. L. Gu, Q. Y. Sun, W. Y. Yuan, Z. H. Ma, Occurrence of Puccinia polysora causing southern corn rust in the northeast Huanghuaihai region of China, Plant Dis., 102 (2018), 826. https://doi.org/10.1094/PDIS-05-17-0646-PDN doi: 10.1094/PDIS-05-17-0646-PDN
    [5] J. Liu, Y. Jiang, J. Zeng, G. Ji, L. Liu, K. Qiu, et al., Analysis of the severe occurrence characteristics and causes of southern corn rust in China in 2015, China Plant Prot., 36(2016), 44–47. https://doi.org/10.3969/j.issn.1672-6820.2016.05.011 doi: 10.3969/j.issn.1672-6820.2016.05.011
    [6] J. Unartngam, P. Janruang, C. To-anan, Genetic diversity of Puccinia polysora in Thailand based on ISSR markers, Int. J. Agric. Technol., 7 (2011), 1125–1137.
    [7] X. Yang, X. L. Ding, Z. L. He, Z. H. Ma, Determination of temperature required by southern corn rust, Plant Prot., 41 (2015), 145–147. https://doi.org/10.3969/j.issn.0529-1542.2015.05.026 doi: 10.3969/j.issn.0529-1542.2015.05.026
    [8] J. L. Brewbaker, S. K. Kim, Y. S. So, M. Logroño, H. G. Moon, R. Ming, et al., General resistance in maize to southern rust (Puccinia polysora underw.), Crop Sci., 51 (2011), 1393–1409. https://doi.org/10.2135/cropsci2010.06.0327 doi: 10.2135/cropsci2010.06.0327
    [9] S. Wang, R. Y. Zhang, Z. Shi, Y. X. Zhao, A. G. Su, Identification and fine mapping of RppM, a southern corn rust resistance gene in maize, Front. Plant Sci., 11 (2020), 1057. https://doi.org/10.3389/fpls.2020.01057 doi: 10.3389/fpls.2020.01057
    [10] L. M. Contreras-Medina, I. Torres-Pacheco, R. G. Guevara-González, R. J. Romero-Troncoso, I. R. Terol-Villalobos, R. A. Osornio-Rios, Mathematical modeling tendencies in plant pathology, Afr. J. Biotechnol., 8 (2009), 7399–7408. https://doi.org/10.4314/ajb.v8i25 doi: 10.4314/ajb.v8i25
    [11] D. G. Jones, The Epidemiology of Plant Diseases, Kluwer Academic Publishers, Dordrecht, 1998.
    [12] L. V. Madden, Botanical epidemiology: some key advances and its continuing role in disease management, Eur. J. Plant Pathol., 115 (2006), 3–23. https://doi.org/10.1007/s10658-005-1229-5 doi: 10.1007/s10658-005-1229-5
    [13] A. van Maanen, X. M. Xu, Modelling plant disease epidemics, Eur. J. Plant Pathol., 109 (2003), 669–682. https://doi.org/10.1023/A:1026018005613 doi: 10.1023/A:1026018005613
    [14] G. N. Agrios, Plant Pathology, Elsevier Academic Press, London, 2005.
    [15] T. Ji, I. Salotti, C. Dong, M. Li, V. Rossi, Modeling the effects of the environment and the host plant on the ripe rot of grapes, caused by the Colletotrichum species, Plants, 10 (2021), 2288. https://doi.org/10.3390/plants10112288 doi: 10.3390/plants10112288
    [16] L. V. Madden, M. J. Jeger, F. van den Bosch, A theoretical assessment of the effects of vector-virus transmission mechanism on plant virus disease epidemics, Phytopathology, 90 (2000), 576–594. https://doi.org/10.1094/PHYTO.2000.90.6.576 doi: 10.1094/PHYTO.2000.90.6.576
    [17] M. Martcheva, An Introduction to Mathematical Epidemiology, Springer, New York, 2015. https://doi.org/10.1007/978-1-4899-7612-3
    [18] G. Wang, J. Yang, X. Li, An age-space structured cholera model linking within- and between-host dynamics with Neumann boundary condition, Z. Angew. Math. Phys., 74 (2023), 14. https://doi.org/10.1007/s00033-023-02063-0 doi: 10.1007/s00033-023-02063-0
    [19] J. Yang, P. Jia, J. Wang, Z. Jin, Rich dynamics of a bidirectionally linked immuno-epidemiological model for cholera, J. Math. Biol., 87 (2023), 71. https://doi.org/10.1007/s00285-023-02009-0 doi: 10.1007/s00285-023-02009-0
    [20] J. Wang, Mathematical models for cholera dynamics–-A review, Microorganisms, 10 (2022), 2358. https://doi.org/10.3390/microorganisms10122358 doi: 10.3390/microorganisms10122358
    [21] C. Yang, J. Wang, On the intrinsic dynamics of bacteria in waterborne infections, Math. Biosci., 296 (2018), 71–81. https://doi.org/10.1016/j.mbs.2017.12.005 doi: 10.1016/j.mbs.2017.12.005
    [22] H. Sha, L. Zhu, Dynamic analysis of pattern and optimal control research of rumor propagation model on different networks, Inf. Process. Manage., 62 (2025), 104016. https://doi.org/10.1016/j.ipm.2024.104016 doi: 10.1016/j.ipm.2024.104016
    [23] T. Yang, L. Zhu, S. Shen, L. He, Pattern dynamics analysis and parameter identification of spatiotemporal infectious disease models on complex networks, Math. Biosci., 387 (2025), 109502. https://doi.org/10.1016/j.mbs.2025.109502 doi: 10.1016/j.mbs.2025.109502
    [24] L. Zhu, T. Zheng, Pattern dynamics analysis and application of West Nile virus spatiotemporal models based on higher-order network topology, Bull. Mathe. Biol., 87 (2025), 121. https://doi.org/10.1007/s11538-025-01501-6 doi: 10.1007/s11538-025-01501-6
    [25] P. van den Driessche, J. Watmough, Reproduction numbers and sub-threshold endemic equilibria for compartmental models of disease transmission, Math. Biosci., 180 (2002), 29–48. https://doi.org/10.1016/S0025-5564(02)00108-6 doi: 10.1016/S0025-5564(02)00108-6
    [26] W. Wang, X. Q. Zhao, Threshold dynamics for compartmental epidemic models in periodic environments, J. Dyn. Differ. Equations, 20 (2008), 699–717. https://doi.org/10.1007/s10884-008-9111-8 doi: 10.1007/s10884-008-9111-8
    [27] N. J. Cunniffe, R. O. J. H. Stutt, F. van den Bosch, C. A. Gilligan, ime-dependent infectivity and flexible latent and infectious periods in compartmental models of plant disease, Anal. Theor. Plant Pathol., 102 (2012), 365–380. https://doi.org/10.1094/PHYTO-12-10-0338 doi: 10.1094/PHYTO-12-10-0338
    [28] C. A. Gilligan, An epidemiological framework for disease management, Adv. Bot. Res., 38 (2002), 1–57. https://doi.org/10.1016/S0065-2296(02)38027-3 doi: 10.1016/S0065-2296(02)38027-3
  • Reader Comments
  • © 2026 the Author(s), licensee AIMS Press. This is an open access article distributed under the terms of the Creative Commons Attribution License (http://creativecommons.org/licenses/by/4.0)
通讯作者: 陈斌, bchen63@163.com
  • 1. 

    沈阳化工大学材料科学与工程学院 沈阳 110142

  1. 本站搜索
  2. 百度学术搜索
  3. 万方数据库搜索
  4. CNKI搜索

Metrics

Article views(341) PDF downloads(17) Cited by(0)

Article outline

Figures and Tables

Figures(6)  /  Tables(3)

Other Articles By Authors

/

DownLoad:  Full-Size Img  PowerPoint
Return
Return

Catalog