Research article

Multimodal bifurcation control of parkinsonian beta oscillations by pedunculopontine nucleus pathways: A unified computational framework revealing dynamic therapeutic targets

  • Published: 05 February 2026
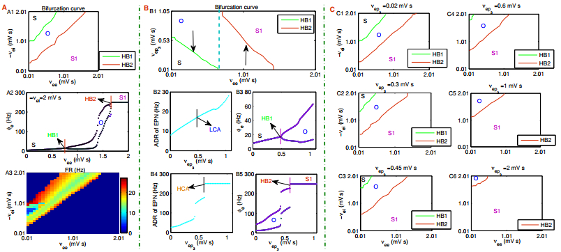
  • This study introduces a novel cortico-thalamo-basal ganglia-pedunculopontine nucleus (PPN) (CTBGP) computational framework to investigate how PPN-related pathways control beta oscillations. We observe that PPN-thalamic pathways exert bidirectional Hopf bifurcation control over thalamic beta oscillations, with coupling strength adjustments shifting stable/oscillatory state boundaries; PPN-cortical projection stabilizes cortical beta oscillations through supercritical/subcritical Hopf transitions dependent on coupling strength; PPN-GPi projection modulates cortico-thalamic beta oscillations via interactions with GABAergic GPi-thalamic pathways, enabling coexistence of supercritical/subcritical bifurcations; PPN-STN projection strongly suppress basal ganglia beta oscillations by elevating STN-GPe network activity to saturated states. Notably, three direct PPN inputs (EPN-PPN, STN-PPN, GPi-PPN) collectively regulate beta oscillations through the PPN-STN-GPe axis. This work provides the computational evidence that PPN pathways dynamically control beta oscillations across CTBG subcircuits via bifurcation mechanisms. The identified PPN-STN-GPe axis and thalamic/cortical projections offer novel targets for DBS and pharmacological interventions.

    Citation: Bing Hu, Pinyi Ye, Yuting Zhang, Te Nan, Xiaoye Shi. Multimodal bifurcation control of parkinsonian beta oscillations by pedunculopontine nucleus pathways: A unified computational framework revealing dynamic therapeutic targets[J]. Electronic Research Archive, 2026, 34(2): 1173-1194. doi: 10.3934/era.2026054

    Related Papers:

  • This study introduces a novel cortico-thalamo-basal ganglia-pedunculopontine nucleus (PPN) (CTBGP) computational framework to investigate how PPN-related pathways control beta oscillations. We observe that PPN-thalamic pathways exert bidirectional Hopf bifurcation control over thalamic beta oscillations, with coupling strength adjustments shifting stable/oscillatory state boundaries; PPN-cortical projection stabilizes cortical beta oscillations through supercritical/subcritical Hopf transitions dependent on coupling strength; PPN-GPi projection modulates cortico-thalamic beta oscillations via interactions with GABAergic GPi-thalamic pathways, enabling coexistence of supercritical/subcritical bifurcations; PPN-STN projection strongly suppress basal ganglia beta oscillations by elevating STN-GPe network activity to saturated states. Notably, three direct PPN inputs (EPN-PPN, STN-PPN, GPi-PPN) collectively regulate beta oscillations through the PPN-STN-GPe axis. This work provides the computational evidence that PPN pathways dynamically control beta oscillations across CTBG subcircuits via bifurcation mechanisms. The identified PPN-STN-GPe axis and thalamic/cortical projections offer novel targets for DBS and pharmacological interventions.



    加载中


    [1] D. Su, Y. Cui, C.He, P. Yin, R. Bai, J. Zhu, et al., Projections for prevalence of Parkinson's disease and its driving factors in 195 countries and territories to 2050: Modelling study of Global Burden of Disease Study 2021, BMJ, 388 (2025), 080952. http://doi.org/10.1136/bmj-2024-080952 doi: 10.1136/bmj-2024-080952
    [2] M. F. Hnazaee, V. Litvak, Investigating cortico-striatal beta oscillations in Parkinson's disease cognitive decline, Brain, 146 (2023), 3571–3573. https://doi.org/10.1093/brain/awad273 doi: 10.1093/brain/awad273
    [3] S. Little, P. Brown, The functional role of beta oscillations in Parkinson's disease, Parkinsonism Relat. Disord., 20 (2014), 44–48. https://doi.org/10.1016/S1353-8020(13)70013-0 doi: 10.1016/S1353-8020(13)70013-0
    [4] E. Belova, U. Semenova, A. Gamaleya, A. Tomskiy, A. Sedov, Excessive $\alpha$-$\beta$ oscillations mark enlarged motor sign severity and Parkinson's disease duration, Mov. Disord., 38 (2023), 1027–1035. https://doi.org/10.1002/mds.29393 doi: 10.1002/mds.29393
    [5] S. J. van Albada, P. A. Robinson, Mean-field modeling of the basal ganglia-thalamocortical system. Ⅰ: Firing rates in healthy and parkinsonian states, J. Theor. Biol., 257 (2009), 642–663. https://doi.org/10.1016/j.jtbi.2008.12.018 doi: 10.1016/j.jtbi.2008.12.018
    [6] S. J. van Albada, R. T. Gray, P. M. Drysdale, P. A. Robinson, Mean-field modeling of the basal ganglia-thalamocortical system. Ⅱ: dynamics of parkinsonian oscillations, J. Theor. Biol., 257 (2009), 664–688. https://doi.org/10.1016/j.jtbi.2008.12.013 doi: 10.1016/j.jtbi.2008.12.013
    [7] M. Caiola, M. H. Holmes, Model and analysis for the onset of parkinsonian firing patterns in a simplified basal ganglia, Int. J. Neural Syst., 29 (2019), 1850021. https://doi.org/10.1142/S0129065718500211 doi: 10.1142/S0129065718500211
    [8] Z. Wang, B. Hu, L. Zhu, J. Lin, M. Xu, D. Wang, Hopf bifurcation analysis for Parkinson oscillation with heterogeneous delays: A theoretical derivation and simulation analysis, Commun. Nonlinear Sci. Numer. Simul., 114 (2022), 106614. https://doi.org/10.1016/j.cnsns.2022.106614 doi: 10.1016/j.cnsns.2022.106614
    [9] B. Hu, X. Wang, S. Lu, X. Ying, A study of bidirectional control of Parkinson's beta oscillations by basal ganglia, Chaos Solitons Fractals, 195 (2025), 116267. https://doi.org/10.1016/j.chaos.2025.116267 doi: 10.1016/j.chaos.2025.116267
    [10] K. Santhosh, P. P. Dev, B. J. A, Z. Lynton, P. Das, E. Ghaderpour, A modified Gray Wolf Optimization algorithm for early detection of Parkinson's disease, Biomed. Signal Process. Control, 109 (2025), 108061. https://doi.org/10.1016/j.bspc.2025.108061 doi: 10.1016/j.bspc.2025.108061
    [11] G. Marano, S. Rossi, E. M. Marzo, A. Ronsisvalle, L. Artuso, G. Traversi, et al., Writing the future: Artificial intelligence, handwriting, and early biomarkers for Parkinson's disease diagnosis and monitoring, Biomedicines, 13 (2025), 1764. https://doi.org/10.3390/biomedicines13071764 doi: 10.3390/biomedicines13071764
    [12] P. K. Sharma, S. Gentleman, D. T. Dexter, I. S. Pienaar, Stereological analysis of cholinergic neurons within bilateral pedunculopontine nuclei in health and when affected by Parkinson's disease, Brain Pathol., 35 (2025), 70011. https://doi.org/10.1111/bpa.70011 doi: 10.1111/bpa.70011
    [13] N. J. Ray, R. A. Lawson, S. L. Martin, H. P. Sigurdsson, J. Wilson, B. Galna, et al., Free-water imaging of the cholinergic basal forebrain and pedunculopontine nucleus in Parkinson's disease, Brain, 146 (2023), 1053–1064. https://doi.org/10.1093/brain/awac127 doi: 10.1093/brain/awac127
    [14] C. E. Craig, N. J. Jenkinson, J. S. Brittain, M. J. Grothe, L. Rochester, M. Silverdale, et al., Pedunculopontine nucleus microstructure predicts postural and gait symptoms in Parkinson's disease, Mov. Disord., 35 (2020), 1199–1207. https://doi.org/10.1002/mds.28051 doi: 10.1002/mds.28051
    [15] K. Yu, Z. Ren, Y. Hu, S. Guo, X. Ye, J. Li, et al., Efficacy of caudal pedunculopontine nucleus stimulation on postural instability and gait disorders in Parkinson's disease, Acta Neurochir., 164 (2022), 575–585. https://doi.org/10.1007/s00701-022-05117-w doi: 10.1007/s00701-022-05117-w
    [16] A. Davin, S. Chabardès, A. Devergnas, C. Benstaali, C. N. Gutekunst, O. David, et al., Excessive daytime sleepiness in a model of Parkinson's disease improved by low-frequency stimulation of the pedunculopontine nucleus, npj Parkinson's Dis., 9 (2023), 9. https://doi.org/10.1038/s41531-023-00455-7 doi: 10.1038/s41531-023-00455-7
    [17] J. Bourilhon, C. Olivier, H. You, A. Collomb-Clerc, D. Grabli, H. Belaid, et al., Pedunculopontine and cuneiform nuclei deep brain stimulation for severe gait and balance disorders in Parkinson's disease: interim results from a randomized double-blind clinical trial, J. Parkinson's Dis., 12 (2021), 639–653. https://doi.org/10.3233/jpd-212793 doi: 10.3233/jpd-212793
    [18] X. Geng, J. Xie, X. Wang, X. Wang, X. Zhang, Y. Hou, et al., Altered neuronal activity in the pedunculopontine nucleus: An electrophysiological study in a rat model of Parkinson's disease, Behav. Brain Res., 305 (2016), 57–64. https://doi.org/10.1016/j.bbr.2016.02.026 doi: 10.1016/j.bbr.2016.02.026
    [19] I. T. French, K. A. Muthusamy, A review of the pedunculopontine nucleus in Parkinson's disease, Front. Aging Neurosci., 10 (2018), 99. https://doi.org/10.3389/fnagi.2018.00099 doi: 10.3389/fnagi.2018.00099
    [20] E. E. Benarroch, Pedunculopontine nucleus: Functional organization and clinical implications, Neurology, 80 (2013), 1148–1155. https://doi.org/10.1212/WNL.0b013e3182886a76 doi: 10.1212/WNL.0b013e3182886a76
    [21] N. E. Chambers, K. Lanza, C. Bishop, Pedunculopontine nucleus degeneration contributes to both motor and non-motor symptoms of Parkinson's disease, Front. Pharmacol., 10 (2020), 1494. https://doi.org/10.3389/fphar.2019.01494 doi: 10.3389/fphar.2019.01494
    [22] A. Capozzo, T. Florio, R. Cellini, U. Moriconi, E. Scarnati, The pedunculopontine nucleus projection to the parafascicular nucleus of the thalamus: An electrophysiological investigation in the rat, J. Neural Transm., 110 (2003), 733–747. https://doi.org/10.1007/s00702-003-0820-1 doi: 10.1007/s00702-003-0820-1
    [23] N. K. Gut, P. Winn, The pedunculopontine tegmental nucleus-A functional hypothesis from the comparative literature, Mov. Disord., 31 (2016), 615–624. https://doi.org/10.1002/mds.26556 doi: 10.1002/mds.26556
    [24] S. Breit, L. Milosevic, G. Naros, I. Cebi, D. Weiss, A. Gharabaghi, Structural-functional correlates of response to pedunculopontine stimulation in a randomized clinical trial for axial symptoms of Parkinson's disease, J. Parkinson's Dis., 13 (2023), 563–573. https://doi.org/10.3233/JPD-225031 doi: 10.3233/JPD-225031
    [25] P. A. Pahapill, A. M. Lozano, The pedunculopontine nucleus and Parkinson's disease, Brain, 123 (2000), 1767–1783. https://doi.org/10.1093/brain/123.9.1767 doi: 10.1093/brain/123.9.1767
    [26] P. A. Robinson, C. J. Rennie, J. J. Wright, P. D. Bourke, Steady states and global dynamics of electrical activity in the cerebral cortex, Phys. Rev. E, 58 (1998), 3557–3571. https://doi.org/10.1103/PhysRevE.58.3557 doi: 10.1103/PhysRevE.58.3557
    [27] P. A. Robinson, C. J. Rennie, D. L. Rowe, Dynamics of large-scale brain activity in normal arousal states and epileptic seizures, Phys. Rev. E, 65 (2002), 041924. https://doi.org/10.1103/PhysRevE.65.041924 doi: 10.1103/PhysRevE.65.041924
    [28] M. Chen, D. Guo, T. Wang, W. Jing, Y. Xia, P. Xu, et al., Bidirectional control of absence seizures by the basal ganglia: A computational evidence, PLoS Comput. Biol., 10 (2014), 1003495. https://doi.org/10.1371/journal.pcbi.1003495 doi: 10.1371/journal.pcbi.1003495
    [29] M. Chen, D. Guo, M. Li, T. Ma, S. Wu, J. Ma, , et al., Critical roles of the direct GABAergic pallido-cortical pathway in controlling absence seizures, PLoS Comput. Biol., 11 (2015), e1004539. https://doi.org/10.1371/journal.pcbi.1004539 doi: 10.1371/journal.pcbi.1004539
    [30] B. Hu, J. Zhao, Y. Ao, X. Cai, The possible role of electromagnetic induction in the regulation of absence seizures: evidence from a computational model, Nonlinear Dyn., 113 (2025), 2711–2728. https://doi.org/10.1007/s11071-024-10345-z doi: 10.1007/s11071-024-10345-z
    [31] Y. Yu, H. Zhang, L. Zhang, Q. Wang, Dynamical role of pedunculopntine nucleus stimulation on controlling Parkinson's disease, Phys. A: Stat. Mech. Appl., 525 (2019), 834–848. https://doi.org/10.1016/j.physa.2019.04.016 doi: 10.1016/j.physa.2019.04.016
    [32] B. Hu, M. Xu, L. Zhu, J. Lin, Z. Wang, D. Wang, et al., A bidirectional Hopf bifurcation analysis of Parkinson's oscillation in a simplified basal ganglia model, J. Theor. Biol., 536 (2022), 110979. https://doi.org/10.1016/j.jtbi.2021.110979 doi: 10.1016/j.jtbi.2021.110979
    [33] V. Witzig, R. Pjontek, S. K. H. Tan, J. B. Schulz, F. Holtbernd, Modulating the cholinergic system-Novel targets for deep brain stimulation in Parkinson's disease, J. Neurochem., 169 (2025), 16264. https://doi.org/10.1111/jnc.16264 doi: 10.1111/jnc.16264
  • Reader Comments
  • © 2026 the Author(s), licensee AIMS Press. This is an open access article distributed under the terms of the Creative Commons Attribution License (http://creativecommons.org/licenses/by/4.0)
通讯作者: 陈斌, bchen63@163.com
  • 1. 

    沈阳化工大学材料科学与工程学院 沈阳 110142

  1. 本站搜索
  2. 百度学术搜索
  3. 万方数据库搜索
  4. CNKI搜索

Metrics

Article views(680) PDF downloads(24) Cited by(0)

Article outline

Figures and Tables

Figures(8)  /  Tables(1)

Other Articles By Authors

/

DownLoad:  Full-Size Img  PowerPoint
Return
Return

Catalog