Research article Special Issues

Delayed feedback and sensitivity analysis for oscillations in Parkinson's disease

  • Published: 30 January 2026
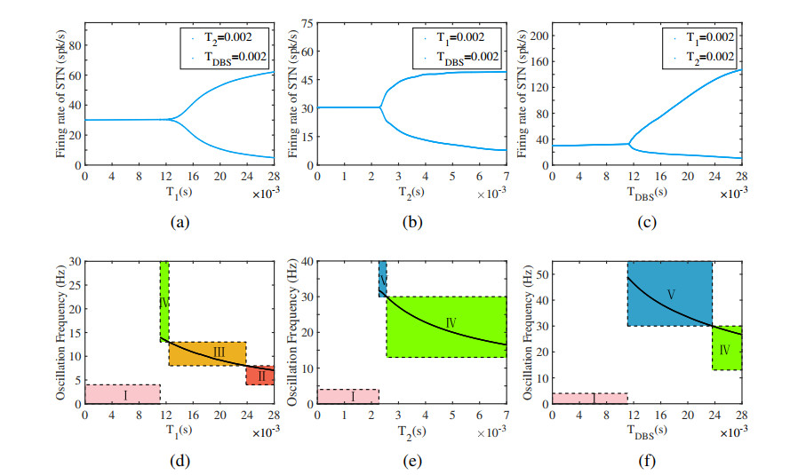
  • Pathological oscillations within the basal ganglia (BG) are a hallmark of Parkinson's disease (PD), a prevalent neurodegenerative disorder. This study aims to evaluate the effects of delayed feedback on oscillatory activity in a PD model and to analyze the roles of synaptic weights and transmission delays within the feedback circuit. Results indicate that the model induced by delayed feedback increase leads to the transition in firing activity, progressing from regular gamma activity to pathological beta oscillation states, and may even transition into complex states. This transition is further modulated by synaptic weights, which could not only change the model from a steady state to an oscillating state, but also cause a high-saturation steady state when sufficiently large. Furthermore, sensitivity analysis based on polynomial chaos expansions enables the quantification of the contributions of transmission delays and synaptic weights to the oscillation frequency variance of the model. The analysis shows that with increasing delayed feedback, the transmission delay parameter that contributes the most to model oscillation shifts from transmission delay within the BG circuit to that of the cerebral cortex circuit. Synaptic weights between the external globus pallidus and the subthalamic nucleus have a significant impact on oscillatory activity when delayed feedback is large. Our findings provide new directions for further clinical treatment of PD.

    Citation: Quanbao Ji, Hongjian Meng. Delayed feedback and sensitivity analysis for oscillations in Parkinson's disease[J]. Electronic Research Archive, 2026, 34(2): 1079-1094. doi: 10.3934/era.2026050

    Related Papers:

  • Pathological oscillations within the basal ganglia (BG) are a hallmark of Parkinson's disease (PD), a prevalent neurodegenerative disorder. This study aims to evaluate the effects of delayed feedback on oscillatory activity in a PD model and to analyze the roles of synaptic weights and transmission delays within the feedback circuit. Results indicate that the model induced by delayed feedback increase leads to the transition in firing activity, progressing from regular gamma activity to pathological beta oscillation states, and may even transition into complex states. This transition is further modulated by synaptic weights, which could not only change the model from a steady state to an oscillating state, but also cause a high-saturation steady state when sufficiently large. Furthermore, sensitivity analysis based on polynomial chaos expansions enables the quantification of the contributions of transmission delays and synaptic weights to the oscillation frequency variance of the model. The analysis shows that with increasing delayed feedback, the transmission delay parameter that contributes the most to model oscillation shifts from transmission delay within the BG circuit to that of the cerebral cortex circuit. Synaptic weights between the external globus pallidus and the subthalamic nucleus have a significant impact on oscillatory activity when delayed feedback is large. Our findings provide new directions for further clinical treatment of PD.



    加载中


    [1] S. Safiri, M. Noori, S. A. Nejadghaderi, S. E. Mousavi, M. J. M. Sullman, M. Araj-Khodaei, et al., The burden of Parkinson's disease in the Middle East and North Africa region, 1990–2019: results from the global burden of disease study 2019, BMC Public Health, 23 (2023), 107. https://doi.org/10.1186/s12889-023-15018-x doi: 10.1186/s12889-023-15018-x
    [2] G. E. Alexander, Biology of Parkinson's disease: pathogenesis and pathophysiology of a multisystem neurodegenerative disorder, Dialogues Clin. Neurosci., 6 (2004), 259–280. https://doi.org/10.31887/DCNS.2004.6.3/galexander doi: 10.31887/DCNS.2004.6.3/galexander
    [3] K. A. Jellinger, The pathomechanisms underlying Parkinson's disease, Expert Rev. Neurother., 14 (2014), 199–215. https://doi.org/10.1586/14737175.2014.877842 doi: 10.1586/14737175.2014.877842
    [4] M. Baba, S. Nakajo, P. H. Tu, T. Tomita, K. Nakaya, V. M. Lee, et al., Aggregation of alpha-synuclein in Lewy bodies of sporadic Parkinson's disease and dementia with Lewy bodies, Am. J. Pathol., 152 (1998), 879–884.
    [5] L. Peña-Zelayeta, K. M. Delgado-Minjares, M. M. Villegas-Rojas, K. León-Arcia, A. Santiago-Balmaseda, J. Andrade-Guerrero, et al., Redefining non-motor symptoms in Parkinson's disease, J. Pers. Med., 15 (2025), 172. https://doi.org/10.3390/jpm15050172 doi: 10.3390/jpm15050172
    [6] S. Sveinbjornsdottir, The clinical symptoms of Parkinson's disease, J. Neurochem., 139 (2016), 318–324. https://doi.org/10.1111/jnc.13691 doi: 10.1111/jnc.13691
    [7] G. Papagiouvannis, P. Theodosis-Nobelos, E. A. Rekka, A review on therapeutic strategies against Parkinson's disease: current trends and future perspectives, Mini-Rev. Med. Chem., 25 (2025), 96–111. https://doi.org/10.2174/0113895575303788240606054620 doi: 10.2174/0113895575303788240606054620
    [8] V. K. Yadav, S. Dhanasekaran, N. Choudhary, D. Nathiya, V. Thakur, R. Gupta, et al., Recent advances in nanotechnology for Parkinson's disease: diagnosis, treatment, and future perspectives, Front. Med., 12 (2025), 1535682. https://doi.org/10.3389/fmed.2025.1535682 doi: 10.3389/fmed.2025.1535682
    [9] R. Wójcik, A. Dębska, K. Zaczkowski, B. Szmyd, M. Podstawka, E. J. Bobeff, et al., Deep brain stimulation for Parkinson's disease—a narrative review, Biomedicines, 13 (2025), 2430. https://doi.org/10.3390/biomedicines13102430 doi: 10.3390/biomedicines13102430
    [10] D. Mellace, F. Mameli, F. Ruggiero, F. Cogiamanian, L. Borellini, A. De Sandi, et al., Triple perspective: assessing deep brain stimulation outcomes in Parkinson's disease, BMC Neurol., 25 (2025), 426. https://doi.org/10.1186/s12883-025-04455-3 doi: 10.1186/s12883-025-04455-3
    [11] N. Malek, Deep brain stimulation in Parkinson's disease, Neurol. India, 67 (2019), 968–978. https://doi.org/10.4103/0028-3886.266268 doi: 10.4103/0028-3886.266268
    [12] M. G. Rosenblum, A. S. Pikovsky, Controlling synchronization in an ensemble of globally coupled oscillators, Phys. Rev. Lett., 92 (2004), 114102. https://doi.org/10.1103/PhysRevLett.92.114102 doi: 10.1103/PhysRevLett.92.114102
    [13] M. Rosenblum, A. Pikovsky, Delayed feedback control of collective synchrony: An approach to suppression of pathological brain rhythms, Phys. Rev. E, 70 (2004), 041904. https://doi.org/10.1103/PhysRevE.70.041904 doi: 10.1103/PhysRevE.70.041904
    [14] O. V. Popovych, C. Hauptmann, P. A. Tass, Control of neuronal synchrony by nonlinear delayed feedback, Biol. Cybern., 95 (2006), 69–85. https://doi.org/10.1007/s00422-006-0066-8 doi: 10.1007/s00422-006-0066-8
    [15] Y. Che, T. Yang, R. Li, H. Li, C. Han, J. Wang, X. Wei, Desynchronization in an ensemble of globally coupled chaotic bursting neuronal oscillators by dynamic delayed feedback control, Int. J. Mod. Phys. B, 29 (2015), 1450235. https://doi.org/10.1142/S021797921450235X doi: 10.1142/S021797921450235X
    [16] S. Ji, Y. Che, J. Yang, S. Li, R. Wang, Suppression of beta oscillations in a Parkinson's disease model by dynamic delayed feedback control, in 2023 42nd Chinese Control Conference (CCC), (2023), 6818–6822. https://doi.org/10.23919/CCC58697.2023.10241154
    [17] H. Yang, J. Wang, Y. Wang, C. Liu, Intermittent nonlinear differential delayed feedback for suppressing synchronous oscillations of Parkinsonian state, in 2025 44th Chinese Control Conference (CCC), (2025), 4421–4426. https://doi.org/10.23919/CCC64809.2025.11179051
    [18] Q. Zeng, Y. Zheng, D. Yi, Bifurcation analysis of a Parkinson's disease model with two time delays, Math. Comput. Simul., 219 (2024), 1–11. https://doi.org/10.1016/j.matcom.2023.12.007 doi: 10.1016/j.matcom.2023.12.007
    [19] A. Pavlides, S. J. Hogan, R. Bogacz, Computational models describing possible mechanisms for generation of excessive beta oscillations in Parkinson's disease, PLoS Comput. Biol., 11 (2015), e1004609. https://doi.org/10.1371/journal.pcbi.1004609 doi: 10.1371/journal.pcbi.1004609
    [20] S. Yamamoto, T. Hino, T. Ushio, Dynamic delayed feedback controllers for chaotic discrete-time systems, IEEE Trans. Circuits Syst. I Fundam. Theory Appl., 48 (2002), 785–789. https://doi.org/10.1109/81.928162 doi: 10.1109/81.928162
    [21] Y. Chen, H. Nakao, Y. Kang, Emergence of pathological beta oscillation and its uncertainty quantification in a time-delayed feedback Parkinsonian model, Chaos, Solitons Fractals, 185 (2024), 115113. https://doi.org/10.1016/j.chaos.2024.115113 doi: 10.1016/j.chaos.2024.115113
    [22] Y. Bi, Q. Liu, J. Zhao, W. Yang, Dynamical analyses on beta oscillations in a STN-GPE-GPI model of Parkinson's disease, Complexity, 2020 (2020), 4376279. https://doi.org/10.1155/2020/4376279 doi: 10.1155/2020/4376279
    [23] A. Perrottelli, G. M. Giordano, F. Brando, L. Giuliani, A. Mucci, EEG-based measures in at-risk mental state and early stages of schizophrenia: a systematic review, Front. Psychiatry, 12 (2021), 653642. https://doi.org/10.3389/fpsyt.2021.653642 doi: 10.3389/fpsyt.2021.653642
    [24] B. Zavala, K. Zaghloul, P. Brown, The subthalamic nucleus, oscillations, and conflict, Mov. Disord., 30 (2015), 328–338. https://doi.org/10.1002/mds.26072
    [25] F. Han, W. Wang, X. Han, W. Shi, X. Li, Investigation of sensitivity analysis of crucial dynamic characteristics of offshore wind turbine utilizing polynomial chaos expansion, J. Offshore Mech. Arct. Eng., 147 (2025), 052004. https://doi.org/10.1115/1.4067797 doi: 10.1115/1.4067797
    [26] M. Hamdaoui, E. M. Daya, Global sensitivity analysis of damped sandwich plates using sparse polynomial chaos expansions, Mech. Adv. Mater. Struct., 32 (2025), 2807–2821. https://doi.org/10.1080/15376494.2024.2385027 doi: 10.1080/15376494.2024.2385027
    [27] A. Saltelli, P. Annoni, I. Azzini, F. Campolongo, M. Ratto, S. Tarantola, Variance based sensitivity analysis of model output. Design and estimator for the total sensitivity index, Comput. Phys. Commun., 181 (2010), 259–270. https://doi.org/10.1016/J.CPC.2009.09.018 doi: 10.1016/J.CPC.2009.09.018
    [28] A. Kumar, A. Singh, Entropy-based groundwater quality evaluation with multivariate analysis and Sobol sensitivity for non-carcinogenic health risks in mid-Gangetic plains, India, Environ. Geochem. Health, 47 (2025), 186. https://doi.org/10.1007/s10653-025-02495-9 doi: 10.1007/s10653-025-02495-9
  • Reader Comments
  • © 2026 the Author(s), licensee AIMS Press. This is an open access article distributed under the terms of the Creative Commons Attribution License (http://creativecommons.org/licenses/by/4.0)
通讯作者: 陈斌, bchen63@163.com
  • 1. 

    沈阳化工大学材料科学与工程学院 沈阳 110142

  1. 本站搜索
  2. 百度学术搜索
  3. 万方数据库搜索
  4. CNKI搜索

Metrics

Article views(821) PDF downloads(44) Cited by(0)

Article outline

Figures and Tables

Figures(6)  /  Tables(2)

Other Articles By Authors

/

DownLoad:  Full-Size Img  PowerPoint
Return
Return

Catalog