Research article

The improved PINNs for solving partial differential equations with nonlinear couple systems

  • Published: 30 December 2025
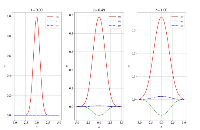
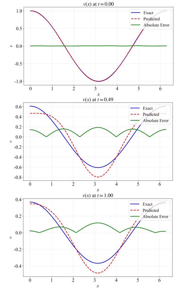
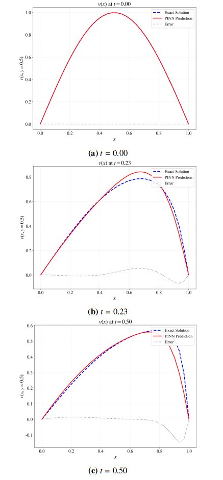
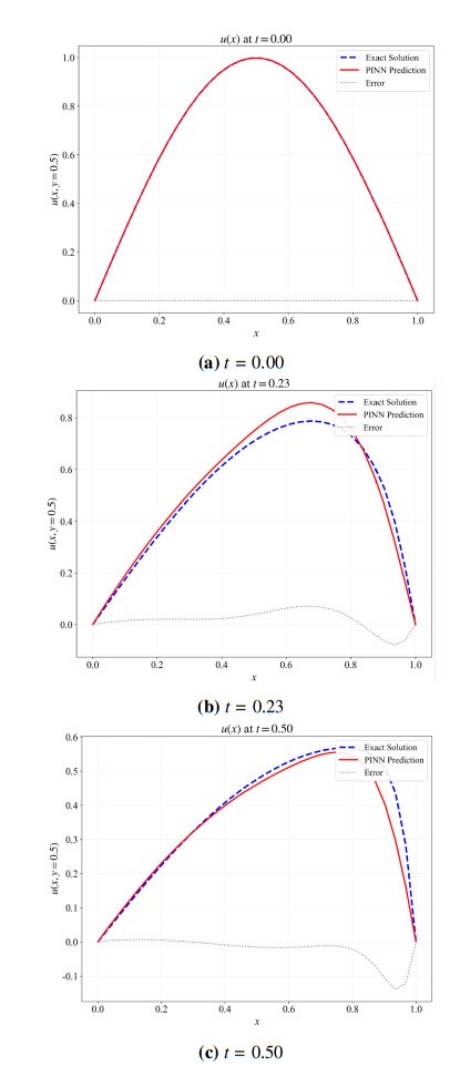
  • For partial differential equations, traditional methods are characterized by high accuracy, yet they face difficulties in handling complex high-dimensional. Although physics-informed neural networks (PINNs) can effectively solve high-dimensional problems, their accuracy still needs to be improved. The Fourier neural operator (FNO) has an advantage in capturing the global characteristics of physical systems, but it relies on a large amount of training data. To address these limitations, this paper proposes a hybrid method, FNO-PINN, which integrates the FNO with a PINN. This method devises a hybrid architecture consisting of an enhanced FNO, high precision difference calculation, multi-objective physical constraints, and post processing mechanisms. Meanwhile, a dynamic weight adjustment strategy and an iterative auxiliary data loss for different time-scale variables are proposed to effectively alleviate the imbalance problem during the training process. The numerical experimental results of three examples show that compared with the traditional PINNs method, the proposed FNO-PINN method has a faster convergence speed and smaller error, and it demonstrates superior performance in handling coupled systems with multiple time scales.

    Citation: Jie Xu, Jinhua Ran, Jiao She. The improved PINNs for solving partial differential equations with nonlinear couple systems[J]. Electronic Research Archive, 2026, 34(1): 113-159. doi: 10.3934/era.2026007

    Related Papers:

  • For partial differential equations, traditional methods are characterized by high accuracy, yet they face difficulties in handling complex high-dimensional. Although physics-informed neural networks (PINNs) can effectively solve high-dimensional problems, their accuracy still needs to be improved. The Fourier neural operator (FNO) has an advantage in capturing the global characteristics of physical systems, but it relies on a large amount of training data. To address these limitations, this paper proposes a hybrid method, FNO-PINN, which integrates the FNO with a PINN. This method devises a hybrid architecture consisting of an enhanced FNO, high precision difference calculation, multi-objective physical constraints, and post processing mechanisms. Meanwhile, a dynamic weight adjustment strategy and an iterative auxiliary data loss for different time-scale variables are proposed to effectively alleviate the imbalance problem during the training process. The numerical experimental results of three examples show that compared with the traditional PINNs method, the proposed FNO-PINN method has a faster convergence speed and smaller error, and it demonstrates superior performance in handling coupled systems with multiple time scales.



    加载中


    [1] J. De Luca, Chemical principle and PDE of variational electrodynamics, J. Differ. Equations, 268 (2019), 272–300. https://doi.org/10.1016/j.jde.2019.08.020 doi: 10.1016/j.jde.2019.08.020
    [2] J. Lv, J. Li, The delayed reaction-diffusion Filippov system with threshold control: Modeling and analysis of plateau pika-vegetation dynamics, Commun. Nonlinear Sci. Numer. Simul., 152 (2026), 109366. https://doi.org/10.1016/j.cnsns.2025.109366 doi: 10.1016/j.cnsns.2025.109366
    [3] D. A. Nield, A. V. Kuznetsov, The Cheng-Minkowycz problem for natural convective boundary-layer flow in a porous medium saturated by a nanofluid, Int. J. Heat Mass Transfer, 52 (2009), 5792–5795. https://doi.org/10.1016/j.ijheatmasstransfer.2009.07.024 doi: 10.1016/j.ijheatmasstransfer.2009.07.024
    [4] P. Suchde, J. Kuhnert, A meshfree generalized finite difference method for surface PDEs, Comput. Math. Appl., 78 (2019), 2789–2805. https://doi.org/10.1016/j.camwa.2019.04.030 doi: 10.1016/j.camwa.2019.04.030
    [5] M. Li, C. S. Chen, Y. C. Hon, P. H. Wen, Finite integration method for solving multi-dimensional partial differential equations, Appl. Math. Modell., 39 (2015), 4979–4994. https://doi.org/10.1016/j.apm.2015.03.049 doi: 10.1016/j.apm.2015.03.049
    [6] Y. Liu, Y. Cheng, S. Chen, Y. Zhang, Krylov implicit integration factor discontinuous Galerkin methods on sparse grids for high dimensional reaction-diffusion equations, J. Comput. Phys., 388 (2019), 90–102. https://doi.org/10.1016/j.jcp.2019.03.021 doi: 10.1016/j.jcp.2019.03.021
    [7] A. Townsend, S. Olver, The automatic solution of partial differential equations using a global spectral method, J. Comput. Phys., 299 (2015), 106–123. https://doi.org/10.1016/j.jcp.2015.06.031 doi: 10.1016/j.jcp.2015.06.031
    [8] M. Raissi, P. Perdikaris, G. E. Karniadakis, Physics-informed neural networks: A deep learning framework for solving forward and inverse problems involving nonlinear partial differential equations, J. Comput. Phys., 378 (2019), 686–707. https://doi.org/10.1016/j.jcp.2018.10.045 doi: 10.1016/j.jcp.2018.10.045
    [9] Y. Ren, H. Feng, S. Zhao, A FFT accelerated high order finite difference method for elliptic boundary value problems over irregular domains, J. Comput. Phys., 448 (2022), 110762. https://doi.org/10.1016/j.jcp.2021.110762 doi: 10.1016/j.jcp.2021.110762
    [10] J. Berg, K. Nyström, A unified deep artificial neural network approach to partial differential equations in complex geometries, Neurocomputing, 317 (2018), 28–41. https://doi.org/10.1016/j.neucom.2018.06.056 doi: 10.1016/j.neucom.2018.06.056
    [11] C. Beck, S. Becker, P. Grohs, N. Jaafari, A. Jentzen, Solving the Kolmogorov PDE by means of deep learning, J. Sci. Comput., 88 (2021), 73. https://doi.org/10.1007/s10915-021-01590-0 doi: 10.1007/s10915-021-01590-0
    [12] L. Yuan, Y. Ni, X. Deng, S. Hao, A-PINN: Auxiliary physics informed neural networks for forward and inverse problems of nonlinear integro-differential equations, J. Comput. Phys., 462 (2022), 111260. https://doi.org/10.1016/j.jcp.2022.111260 doi: 10.1016/j.jcp.2022.111260
    [13] Y. Chen, L. Lu, G. E. Karniadakis, L. Dal Negro, Physics-informed neural networks for inverse problems in nano-optics and metamaterials, Opt. Express, 28 (2020), 11618–11633. https://doi.org/10.1364/OE.384875 doi: 10.1364/OE.384875
    [14] G. Pang, L. Lu, G. E. Karniadakis, fPINNs: Fractional physics-informed neural networks, SIAM J. Sci. Comput., 41 (2019), 2603–2626. https://doi.org/10.1137/18M1229845 doi: 10.1137/18M1229845
    [15] S. Wang, H. Wang, P. Perdikaris, On the eigenvector bias of Fourier feature networks: From regression to solving multi-scale PDEs with physics-informed neural networks, Comput. Methods Appl. Mech. Eng., 384 (2021), 113938. https://doi.org/10.1016/j.cma.2021.113938 doi: 10.1016/j.cma.2021.113938
    [16] S. Wang, Y. Teng, P. Perdikaris, Understanding and mitigating gradient flow pathologies in physics-informed neural networks, preprint, arXiv: 2001.04536.
    [17] J. Li, J. Chen, B. Li, Gradient-optimized physics-informed neural networks (GOPINNs): A deep learning method for solving the complex modified KDV equation, Nonlinear Dyn., 107 (2022), 781–792. https://doi.org/10.1007/s11071-021-06996-x doi: 10.1007/s11071-021-06996-x
    [18] A. D. Jagtap, G. E. Karniadakis, Extended physics-informed neural networks (XPINNs): A generalized space-time domain decomposition based deep learning framework for nonlinear partial differential equations, Commun. Comput. Phys., 28 (2020), 2002-2041. https://doi.org/10.4208/cicp.OA-2020-0164 doi: 10.4208/cicp.OA-2020-0164
    [19] L. Guo, H. Wu, X. Yu, T. Zhou, Monte Carlo fPINNs: Deep learning method for forward and inverse problems involving high dimensional fractional partial differential equations, Comput. Methods Appl. Mech. Eng., 400 (2022), 115523. https://doi.org/10.1016/j.cma.2022.115523 doi: 10.1016/j.cma.2022.115523
    [20] Z. Li, N. Kovachki, K. Azizzadenesheli, B. Liu, K. Bhattacharya, A. Stuart, et al., Fourier neural operator for parametric partial differential equations, preprint, arXiv: 2010.08895.
    [21] Z. K. Lawal, H. Yassin, D. T. C. Lai, A. C. Idris, Modeling the complex spatio-temporal dynamics of ocean wave parameters: A hybrid PINN-LSTM approach for accurate wave forecasting, Measurement, 252 (2025), 117383. https://doi.org/10.1016/j.measurement.2025.117383 doi: 10.1016/j.measurement.2025.117383
    [22] S. Cai, Z. Wang, S. Wang, P. Perdikaris, G. E. Karniadakis, Physics-informed neural networks for heat transfer problems, ASME. J. Heat Mass Transfer., 143 (2021), 060801. https://doi.org/10.1115/1.4050542 doi: 10.1115/1.4050542
    [23] B. Bahtiri, B. Arash, S. Scheffler, M. Jux, R. Rolfes, A thermodynamically consistent physics-informed deep learning material model for short fiber/polymer nanocomposites, Comput. Methods Appl. Mech. Eng., 427 (2024), 117038. https://doi.org/10.1016/j.cma.2024.117038 doi: 10.1016/j.cma.2024.117038
    [24] J. Zhao, Highly accurate compact mixed methods for two point boundary value problems, Appl. Math. Comput., 188 (2007), 1402–1418. https://doi.org/10.1016/j.amc.2006.11.006 doi: 10.1016/j.amc.2006.11.006
    [25] C. Shu, S. Osher, Efficient implementation of essentially non-oscillatory shock-capturing schemes, J. Comput. Phys., 77 (1988), 439–471. https://doi.org/10.1016/0021-9991(88)90177-5 doi: 10.1016/0021-9991(88)90177-5
  • Reader Comments
  • © 2026 the Author(s), licensee AIMS Press. This is an open access article distributed under the terms of the Creative Commons Attribution License (http://creativecommons.org/licenses/by/4.0)
通讯作者: 陈斌, bchen63@163.com
  • 1. 

    沈阳化工大学材料科学与工程学院 沈阳 110142

  1. 本站搜索
  2. 百度学术搜索
  3. 万方数据库搜索
  4. CNKI搜索

Metrics

Article views(1888) PDF downloads(99) Cited by(0)

Article outline

Figures and Tables

Figures(19)  /  Tables(9)

Other Articles By Authors

/

DownLoad:  Full-Size Img  PowerPoint
Return
Return

Catalog