Research article Special Issues

Nonlinear cooperation between fast and slow dynamics underlying different subthreshold resonances in olive neurons model

  • Published: 24 December 2025
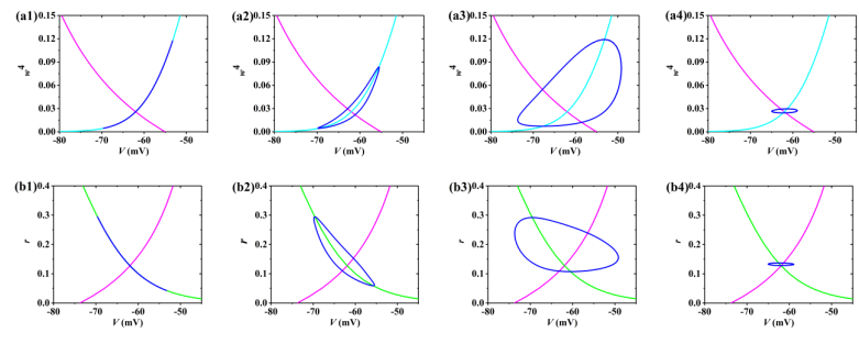
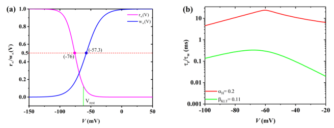
  • Different subthreshold resonance patterns characterized by different amplitudes and frequencies are evoked from the resting potential of the medial superior olive neurons, playing important roles in sound localization. In the present paper, the conditions and nonlinear cooperation mechanisms between two ionic currents for the different patterns are obtained in a neuronal model. As the resting potential is close to the half-activation voltage of low threshold potassium current (IKLT), simulation results of resonances match the experimental observations. For weak stimulation with small amplitude, slow hyperpolarization-activated cation current (IH) is not activated, whereas fast IKLT is activated to mediate a common single resonance, exhibiting small amplitude with symmetry to the resting potential and high frequency for sound localization. For strong stimulation with large amplitude, IH is also activated to mediate a low frequency resonance and enhance the frequency of resonance mediated by IKLT for precise sound localization. Then, an uncommon phenomenon of double resonances appears, which exhibits large and non-symmetrical amplitude. The different resonances are well explained with the fast frequency response of IKLT and slow response of IH. Interestingly and paradoxically, an oscillation not around its steady value appears at a high frequency of stimulation, since IH is too slow to recover. If the time scale of two currents becomes approximate, the paradoxical oscillation disappears. Finally, for the double resonances, the phase trajectory is wide enough to cover a large part of nullclines with nonlinearity, resulting in large and asymmetrical amplitudes. For the single resonance with small and symmetrical amplitude, the trajectory is narrow to cover only a local linear part of nullcline. These results present feasible measures to modulate the high frequency response of the medial superior olive neurons for sound localization.

    Citation: Runxia Wang, Yanbing Jia, Yuye Li. Nonlinear cooperation between fast and slow dynamics underlying different subthreshold resonances in olive neurons model[J]. Electronic Research Archive, 2025, 33(12): 7763-7790. doi: 10.3934/era.2025343

    Related Papers:

  • Different subthreshold resonance patterns characterized by different amplitudes and frequencies are evoked from the resting potential of the medial superior olive neurons, playing important roles in sound localization. In the present paper, the conditions and nonlinear cooperation mechanisms between two ionic currents for the different patterns are obtained in a neuronal model. As the resting potential is close to the half-activation voltage of low threshold potassium current (IKLT), simulation results of resonances match the experimental observations. For weak stimulation with small amplitude, slow hyperpolarization-activated cation current (IH) is not activated, whereas fast IKLT is activated to mediate a common single resonance, exhibiting small amplitude with symmetry to the resting potential and high frequency for sound localization. For strong stimulation with large amplitude, IH is also activated to mediate a low frequency resonance and enhance the frequency of resonance mediated by IKLT for precise sound localization. Then, an uncommon phenomenon of double resonances appears, which exhibits large and non-symmetrical amplitude. The different resonances are well explained with the fast frequency response of IKLT and slow response of IH. Interestingly and paradoxically, an oscillation not around its steady value appears at a high frequency of stimulation, since IH is too slow to recover. If the time scale of two currents becomes approximate, the paradoxical oscillation disappears. Finally, for the double resonances, the phase trajectory is wide enough to cover a large part of nullclines with nonlinearity, resulting in large and asymmetrical amplitudes. For the single resonance with small and symmetrical amplitude, the trajectory is narrow to cover only a local linear part of nullcline. These results present feasible measures to modulate the high frequency response of the medial superior olive neurons for sound localization.



    加载中


    [1] H. Zhou, X. Wang, H. Gu, Y. Jia, Deep brain stimulation-induced two manners to eliminate bursting for Parkinson's diseases: synaptic current and bifurcation mechanisms, Cognit. Neurodyn., 19 (2025), 78. https://doi.org/10.1007/s11571-025-10267-5 doi: 10.1007/s11571-025-10267-5
    [2] K. Ma, H. Gu, Y. Jia, The neuronal and synaptic dynamics underlying post-inhibitory rebound burst related to major depressive disorder in the lateral habenula neuron model, Cognit. Neurodyn., 18 (2024), 1397–1416. https://doi.org/10.1007/s11571-023-09960-0 doi: 10.1007/s11571-023-09960-0
    [3] B. Cao, H. Gu, K. Ma, Complex dynamics of hair bundle of auditory nervous system (I): spontaneous oscillations and two cases of steady states, Cognit. Neurodyn., 16 (2022), 917–940. https://doi.org/10.1007/s11571-021-09744-4 doi: 10.1007/s11571-021-09744-4
    [4] S. C. Song, J. A. Beatty, C. J. Wilson, The ionic mechanism of membrane potential oscillations and membrane resonance in striatal LTS interneurons, J. Neurophysiol., 116 (2016), 1752–1764. https://doi.org/10.1152/jn.00511.2016 doi: 10.1152/jn.00511.2016
    [5] L. Guan, H. Gu, Z. Zhao, Dynamics of subthreshold and suprathreshold resonance modulated by hyperpolarization-activated cation current in a bursting neuron, Nonlinear Dyn., 104 (2021), 577–601. https://doi.org/10.1007/s11071-021-06230-8 doi: 10.1007/s11071-021-06230-8
    [6] J. Vera, U. Pereira, B. Reynaert, J. Bacigalupo, M. Sanhueza, Modulation of frequency preference in heterogeneous populations of theta-resonant neurons, Neuroscience, 426 (2020), 13–32. https://doi.org/10.1016/j.neuroscience.2019.10.054 doi: 10.1016/j.neuroscience.2019.10.054
    [7] M. W. H. Remme, R. Donato, J. Mikiel-Hunter, J. A. Ballestero, S. Foster, J. Rinzel, et al., Subthreshold resonance properties contribute to the efficient coding of auditory spatial cues, Proc. Natl. Acad. Sci. U. S. A., 111 (2014), E2339–E2348. https://doi.org/10.1073/pnas.1316216111 doi: 10.1073/pnas.1316216111
    [8] Y. Wu, Z. Sun, N. Zhao, Resonance dynamics in multilayer neural networks subjected to electromagnetic induction, Commun. Nonlinear Sci. Numer. Simul., 143 (2025), 108575. https://doi.org/10.1016/j.cnsns.2024.108575 doi: 10.1016/j.cnsns.2024.108575
    [9] P. Gastrein, E. Campanac, C. Gasselin, R. H. Cudmore, A. Bialowas, E. Carlier, et al., The role of hyperpolarization-activated cationic current in spike-time precision and intrinsic resonance in cortical neurons in vitro, J. Physiol., 589 (2011), 3753–3773. https://doi.org/10.1113/jphysiol.2011.209148 doi: 10.1113/jphysiol.2011.209148
    [10] R. Narayanan, D. Johnston, Long-term potentiation in rat hippocampal neurons is accompanied by spatially widespread changes in intrinsic oscillatory dynamics and excitability, Neuron, 56 (2007), 1061–1075. https://doi.org/10.1016/j.neuron.2007.10.033 doi: 10.1016/j.neuron.2007.10.033
    [11] B. Hutcheon, Y. Yarom, Resonance, oscillation and the intrinsic frequency preferences of neurons, Trends Neurosci., 23 (2000), 216–222. https://doi.org/10.1016/S0166-2236(00)01547-2 doi: 10.1016/S0166-2236(00)01547-2
    [12] E. Stark, A. Levi, H. G. Rotstein, Network resonance can be generated independently at distinct levels of neuronal organization, PLoS Comput. Biol., 18 (2022), e1010364. https://doi.org/10.1371/journal.pcbi.1010364 doi: 10.1371/journal.pcbi.1010364
    [13] J. Mikiel-Hunter, V. Kotak, J. Rinzel, High-frequency resonance in the gerbil medial superior olive, PLoS Comput. Biol., 12 (2016), e1005166. https://doi.org/10.1371/journal.pcbi.1005166 doi: 10.1371/journal.pcbi.1005166
    [14] B. Beiderbeck, M. H. Myoga, N. I. C. Müller, A. R. Callan, E. Friauf, B. Grothe, et al., Precisely timed inhibition facilitates action potential firing for spatial coding in the auditory brainstem, Nat. Commun., 9 (2018), 1771. https://doi.org/10.1038/s41467-018-04210-y doi: 10.1038/s41467-018-04210-y
    [15] R. Dodla, G. Svirskis, J. Rinzel, Well-timed, brief inhibition can promote spiking: Postinhibitory facilitation, J. Neurophysiol., 95 (2006), 2664–2677. https://doi.org/10.1152/jn.00752.2005 doi: 10.1152/jn.00752.2005
    [16] P. J. Mathews, P. E. Jercog, J. Rinzel, L. L. Scott, N. L. Golding, Control of submillisecond synaptic timing in binaural coincidence detectors by Kv1 channels, Nat. Neurosci., 13 (2010), 601–609. https://doi.org/10.1038/nn.2530 doi: 10.1038/nn.2530
    [17] C. E. Carr, K. M. Macleod, Microseconds matter, PLoS Biol., 8 (2010), e1000405. https://doi.org/10.1371/journal.pbio.1000405 doi: 10.1371/journal.pbio.1000405
    [18] B. Grothe, M. Pecka, D. McAlpine, Mechanisms of sound localization in mammals, Physiol. Rev., 90 (2010), 983–1012. https://doi.org/10.1152/physrev.00026.2009 doi: 10.1152/physrev.00026.2009
    [19] S. Khurana, M. W. H. Remme, J. Rinzel, N. L. Golding, Dynamic interaction of Ih and IK-LVA during trains of synaptic potentials in principal neurons of the medial superior olive, J Neurosci., 31 (2011), 8936–8947. https://doi.org/10.1523/JNEUROSCI.1079-11.2011 doi: 10.1523/JNEUROSCI.1079-11.2011
    [20] P. Joris, T. C. T. Yin, A matter of time: internal delays in binaural processing, Trends Neurosci., 30 (2007), 70–78. https://doi.org/10.1016/j.tins.2006.12.004 doi: 10.1016/j.tins.2006.12.004
    [21] Y. Matsumoto-Makidono, H. Nakayama, M. Yamasaki, T. Miyazaki, K. Kobayashi, M. Watanabe, et al., Ionic basis for membrane potential resonance in neurons of the inferior olive, Cell Rep., 16 (2016), 994–1004. https://doi.org/10.1016/j.celrep.2016.06.053 doi: 10.1016/j.celrep.2016.06.053
    [22] D. Ulrich, Subthreshold delta-frequency resonance in thalamic reticular neurons, Eur. J. Neurosci., 40 (2014), 2600–2607. https://doi.org/10.1111/ejn.12630 doi: 10.1111/ejn.12630
    [23] H. Hu, K. Vervaeke, J. F. Storm, Two forms of electrical resonance at theta frequencies, generated by M-current, h-current and persistent Na+ current in rat hippocampal pyramidal cells, J. Physiol., 545 (2002), 783–805. https://doi.org/10.1113/jphysiol.2002.029249 doi: 10.1113/jphysiol.2002.029249
    [24] P. Mishra, R. Narayanan, Ion-channel degeneracy: Multiple ion channels heterogeneously regulate intrinsic physiology of rat hippocampal granule cells, Physiol. Rep., 9 (2021), e14963. https://doi.org/10.14814/phy2.14963 doi: 10.14814/phy2.14963
    [25] S. Schreiber, I. Erchova, U. Heinemann, A. V. M. Herz, Subthreshold resonance explains the frequency-dependent integration of periodic as well as random stimuli in the entorhinal cortex, J. Neurophysiol., 92 (2004), 408–415. https://doi.org/10.1152/jn.01116.2003 doi: 10.1152/jn.01116.2003
    [26] L. Fischer, C. Leib, F. Felmy, Resonance properties in auditory brainstem neurons, Front. Cell. Neurosci., 12 (2018), 8. https://doi.org/10.3389/fncel.2018.00008 doi: 10.3389/fncel.2018.00008
    [27] R. F. O. Pena, V. Lima, R. O. Shimoura, C. C. Ceballos, H. G. Rotstein, A. C. Roque, Asymmetrical voltage response in resonant neurons shaped by nonlinearities, Chaos, 29 (2019), 103135. https://doi.org/10.1063/1.5110033 doi: 10.1063/1.5110033
    [28] C. F. Shay, I. S. Boardman, N. M. James, M. E. Hasselmo, Voltage dependence of subthreshold resonance frequency in layer Ⅱ of medial entorhinal cortex, Hippocampus, 22 (2012), 1733–1749. https://doi.org/10.1002/hipo.22008 doi: 10.1002/hipo.22008
    [29] Z. Zhao, L. Li, H. Gu, Dynamical mechanism of hyperpolarization-activated non-specific cation current induced resonance and spike-timing precision in a neuronal model, Front. Cell. Neurosci., 12 (2018), 62. https://doi.org/10.3389/fncel.2018.00062 doi: 10.3389/fncel.2018.00062
    [30] R. Wang, H. Gu, X. Zhang, Dynamics of interaction between IH and IKLT currents to mediate double resonances of medial superior olive neurons related to sound localization, Cognit. Neurodyn., 18 (2024), 715–740. https://doi.org/10.1007/s11571-023-10024-6 doi: 10.1007/s11571-023-10024-6
    [31] D. M. Fox, H. A. Tseng, T. G. Smolinski, H. G. Rotstein, F. Nadim, Mechanisms of generation of membrane potential resonance in a neuron with multiple resonant ionic currents, PLoS Comput. Biol., 13 (2017), e1005565. https://doi.org/10.1371/journal.pcbi.1005565 doi: 10.1371/journal.pcbi.1005565
    [32] K. Hashimoto, Mechanisms for the resonant property in rodent neurons, Neurosci. Res., 156 (2020), 5–13. https://doi.org/10.1016/j.neures.2019.12.013 doi: 10.1016/j.neures.2019.12.013
    [33] J. Vera, M. Pezzoli, U. Pereira, J. Bacigalupo, M. Sanhueza, Electrical resonance in the θ frequency range in olfactory amygdala neurons, PLoS One, 9 (2014), e85826. https://doi.org/10.1371/journal.pone.0085826 doi: 10.1371/journal.pone.0085826
    [34] T. Li, Y. V. Rogovchenko, Oscillation criteria for second-order superlinear Emden–Fowler neutral differential equations, Monatsh. Math., 184 (2017), 489–500. https://doi.org/10.1007/s00605-017-1039-9 doi: 10.1007/s00605-017-1039-9
    [35] T. Li, D. Acosta-Soba, A. Columbu, G. Viglialoro, Dissipative gradient nonlinearities prevent δ-formations in local and nonlocal attraction–repulsion chemotaxis models, Stud. Appl. Math., 154 (2025), e70018. https://doi.org/10.1111/sapm.70018 doi: 10.1111/sapm.70018
    [36] R. Wang, H. Gu, Y. Li, Nonlinear mechanism for paradoxical facilitation of spike induced by inhibitory synapse in auditory nervous system for sound localization, Nonlinear Dyn., 112 (2024), 19393–19419. https://doi.org/10.1007/s11071-024-10008-z doi: 10.1007/s11071-024-10008-z
    [37] E. Rajaram, C. Kaltenbach, M. J. Fischl, L. Mrowka, O. Alexandrova, B. Grothe, et al., Slow NMDA-mediated excitation accelerates offset-response latencies generated via a post-inhibitory rebound mechanism, eNeuro, 6 (2019), e0106-19. https://doi.org/10.1523/ENEURO.0106-19.2019 doi: 10.1523/ENEURO.0106-19.2019
  • Reader Comments
  • © 2025 the Author(s), licensee AIMS Press. This is an open access article distributed under the terms of the Creative Commons Attribution License (http://creativecommons.org/licenses/by/4.0)
通讯作者: 陈斌, bchen63@163.com
  • 1. 

    沈阳化工大学材料科学与工程学院 沈阳 110142

  1. 本站搜索
  2. 百度学术搜索
  3. 万方数据库搜索
  4. CNKI搜索

Metrics

Article views(575) PDF downloads(26) Cited by(0)

Article outline

Figures and Tables

Figures(18)

Other Articles By Authors

/

DownLoad:  Full-Size Img  PowerPoint
Return
Return

Catalog