Research article Special Issues

The global analysis of the SEIR epidemic model with vaccination and population births

  • Published: 03 December 2025
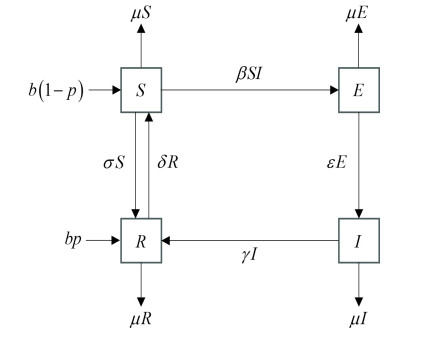
  • This paper constructs a Susceptible-Exposed-Infectious-Recovered (SEIR) model that takes into account the dynamic changes in the birth population and includes both vaccinated and unvaccinated populations. The basic reproduction number $ R_0 $ is derived, and its global stability is analyzed. It is proven that when $ R_0 < 1 $, the disease-free equilibrium point is globally stable. When $ R_0 > 1 $, there exist an unstable disease-free equilibrium and a unique endemic equilibrium. Subsequently, we conduct the numerical simulations to validate theoretical results and plot data visualizations for various scenarios. In addition, the parameter sensitivity analysis and the forward bifurcation of the model are performed to examine how each system parameter specifically affects disease transmission. Our results offer practical insights for public health planning, particularly in optimizing vaccination strategies in populations with high birth rates or waning immunity.

    Citation: Zuoheng Chen, Youhui Su, Qian Wen, Feng-Lan Tu. The global analysis of the SEIR epidemic model with vaccination and population births[J]. Electronic Research Archive, 2025, 33(12): 7289-7310. doi: 10.3934/era.2025322

    Related Papers:

  • This paper constructs a Susceptible-Exposed-Infectious-Recovered (SEIR) model that takes into account the dynamic changes in the birth population and includes both vaccinated and unvaccinated populations. The basic reproduction number $ R_0 $ is derived, and its global stability is analyzed. It is proven that when $ R_0 < 1 $, the disease-free equilibrium point is globally stable. When $ R_0 > 1 $, there exist an unstable disease-free equilibrium and a unique endemic equilibrium. Subsequently, we conduct the numerical simulations to validate theoretical results and plot data visualizations for various scenarios. In addition, the parameter sensitivity analysis and the forward bifurcation of the model are performed to examine how each system parameter specifically affects disease transmission. Our results offer practical insights for public health planning, particularly in optimizing vaccination strategies in populations with high birth rates or waning immunity.



    加载中


    [1] J. Yu, D. Jiang, N. Shi, Global stability of two-group SIR model with random perturbation, J. Math. Anal. Appl., 360 (2009), 235–244. https://doi.org/10.1016/j.jmaa.2009.06.050 doi: 10.1016/j.jmaa.2009.06.050
    [2] J. Liu, Y. Zhou, Global stability of an SIRS epidemic model with transport-related infection, Chaos, Solitons Fractals, 40 (2009), 145–158. https://doi.org/10.1016/j.chaos.2007.07.047 doi: 10.1016/j.chaos.2007.07.047
    [3] D. Knipl, S. M. Moghadas, The potential impact of vaccination on the dynamics of dengue infections, Bull. Math. Biol., 77 (2015), 2212–2230. https://doi.org/10.1007/s11538-015-0120-6 doi: 10.1007/s11538-015-0120-6
    [4] T. M. Chen, J. Rui, Q. P. Wang, Z. Y. Zhao, J. A. Cui, L. Yin, A mathematical model for simulating the phase-based transmissibility of a novel coronavirus, Infect. Dis. Poverty, 9 (2020), 1–8. https://doi.org/10.1186/s40249-020-00640-3 doi: 10.1186/s40249-020-00640-3
    [5] S. Han, C. Lei, Global stability of equilibria of a diffusive SEIR epidemic model with nonlinear incidence, Appl. Math. Lett., 98 (2019), 114–120. https://doi.org/10.1016/j.aml.2019.05.045 doi: 10.1016/j.aml.2019.05.045
    [6] S. Zhi, D. Bai, Y. Su, Turing patterns induced by cross-diffusion in a predator-prey model with Smith-type prey growth and additive predation effects, Chaos, Solitons Fractals, 202 (2026), 117522. https://doi.org/10.1016/j.chaos.2025.117522 doi: 10.1016/j.chaos.2025.117522
    [7] W. O. Kermack, A. G. McKendrick, A contribution to the mathematical theory of epidemics, Proc. R. Soc. A, 115 (1927), 700–721. https://doi.org/10.1098/rspa.1927.0118 doi: 10.1098/rspa.1927.0118
    [8] W. Ma, M. Song, Y. Takeuchi, Global stability of an SIR epidemicmodel with time delay, Appl. Math. Lett., 17 (2004), 1141–1145. https://doi.org/10.1016/j.aml.2003.11.005 doi: 10.1016/j.aml.2003.11.005
    [9] Y. Yang, J. Zhou, C. H. Hsu, Threshold dynamics of a diffusive SIRI model with nonlinear incidence rate, J. Math. Anal. Appl., 478 (2019), 874–896. https://doi.org/10.1016/j.jmaa.2019.05.059 doi: 10.1016/j.jmaa.2019.05.059
    [10] S. Zhi, H. Niu, Y. Su, X. L. Han, Influence of human behavior on COVID-19 dynamics based on a reaction-diffusion model, Qual. Theory Dyn. Syst., 22 (2023), 113. https://doi.org/10.1007/s12346-023-00810-2 doi: 10.1007/s12346-023-00810-2
    [11] S. Annas, M. I. Pratama, M. Rifandi, W. Sanusi, S. Side, Stability analysis and numerical simulation of SEIR model for pandemic COVID-19 spread in Indonesia, Chaos, Solitons Fractals, 139 (2020), 110072. https://doi.org/10.1016/j.chaos.2020.110072 doi: 10.1016/j.chaos.2020.110072
    [12] M. J. Keeling, P. Rohani, Modeling Infectious Diseases in Humans and Animals, Princeton University Press, 2008. https://doi.org/10.1515/9781400841035
    [13] Q. Yang, D. Jiang, N. Shi, C. Ji, The ergodicity and extinction of stochastically perturbed SIR and SEIR epidemic models with saturated incidence, J. Math. Anal. Appl., 388 (2012), 248–271. https://doi.org/10.1016/j.jmaa.2011.11.072 doi: 10.1016/j.jmaa.2011.11.072
    [14] R. K. Upadhyay, A. K. Pal, S. Kumari, P. Roy, Dynamics of an SEIR epidemic model with nonlinear incidence and treatment rates, Nonlinear Dyn., 96 (2019), 2351–2368. https://doi.org/10.1007/s11071-019-04926-6 doi: 10.1007/s11071-019-04926-6
    [15] A. Khan, G. Zaman, Global analysis of an age-structured SEIR endemic model, Chaos, Solitons Fractals, 108 (2018), 154–165. https://doi.org/10.1016/j.chaos.2018.01.037 doi: 10.1016/j.chaos.2018.01.037
    [16] J. Jiao, Z. Liu, S. Cai, Dynamics of an SEIR model with infectivity in incubation period and homestead-isolation on the susceptible, Appl. Math. Lett., 107 (2020), 106442. https://doi.org/10.1016/j.aml.2020.106442 doi: 10.1016/j.aml.2020.106442
    [17] J. Li, Y. Yang, Y. Zhou, Global stability of an epidemic model with latent stage and vaccination, Appl. Math. Lett., 12 (2011), 2163–2173. https://doi.org/10.1016/j.nonrwa.2010.12.030 doi: 10.1016/j.nonrwa.2010.12.030
    [18] S. Zhi, Y. Su, H. Niu, J. Cao, Analysis of a diffusive vector-borne disease model with nonlinear incidence and nonlocal delayed transmission, Z. Angew. Math. Phys., 75 (2024), 227. https://doi.org/10.1007/s00033-024-02377-7 doi: 10.1007/s00033-024-02377-7
    [19] S. Zhi, Y. Su, H. Niu, L. Qiang, The threshold dynamics of a waterborne pathogen model with seasonality in a polluted environment, Acta Math. Sci., 44 (2024), 2165–2189. https://doi.org/10.1007/s10473-024-0607-z doi: 10.1007/s10473-024-0607-z
    [20] S. Zhi, H. Niu, Y. Su, Global dynamics of a diffusive SIRS epidemic model in a spatially heterogeneous environment, Appl. Anal., 104 (2025), 390–418. https://doi.org/10.1080/00036811.2024.2367667 doi: 10.1080/00036811.2024.2367667
    [21] C. Sun, Y. Lin, S. Tang, Global stability for an special SEIR epidemic model with nonlinear incidence rates, Chaos, Solitons Fractals, 33 (2007), 290–297. https://doi.org/10.1016/j.chaos.2005.12.028 doi: 10.1016/j.chaos.2005.12.028
    [22] A. D'Onofrio, Stability properties of pulse vaccination strategy in SEIR epidemic model, Math. Biosci., 179 (2002), 57–72. https://doi.org/10.1016/S0025-5564(02)00095-0 doi: 10.1016/S0025-5564(02)00095-0
    [23] G. Li, Z. Jin, Global stability of a SEIR epidemic model with infectious force in latent, infected and immune period, Chaos, Solitons Fractals, 25 (2005), 1177–1184. https://doi.org/10.1016/j.chaos.2004.11.062 doi: 10.1016/j.chaos.2004.11.062
    [24] C. Sun, Y. H. Hsieh, Global analysis of an SEIR model with varying population size and vaccination, Appl. Math. Modell., 34 (2010), 2685–2697. https://doi.org/10.1016/j.apm.2009.12.005 doi: 10.1016/j.apm.2009.12.005
    [25] Q. Wen, H. Li, Y. Su, Long-time dynamics of an infection age-structure SIR epidemic model with nonlocal diffusion of Neumann type, J. Math. Anal. Appl., 554 (2026), 129987. https://doi.org/10.1016/j.jmaa.2025.129987 doi: 10.1016/j.jmaa.2025.129987
    [26] P. Van den Driessche, J. Watmough, Reproduction numbers and sub-threshold endemic equilibria for compartmental models of disease transmission, Math. Biosci., 180 (2002), 29–48. https://doi.org/10.1016/S0025-5564(02)00108-6 doi: 10.1016/S0025-5564(02)00108-6
    [27] J. P. La Salle, The Stability of Dynamical Systems, SIAM, 1976.
    [28] G. Lu, Z. Lu, Geometric approach to global asymptotic stability for the SEIRS models in epidemiology, Nonlinear Anal. Real World Appl., 36 (2017), 20–43. https://doi.org/10.1016/j.nonrwa.2016.12.005 doi: 10.1016/j.nonrwa.2016.12.005
    [29] C. Castillo-Chavez, B. Song, Dynamical models of tuberculosis and their applications, Math. Biosci. Eng., 1 (2004), 361–404. https://doi.org/10.3934/mbe.2004.1.361 doi: 10.3934/mbe.2004.1.361
    [30] N. Chitnis, J. M. Hyman, J. M. Cushing, Determining important parameters in the spread of malaria through the sensitivity analysis of a mathematical model, Bull. Math. Biol., 70 (2008), 1272–1296. https://doi.org/10.1007/s11538-008-9299-0 doi: 10.1007/s11538-008-9299-0
  • Reader Comments
  • © 2025 the Author(s), licensee AIMS Press. This is an open access article distributed under the terms of the Creative Commons Attribution License (http://creativecommons.org/licenses/by/4.0)
通讯作者: 陈斌, bchen63@163.com
  • 1. 

    沈阳化工大学材料科学与工程学院 沈阳 110142

  1. 本站搜索
  2. 百度学术搜索
  3. 万方数据库搜索
  4. CNKI搜索

Metrics

Article views(1093) PDF downloads(60) Cited by(0)

Article outline

Figures and Tables

Figures(7)  /  Tables(3)

Other Articles By Authors

/

DownLoad:  Full-Size Img  PowerPoint
Return
Return

Catalog