Research article

A study on the estimator for the extreme value index of heavy-tailed distribution generated from moment statistic

  • Published: 18 April 2025
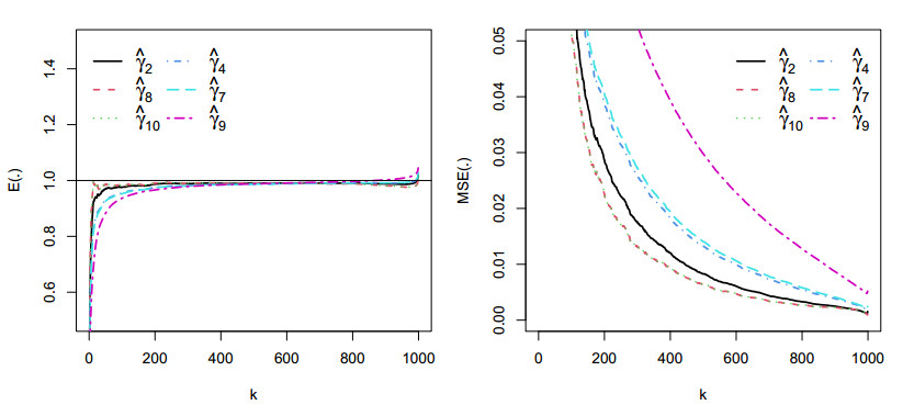
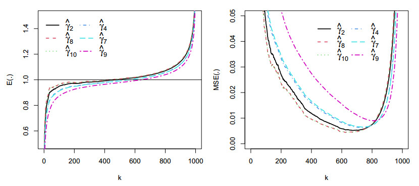
  • In extreme value statistics, the extreme value index of heavy-tailed distribution is closely related to the probability of occurrence of extreme events, and its estimator has become a major research topic. Based on the moment statistic, we constructed a class of estimators with four parameters for the extreme value index of heavy-tailed distribution. The consistency and asymptotic normality of the proposed estimator were proved under the first-order regular variation condition and the second-order regular variation condition. Specific expressions for ten estimators were given by the specific values of the parameters, which contain both existing estimators in the literature and newly derived ones. The asymptotical unbiasedness of specific new estimators was discussed, and some of the asymptotical unbiased estimators were compared with existing ones in terms of asymptotic variance. The results show that the new estimators perform better. In addition, in the finite sample case, using Monte-Carlo simulation, it can be seen from the simulated mean value and mean square error that the obtained results are in line with the theoretical analysis among the asymptotical unbiased estimators compared. Furthermore, it can be concluded that some of the new estimators perform better at the optimal level.

    Citation: Shuai Chang, Jinrui Guan. A study on the estimator for the extreme value index of heavy-tailed distribution generated from moment statistic[J]. Electronic Research Archive, 2025, 33(4): 2295-2311. doi: 10.3934/era.2025101

    Related Papers:

  • In extreme value statistics, the extreme value index of heavy-tailed distribution is closely related to the probability of occurrence of extreme events, and its estimator has become a major research topic. Based on the moment statistic, we constructed a class of estimators with four parameters for the extreme value index of heavy-tailed distribution. The consistency and asymptotic normality of the proposed estimator were proved under the first-order regular variation condition and the second-order regular variation condition. Specific expressions for ten estimators were given by the specific values of the parameters, which contain both existing estimators in the literature and newly derived ones. The asymptotical unbiasedness of specific new estimators was discussed, and some of the asymptotical unbiased estimators were compared with existing ones in terms of asymptotic variance. The results show that the new estimators perform better. In addition, in the finite sample case, using Monte-Carlo simulation, it can be seen from the simulated mean value and mean square error that the obtained results are in line with the theoretical analysis among the asymptotical unbiased estimators compared. Furthermore, it can be concluded that some of the new estimators perform better at the optimal level.



    加载中


    [1] P. Embrechts, C. Kluppelberg, T. Mikosch, Modelling Extremal Events for Insurance and Finance, Springer-Verlag, 1997.
    [2] A. Z. Alexandros, E. F. Nickolaos, A. P. Athanasios, Modeling earthquake risk via extreme value theory and pricing the respective catastrophe bonds, Astin Bull.: J. IAA, 37 (2007), 163–183. https://doi.org/10.2143/AST.37.1.2020804 doi: 10.2143/AST.37.1.2020804
    [3] B. M. Hill, A simple general approach to inference about the tail of a distribution, Ann. Stat., 3 (1975), 1163–1174. https://www.jstor.org/stable/2958370
    [4] C. Scarrott, A. MacDonald, A review of extreme value threshold estimation and uncertainty quantification, Revstat-Stat. J., 10 (2012), 33–60.
    [5] D. Y. Dey, J. Yan, Extreme Value Modeling and Risk Analysis, Taylor and Francis Group, 2016.
    [6] A. L. M. Dekker, J. H. J. Einamhl, L. de Haan, A moment estimator for the index of an extreme-value distribution, Ann. Stat., 17 (1989), 1833–1855.
    [7] J. Danielsson, D. W. Jansen, C. G. De Vries, The method of moments ratio estimator for the tail shape parameter, Commun. Stat-Theor. M., 25 (1996), 711–720. https://doi.org/10.1080/03610929608831727 doi: 10.1080/03610929608831727
    [8] M. I. Gomes, M. J. Martins, Generalizations of the Hill estimator-asymptotic versus finite sample behaviour, J. Stat. Plann. Inference, 93 (2001), 161–180. https://doi.org/10.1016/S0378-3758(00)00201-9 doi: 10.1016/S0378-3758(00)00201-9
    [9] F. Caeiro, M. I. Gomes, A class of asymptotically unbiased semi-parametric estimators of the tail index, Test, 11 (2002), 345–364. https://doi.org/10.1007/BF02595711 doi: 10.1007/BF02595711
    [10] H. Penalva, M. I. Gomes, F. Caeiro, M. M. Neves, A couple of non reduced bias generalized means in extreme value theory: An asymptotic comparison, Revstat-Stat. J., 18 (2020), 281–298.
    [11] M. I. Gomes, A. Guillou, Extreme value theory and statistics of univariate extremes: A review, Int. Stat. Rev., 83 (2015), 263–292. https://doi.org/10.1111/insr.12058 doi: 10.1111/insr.12058
    [12] I. Fedotenkov, A review of more than one hundred Pareto-tail index estimators, Statistica, 80 (2020), 245–299. https://doi.org/10.6092/issn.1973-2201/9533 doi: 10.6092/issn.1973-2201/9533
    [13] L. de Haan, A. Ferreira, Exreme Value Theory: A Introduction, New York, Springer, 2006.
    [14] M. I. F. Alves, M. I. Gomes, L. de Haan, A new class of semi-parametric estimators of the second order parameter, Port. Math., 60 (2003), 193–214.
    [15] M. I. Gomes, D. Pestana, F. Caeiro, A note on the asymptotic variance at optimal levels of a bias-corrected Hill estimator, Stat. Probab. Lett., 79 (2009), 295–303. https://doi.org/10.1016/j.spl.2008.08.016 doi: 10.1016/j.spl.2008.08.016
  • Reader Comments
  • © 2025 the Author(s), licensee AIMS Press. This is an open access article distributed under the terms of the Creative Commons Attribution License (http://creativecommons.org/licenses/by/4.0)
通讯作者: 陈斌, bchen63@163.com
  • 1. 

    沈阳化工大学材料科学与工程学院 沈阳 110142

  1. 本站搜索
  2. 百度学术搜索
  3. 万方数据库搜索
  4. CNKI搜索

Metrics

Article views(1510) PDF downloads(58) Cited by(0)

Article outline

Figures and Tables

Figures(4)  /  Tables(5)

Other Articles By Authors

/

DownLoad:  Full-Size Img  PowerPoint
Return
Return

Catalog