Research article Special Issues

Reformative artificial bee colony algorithm based PID controller for radar servo system


  • Published: 31 May 2022
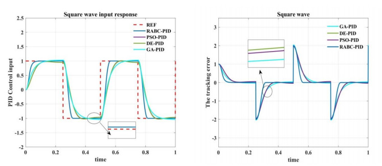
  • This paper proposes a PID controller optimized by a reformative artificial bee colony algorithm (RABC-PID) for the radar servo system (RSS). The RABC algorithm is an enhancement of the artificial bee colony (ABC) algorithm by introducing the best-positioned food source and modifying the food source probability. The RABC algorithm is validated by simulation with six benchmark functions, and the results show that the RABC algorithm is superior to the other variants of the ABC algorithm in terms of convergence speed and accuracy. The RABC-PID controller is then used for the RSS. The RSS is presented to illustrate the application of the RABC-PID controller. The simulation results, which are also compared to PID optimized by particle swarm optimization, differential evolution, and genetic algorithm (PSO-PID, DE-PID, and GA-PID) respectively, are shown to illustrate the effectiveness and robustness of the RABC-PID controller.

    Citation: Hualong Du, Qiuyu Cui, Pengfei Liu, Xin Ma, He Wang. Reformative artificial bee colony algorithm based PID controller for radar servo system[J]. Electronic Research Archive, 2022, 30(8): 2941-2963. doi: 10.3934/era.2022149

    Related Papers:

  • This paper proposes a PID controller optimized by a reformative artificial bee colony algorithm (RABC-PID) for the radar servo system (RSS). The RABC algorithm is an enhancement of the artificial bee colony (ABC) algorithm by introducing the best-positioned food source and modifying the food source probability. The RABC algorithm is validated by simulation with six benchmark functions, and the results show that the RABC algorithm is superior to the other variants of the ABC algorithm in terms of convergence speed and accuracy. The RABC-PID controller is then used for the RSS. The RSS is presented to illustrate the application of the RABC-PID controller. The simulation results, which are also compared to PID optimized by particle swarm optimization, differential evolution, and genetic algorithm (PSO-PID, DE-PID, and GA-PID) respectively, are shown to illustrate the effectiveness and robustness of the RABC-PID controller.



    加载中


    [1] A. Bhardwaj, T. K. Pant, R. K. Choudhary, D. Nandy, P. K. Manoharan, Space weather research: Indian perspective, Space Weather, 14 (2016), 1082–1094. https://doi.org/10.1002/2016SW001521 doi: 10.1002/2016SW001521
    [2] H. Y. Xue, Y. J. Li, K. Zhang, Variable structure control of radar servo system based on IMM, 2008 ISECS Int. Colloquium Comput. Commun. Control Manag., 2008. https://doi.org/10.1109/CCCM.2008.249 doi: 10.1109/CCCM.2008.249
    [3] X. Liu, Q. Huang, Y. Chen, Robust adaptive controller with disturbance observer for vehicular radar servo system, Int. J. Control. Autom., 9 (2011), 169–175. https://doi.org/10.1007/s12555-011-0122-6 doi: 10.1007/s12555-011-0122-6
    [4] K. D. Young, V. I. Utkin, U. Ozguner, A control engineer's guide to sliding mode control, IEEE. T. Contr. Syst. T., 7 (1999), 328–342. https://doi.org/10.1109/87.761053 doi: 10.1109/87.761053
    [5] Z. K. Xiong, T. F. Chen, Research on Precise Aiming Control Technology, High Power Laser and Particle Beams, 2012. https://doi.org/10.2514/3.44674 doi: 10.2514/3.44674
    [6] Q. P. Ha, Q. H. Nguyen, D. C. Rye, H. F. Durrant-Whyte, Fuzzy sliding-mode controllers with applications, IEEE. T. Ind. Electron., 48 (2001), 38–46. https://doi.org/10.1109/41.904548 doi: 10.1109/41.904548
    [7] M. Ertugrul, O. Kaynak, Neuro sliding mode control of robotic manipulators, Mechatronics, 10 (2000), 239–263. https://doi.org/10.1016/S0957-4158(99)00057-4 doi: 10.1016/S0957-4158(99)00057-4
    [8] F. J. Lin, W. D. Chou, An induction motor servo drive using sliding-mode controller with geneticalgorithm, Electr. Pow. Syst. Res., 64 (2003), 93–108. https://doi.org/10.1016/S0378-7796(02)00156-6 doi: 10.1016/S0378-7796(02)00156-6
    [9] F. J. Lin, P. H. Shen, S. P. Hsu, Adaptive backstepping sliding mode control for linear induction motordrive, IEE. Procee. Electr. Power. Appl., 149 (2002), 184–194. https://doi.org/10.1049/ip-epa:20020138 doi: 10.1049/ip-epa:20020138
    [10] M. Smaoui, X. Brun, D. Thomasset, Systematic control of an electropneumatic system: integrator backstepping and sliding mode control, IEEE. Trans. Control Syst. Technol., 14 (2006), 905–913. https://doi.org/10.1109/TCST.2006.880183 doi: 10.1109/TCST.2006.880183
    [11] F. Cao, Y. Liu, X. Yang, Y. Peng, D. Miao, Neural-network-based sliding mode control for missile electro-hydraulic servo mechanism, In Int. Confer. Neural Inf. Process., Springer, Berlin, Heidelberg, 2006. https://doi.org/10.1007/11893295_66
    [12] S. M. Lu, D. J. Li, Adaptive neural network control for nonlinear hydraulic servo-system with time-varying state constraints, Complexity, 2017. https://doi.org/10.1155/2017/6893521 doi: 10.1155/2017/6893521
    [13] Y. Huang, Y. Zhang, P. Min, Indirect dynamic recurrent fuzzy neural network and its application in identification and control of electro-hydraulic servo system, Int. Symposium Intell. Comput. Appl., 10 (2009), 295–304. https://doi.org/10.1007/978-3-642-04962-0_34 doi: 10.1007/978-3-642-04962-0_34
    [14] S. He, N. Sepehri, Modeling and prediction of hydraulic servo actuators with neural networks, Proc. Am. Control Conf. (Cat. No. 99CH36251), 1999. https://doi.org/10.1109/ACC.1999.782458
    [15] M. Gong, D. Zhao, W. Gong, T. Ni, D. Ding, The Position Control of Electrohydraulic Servo Manipulator Based on Neural Network, J. Jilin. Univ. Technol., 32 (2002). https://doi.org/10.13229/j.cnki.jdxbgxb2002.03.004 doi: 10.13229/j.cnki.jdxbgxb2002.03.004
    [16] H. X. Zheng, M. H. Huang, L. H. Zhan, Y. Zhu, P. Liu, Research on High Precision Servo System of Actuator Based on PID Parameter Stability Domain Under Mixed Sensitivity Constraint, J. Electr. Eng. Technol., 16 (2021), 1651–1665. https://doi.org/10.1007/s42835-021-00686-9 doi: 10.1007/s42835-021-00686-9
    [17] S. Chen, L. Yang, Y. Liu, Research on Radar Servo Control System Based on Neuron Adaptive PID Control, J. Phys. Conference Series, IOP Publishing, 2020. https://doi:10.1088/1742-6596/1550/6/062002
    [18] S. Ozturk, B. Akdemir, Automatic leaf segmentation using grey wolf optimizer based neural network, 2017 Electronics, IEEE, 2017, 1–6. https://doi.org/10.1109/ELECTRONICS.2017.7995228
    [19] Ş. Öztürk, R. Ahmad, N. Akhtar, Variants of Artificial Bee Colony algorithm and its applications in medical image processing, Appl Soft Comput., 97 (2020), 106799. https://doi.org/10.1016/j.asoc.2020.106799 doi: 10.1016/j.asoc.2020.106799
    [20] E. D. P. Puchta, H. V. Siqueira, M. dos Santos Kaster, Optimization tools based on metaheuristics for performance enhancement in a Gaussian adaptive PID controller, IEEE Trans. Cybern., 50 (2019), 1185–1194. https://doi.org/10.1109/TCYB.2019.2895319 doi: 10.1109/TCYB.2019.2895319
    [21] E. D. Puchta, R. Lucas, F. R. Ferreira, H. V. Siqueira, M. S. Kaster, Gaussian adaptive PID control optimized via genetic algorithm applied to a step-down DC-DC converter, 2016 12th IEEE Int. Conf. Ind. Appl. (INDUSCON), IEEE, 2016, 1–6. https://doi.org/10.1109/INDUSCON.2016.7874509
    [22] M. T. Özdemi̇r, D. Öztürk, Comparative performance analysis of optimal PID parameters tuning based on the optics inspired optimization methods for automatic generation control, Energies., 10 (2017), 2134. https://doi.org/10.3390/en10122134 doi: 10.3390/en10122134
    [23] G. Chen, Z. Li, Z. Zhang, S. Li, An improved ACO algorithm optimized fuzzy PID controller for load frequency control in multi area interconnected power systems, IEEE Access, 8 (2019), 6429–6447. https://doi.org/10.1109/ACCESS.2019.2960380 doi: 10.1109/ACCESS.2019.2960380
    [24] B. Hekimoğlu, Optimal tuning of fractional order PID controller for DC motor speed control via chaotic atom search optimization algorithm, IEEE Access, 7 (2019), 38100–38114. https://doi.org/10.1109/ACCESS.2019.2905961 doi: 10.1109/ACCESS.2019.2905961
    [25] S. F. Hussain, A. Pervez, M. Hussain, Co-clustering optimization using Artificial Bee Colony (ABC)algorithm, Appl. Soft. Comput., 97 (2020), 106725. https://doi.org/10.1016/j.asoc.2020.106725 doi: 10.1016/j.asoc.2020.106725
    [26] G. Wu, X. Xiao, Speed Controller of Servo System Based on Self-tuning Control, Electric. Drive., 39 (2009), 47–50. https://doiorg/10.19457/j.1001 -2095.2009.10.011
    [27] H. Ji, Z. Li, K. Pan, Z. Zhang, Shipborne Radar Servo Control based on Neural Sliding Mode Variable Structure, 2018 IEEE 3rd Adv. Inf. Technol. Electron. Automation Control Conf. (IAEAC), 2018. https://doi.org/10.1109/IAEAC.2018.8577549 doi: 10.1109/IAEAC.2018.8577549
    [28] Karaboga, B. Akay, A comparative study of artificial bee colony algorithm, Appl. Math. Comput., 214 (2009), 108–132. https://doi.org/10.1016/j.amc.2009.03.090 doi: 10.1016/j.amc.2009.03.090
    [29] X. Zhou, H. Wang, M. Wang, J. Wan, Enhancing the modified artificial bee colony algorithm with neighborhood search, Soft Comput., 21 (2017), 2733–2743. https://doi.org/10.1007/s00500-015-1977-x doi: 10.1007/s00500-015-1977-x
    [30] G. Zhu, S. Kwong, Gbest-guided artificial bee colony algorithm for numerical function optimization, Appl. Math. Comput., 217 (2010), 3166–3173. https://doi.org/10.1016/j.amc.2010.08.049 doi: 10.1016/j.amc.2010.08.049
    [31] X. Zhou, Z. Wu, H. Wang, S. Rahnamayan, Gaussian bare-bones artificial bee colony algorithm, Soft. Comput., 20 (2016), 907–924. https://doi.org/10.1007/s00500-014-1549-5 doi: 10.1007/s00500-014-1549-5
    [32] H. Feng, W. Ma, C. Yin, D. Cao, Trajectory control of electro-hydraulic position servo system using improved PSO-PID controller, Autom. Constr., 127 (2021), 103722. https://doi.org/10.1016/j.autcon.2021.103722 doi: 10.1016/j.autcon.2021.103722
    [33] N. Jalali, H. Razmi, H. Doagou-Mojarrad, Optimized fuzzy self-tuning PID controller design based on Tribe-DE optimization algorithm and rule weight adjustment method for load frequency control of interconnected multi-area power systems, Appl. Soft Comput., 93 (2020), 106424. https://doi.org/10.1016/j.asoc.2020.106424 doi: 10.1016/j.asoc.2020.106424
    [34] S. Wang, H. Liang, J. Wang, GA PID control research in inverter motor speed governing system, J. Comput. Methods Sci., 19 (2019), 299–306. https://doi.org/10.3233/JCM-180869 doi: 10.3233/JCM-180869
  • Reader Comments
  • © 2022 the Author(s), licensee AIMS Press. This is an open access article distributed under the terms of the Creative Commons Attribution License (http://creativecommons.org/licenses/by/4.0)
通讯作者: 陈斌, bchen63@163.com
  • 1. 

    沈阳化工大学材料科学与工程学院 沈阳 110142

  1. 本站搜索
  2. 百度学术搜索
  3. 万方数据库搜索
  4. CNKI搜索

Metrics

Article views(4170) PDF downloads(145) Cited by(4)

Article outline

Figures and Tables

Figures(22)  /  Tables(10)

Other Articles By Authors

/

DownLoad:  Full-Size Img  PowerPoint
Return
Return

Catalog