Research article Special Issues

Process stability and microbial adaptation during temperature shift from thermophilic to mesophilic temperature in anaerobic digestion

  • Published: 09 February 2026
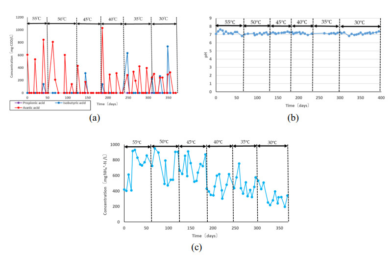
  • Thermophilic anaerobic digestion often achieves higher biogas yields than mesophilic conditions, but its high energy demand limits long-term sustainability. As a result, many thermophilic digesters may transition toward mesophilic conditions. This study examined the effects of stepwise temperature shift from thermophilic to mesophilic ranges on biogas production and microbial community dynamics, while identifying factors that support or inhibit methane generation. At 55 ℃ and 50 ℃, methane yields reached 342 and 311 mL CH4/g COD, respectively, with a predominance of hydrogenotrophic Methanobacterium, alongside abundant Coprothermobacter, Defluviitoga, Acetomicrobium, Candidatus Bipolaricaulis, Brachyspira, and Dictyoglomus, suggesting potential syntrophic interactions between these microorganisms. At 45 ℃ and 40 ℃, the methane yield declined to 234 and 219 mL CH4/g COD but recovered to 289 and 251 mL CH4/g COD at 35 ℃ and 30 ℃, respectively. In the mesophilic range, frequent accumulation of acetate and butyrate coincided with a methanogenic shift from hydrogenotrophic Methanobacterium to acetoclastic Methanothrix, indicating a pathway transition. These results reveal that lowering the digestion temperature from thermophilic to mesophilic conditions enables recovery of acetogenic activity and shifts methanogenesis from hydrogenotrophic to acetoclastic pathways, with implications for optimizing biogas production during long-term operation.

    Citation: Shingo Nakamura, Gede Adi Wiguna Sudiartha, Tsuyoshi Imai, Yung-Tse Hung. Process stability and microbial adaptation during temperature shift from thermophilic to mesophilic temperature in anaerobic digestion[J]. AIMS Environmental Science, 2026, 13(1): 39-55. doi: 10.3934/environsci.2026003

    Related Papers:

  • Thermophilic anaerobic digestion often achieves higher biogas yields than mesophilic conditions, but its high energy demand limits long-term sustainability. As a result, many thermophilic digesters may transition toward mesophilic conditions. This study examined the effects of stepwise temperature shift from thermophilic to mesophilic ranges on biogas production and microbial community dynamics, while identifying factors that support or inhibit methane generation. At 55 ℃ and 50 ℃, methane yields reached 342 and 311 mL CH4/g COD, respectively, with a predominance of hydrogenotrophic Methanobacterium, alongside abundant Coprothermobacter, Defluviitoga, Acetomicrobium, Candidatus Bipolaricaulis, Brachyspira, and Dictyoglomus, suggesting potential syntrophic interactions between these microorganisms. At 45 ℃ and 40 ℃, the methane yield declined to 234 and 219 mL CH4/g COD but recovered to 289 and 251 mL CH4/g COD at 35 ℃ and 30 ℃, respectively. In the mesophilic range, frequent accumulation of acetate and butyrate coincided with a methanogenic shift from hydrogenotrophic Methanobacterium to acetoclastic Methanothrix, indicating a pathway transition. These results reveal that lowering the digestion temperature from thermophilic to mesophilic conditions enables recovery of acetogenic activity and shifts methanogenesis from hydrogenotrophic to acetoclastic pathways, with implications for optimizing biogas production during long-term operation.



    加载中


    [1] Scarlat N, Dallemand JF, Fahl F (2018) Biogas: Developments and perspectives in Europe. Renew Energ 129: 457-472. https://doi.org/10.1016/j.renene.2018.03.006 doi: 10.1016/j.renene.2018.03.006
    [2] Kougias PG, Angelidaki I (2018) Biogas and its opportunities—A review. Front Env Sci Eng 12. https://doi.org/10.1007/s11783-018-1037-8 doi: 10.1007/s11783-018-1037-8
    [3] Jameel MK, Mustafa MA, Ahmed HS, et al. (2024) Biogas: Production, properties, applications, economic and challenges: A review. Results Chem 7: 101549. https://doi.org/10.1016/j.rechem.2024.101549 doi: 10.1016/j.rechem.2024.101549
    [4] Porté H, Kougias PG, Alfaro N, et al. (2019) Process performance and microbial community structure in thermophilic trickling biofilter reactors for biogas upgrading. Sci Total Environ 655: 529-538. https://doi.org/10.1016/j.scitotenv.2018.11.289 doi: 10.1016/j.scitotenv.2018.11.289
    [5] Madigou C, Cao KAL, Bureau, C, et al. (2019) Ecological consequences of abrupt temperature changes in anaerobic digesters. Chem Eng J 361: 266-277. https://doi.org/10.1016/j.cej.2018.12.003 doi: 10.1016/j.cej.2018.12.003
    [6] Pap B, Györkei Á, Boboescu IZ, et al. (2015) Temperature-dependent transformation of biogas-producing microbial communities points to the increased importance of hydrogenotrophic methanogenesis under thermophilic operation. Bioresource Technol 177: 375-380. https://doi.org/10.1016/j.biortech.2014.11.021 doi: 10.1016/j.biortech.2014.11.021
    [7] Unigarro GDJ, Martínez SG (2023) Methane production from ethanolic and acid fermentations of theorganic fraction of municipal solid waste under different PH and reaction times. Biochem Eng J 190: 108743. https://doi.org/10.1016/j.bej.2022.108743 doi: 10.1016/j.bej.2022.108743
    [8] Cesaro A (2021) The valorization of the anaerobic digestate from the organic fractions of municipal solid waste: Challenges and perspectives. J Environ Manage 280: 111742. https://doi.org/10.1016/j.jenvman.2020.111742 doi: 10.1016/j.jenvman.2020.111742
    [9] Kurade MB, Saha S, Salama E, et al. (2019) Acetoclastic methanogenesis led by methanosarcina in anaerobic co-digestion of fats, oil and grease for enhanced production of methane. Bioresource Technol 272: 351-359. https://doi.org/10.1016/j.biortech.2018.10.047 doi: 10.1016/j.biortech.2018.10.047
    [10] Ni R, Xu C, Shi X, et al. Acetoclastic methanogenesis pathway stability despite the high microbial taxonomic variability in the transition from acidogenesis to methanogenesis during food waste anaerobic digestion. J Clean Prod 372: 133758. https://doi.org/10.1016/j.jclepro.2022.133758
    [11] Mayumi D, Tamaki H, Kato S, et al. (2024) Hydrogenotrophic methanogens overwrite isotope signals of subsurface methane. Science 386: 1372-1376. https://doi.org/10.1126/science.ado0126 doi: 10.1126/science.ado0126
    [12] Ray S, Kuppam C, Pandit S, et al. (2023) Biogas upgrading by hydrogenotrophic methanogens: An overview. Waste Biomass Valori 14: 537-552. https://doi.org/10.1007/s12649-022-01888-6 doi: 10.1007/s12649-022-01888-6
    [13] Rodríguez JF, Pérez M, Romero LI (2016) Semicontinuous temperature-phased anaerobic digestion (TPAD) of organic fraction of municipal solid waste (OFMSW). Comparison with single-stage processes. Chem Eng J 285: 409-416. https://doi.org/10.1016/j.cej.2015.10.027 doi: 10.1016/j.cej.2015.10.027
    [14] Wang S, Ruan Y, Zhou W, et al. (2018) Net energy analysis of small-scale biogas self-supply anaerobic digestion system operated at psychrophilic to thermophilic conditions. J Clean Prod 174: 226-236. https://doi.org/10.1016/j.jclepro.2017.10.186 doi: 10.1016/j.jclepro.2017.10.186
    [15] Šafarič L, Yekta SS, Liu T, et al. (2018) Dynamics of a perturbed microbial community during thermophilic anaerobic digestion of chemically defined soluble organic compounds. Microorganisms 6. https://doi.org/10.3390/microorganisms6040105 doi: 10.3390/microorganisms6040105
    [16] Mirmasoumi S, Ebrahimi S, Saray RK (2018) Enhancement of biogas production from sewage sludge in a wastewater treatment plant: Evaluation of pretreatment techniques and co-digestion under mesophilic and thermophilic conditions. Energy 157: 707-717. https://doi.org/10.1016/j.energy.2018.06.003 doi: 10.1016/j.energy.2018.06.003
    [17] Kasinski S (2020) Mesophilic and thermophilic anaerobic digestion of organic fraction separated during mechanical heat treatment of municipal waste. Appl Sci 10: 2412. https://doi.org/10.3390/app10072412 doi: 10.3390/app10072412
    [18] Zhang X, Jiao P, Wang Y, et al. (2024) Optimizing anaerobic digestion: Benefits of mild temperature transition from thermophilic to mesophilic conditions. Environ Sci Ecotech 21: 100440. https://doi.org/10.1016/j.ese.2024.100440 doi: 10.1016/j.ese.2024.100440
    [19] Luo G, De Francisci D, Kougias PG, et al. (2015) New steady-state microbial community compositions and process performances in biogas reactors induced by temperature disturbances. Biotechnol. Biofuels 8: 3. https://doi.org/10.1186/s13068-014-0182-y doi: 10.1186/s13068-014-0182-y
    [20] Madigou C, Lê Cao KA, Bureau C, et al. (2019) Ecological consequences of abrupt temperature changes in anaerobic digesters. Chem Eng J 361: 266-277. https://doi.org/10.1016/j.cej.2018.12.003 doi: 10.1016/j.cej.2018.12.003
    [21] Sudiartha GAW, Imai T, Mamimin C, et al. (2023) Effects of temperature shifts on microbial communities and biogas production: An in-depth comparison. Fermentation 9: 642. https://doi.org/10.3390/fermentation9070642 doi: 10.3390/fermentation9070642
    [22] Sudiartha GAW, Imai T (2022) An investigation of temperature downshift influences on anaerobic digestion in the treatment of municipal wastewater sludge. J Water Environ Technol 20: 154-167. https://doi.org/10.2965/jwet.22-056 doi: 10.2965/jwet.22-056
    [23] Sudiartha GAW, Imai T, Chairattanamanokorn P, et al. (2024) Unveiling the impact of temperature shift on microbial community dynamics and metabolic pathways in anaerobic digestion. Process Saf Environ 186: 1505-1515. https://doi.org/10.1016/j.psep.2024.04.121 doi: 10.1016/j.psep.2024.04.121
    [24] Sudiartha GAW, Imai T, Reungsang A (2024) Syntrophic relationship among microbial communities enhance methane production during temperature transition from mesophilic to thermotolerant conditions. J Environ Chem Eng 12: 114903. https://doi.org/10.1016/j.jece.2024.114903 doi: 10.1016/j.jece.2024.114903
    [25] Zhou W, Imai T, Ukita M, et al. (2006) Triggering forces for anaerobic granulation in UASB reactors. Process Biochem 41: 36-43. https://doi.org/10.1016/j.procbio.2005.02.029 doi: 10.1016/j.procbio.2005.02.029
    [26] Sudiartha GAW, Imai T (2025) Harnessing conductive materials to reshape sewer microbiomes and mitigate corrosion from sulfide and hydrogen sulfide formation. Sci Rep 15: 21382. https://doi.org/10.1038/s41598-025-06099-2 doi: 10.1038/s41598-025-06099-2
    [27] Khanal SK (2008) Microbiology and biochemistry of anaerobic biotechnology, In: Anaerobic Biotechnology for Bioenergy Production, 29-41. https://doi.org/10.1002/9780813804545.ch2
    [28] APHA, AWWA, WEF (2005) Standard methods for the examination of water and wastewater, American Public Health Association: Washington.
    [29] Morita M, Sasaki K (2012) Factors influencing the degradation of garbage in methanogenic bioreactors and impacts on biogas formation. Appl Microbiol Biot 94: 575-582. https://doi.org/10.1007/s00253-012-3953-z doi: 10.1007/s00253-012-3953-z
    [30] Poulsen TG, Adelard L, Wells M (2017) Improvement in CH4/CO2 Ratio and CH4 Yield as related to biomass mix composition during anaerobic co-digestion. Waste Manage 61: 179-187. https://doi.org/10.1016/j.wasman.2016.11.009 doi: 10.1016/j.wasman.2016.11.009
    [31] Sudiartha GAW, Imai T, Hung YT (2022) Effects of stepwise temperature shifts in anaerobic digestion for treating municipal wastewater sludge: A genomic study. Int J Env Res Pub He 19: 5728. https://doi.org/10.3390/ijerph19095728 doi: 10.3390/ijerph19095728
    [32] Shaw GTW, Weng CY, Chen CY, et al. (2019) A systematic approach re-analyzing the effects of temperature disturbance on the microbial community of mesophilic anaerobic digestion. Sci Rep 9: 1-14. https://doi.org/10.1038/s41598-019-42987-0 doi: 10.1038/s41598-019-42987-0
    [33] Arelli V, Mamindlapelli NK, Begum S, et al. (2021) Solid state anaerobic digestion of food waste and sewage sludge: Impact of mixing ratios and temperature on microbial diversity, reactor stability and methane yield. Sci Total Environ 793: 148586. https://doi.org/10.1016/j.scitotenv.2021.148586 doi: 10.1016/j.scitotenv.2021.148586
    [34] Thukral AK, Bhardwaj R, Kumar V, et al. New indices regarding the dominance and diversity of communities, derived from sample variance and standard deviation. Heliyon 5: e02606. https://doi.org/10.1016/j.heliyon.2019.e02606
    [35] Steiniger B, Hupfauf S, Insam H, et al. (2023) Exploring anaerobic digestion from mesophilic to thermophilic temperatures—Operational and microbial aspects. Fermentation 9: 798. https://doi.org/10.3390/fermentation9090798 doi: 10.3390/fermentation9090798
    [36] Dyksma S, Jansen L, Galler C (2020) Syntrophic acetate oxidation replaces acetoclastic methanogenesis during thermophilic digestion of biowaste. Microbiome 8: 105. https://doi.org/10.1186/s40168-020-00862-5 doi: 10.1186/s40168-020-00862-5
    [37] Maus I, Cibis KG, Bremges A, et al. (2016) Genomic characterization of defluviitoga tunisiensis L3, a key hydrolytic bacterium in a thermophilic biogas plant and its abundance as determined by metagenome fragment recruitment. J Biotechnol 232: 50-60. https://doi.org/10.1016/j.jbiotec.2016.05.001 doi: 10.1016/j.jbiotec.2016.05.001
    [38] Nie E, He P, Zhang H, et al. How does temperature regulate anaerobic digestion? Renew Sust Energy Rev 150: 111453. https://doi.org/10.1016/j.rser.2021.111453
    [39] Levén L, Eriksson ARB, Schnürer A (2007) Effect of process temperature on bacterial and archaeal communities in two methanogenic bioreactors treating organic household waste. FEMS Microbiol Ecol 59: 683-693. https://doi.org/10.1111/j.1574-6941.2006.00263.x doi: 10.1111/j.1574-6941.2006.00263.x
    [40] Oliveira HR, Anacleto TM, Abreu F, et al. (2025) New insights into the factors influencing methanogenic pathways in anaerobic digesters. Anaerobe 91: 102925. https://doi.org/10.1016/j.anaerobe.2024.102925 doi: 10.1016/j.anaerobe.2024.102925
    [41] Qi M, Su X, Zhao W, et al. (2025) The characteristics of thermophilic anaerobic bacteria in coal and its methanogenesis mechanism. Fuel 381: 133730. https://doi.org/10.1016/j.fuel.2024.133730 doi: 10.1016/j.fuel.2024.133730
    [42] Sudiartha GAW (2022) An investigation of temperature downshift influences on anaerobic digestion in the treatment of municipal wastewater sludge. J Water Environ Technol 20: 154-167. https://doi.org/10.2965/jwet.22-056 doi: 10.2965/jwet.22-056
    [43] Tezel U, Tandukar M, Hajaya MG, et al. (2014) Transition of municipal sludge anaerobic digestion from mesophilic to thermophilic and long-term performance evaluation. Bioresource Technol 170: 385-394. https://doi.org/10.1016/j.biortech.2014.08.007 doi: 10.1016/j.biortech.2014.08.007
    [44] Lu Y, Fu L, Lu Y, et al. (2015) Effect of temperature on the structure and activity of a methanogenic archaeal community during rice straw decomposition. Soil Biol Biochem 81: 17-27. https://doi.org/10.1016/j.soilbio.2014.10.031 doi: 10.1016/j.soilbio.2014.10.031
    [45] Lavergne C, Muñoz PA, Calle N, et al. (2021) Temperature differently affected methanogenic pathways and microbial communities in sub-antarctic freshwater ecosystems. Environ Int 154: 106575. https://doi.org/10.1016/j.envint.2021.106575 doi: 10.1016/j.envint.2021.106575
    [46] Basu P, Kaushal P (2024) Energy and materials from biomass, In: Basu, P., Kaushal Pyrolysis, and Torrefaction (Fourth Edition), Academic Press, 455-489.
    [47] Kaur G, Zhu H, Dhawale DS, et al. (2025) A review on intermediate temperature electrochemical synthesis of Ammonia. Appl Energ 393: 126092. https://doi.org/10.1016/j.apenergy.2025.126092 doi: 10.1016/j.apenergy.2025.126092
    [48] Liu C, Li H, Zhang Y, et al. (2016) Evolution of microbial community along with increasing solid concentration during high-solids anaerobic digestion of sewage sludge. Bioresource Technol 216: 87-94. https://doi.org/10.1016/j.biortech.2016.05.048 doi: 10.1016/j.biortech.2016.05.048
    [49] Ling Z, Thakur N, El-Dalatony MM, et al. (2022) Protein biomethanation: Insight into the microbial nexus. Trends Microbiol 30: 69-78. https://doi.org/10.1016/j.tim.2021.06.004 doi: 10.1016/j.tim.2021.06.004
    [50] Demirel B, Scherer P (2008) The roles of acetotrophic and hydrogenotrophic methanogens during anaerobic conversion of biomass to methane: A Review. Rev Environ Sci Biotechnol 7: 173-190. https://doi.org/10.1007/s11157-008-9131-1 doi: 10.1007/s11157-008-9131-1
    [51] Yan M, Treu L, Zhu X, et al. (2020) Insights into Ammonia adaptation and methanogenic precursor oxidation by genome-centric analysis. Environ Sci Technol 54: 12568-12582. https://doi.org/10.1021/acs.est.0c01945 doi: 10.1021/acs.est.0c01945
    [52] Wang Z, Wang S, Hu Y, et al. (2022) Distinguishing responses of acetoclastic and hydrogenotrophic methanogens to Ammonia stress in mesophilic mixed cultures. Water Res 224: 119029. https://doi.org/10.1016/j.watres.2022.119029 doi: 10.1016/j.watres.2022.119029
    [53] Li C, Hao L, Lü F, et al. (2022) Syntrophic acetate-oxidizing microbial consortia enriched from full-scale mesophilic food waste anaerobic digesters showing high biodiversity and functional redundancy. mSystems 7. https://doi.org/10.1128/msystems.00339-22 doi: 10.1128/msystems.00339-22
    [54] Soutschek E, Winter J, Schindler F, et al. (1984) Acetomicrobium flavidum, Gen. Nov., Sp. Nov., a thermophilic, anaerobic bacterium from sewage sludge, forming acetate, CO2 and H2 from Glucose. Syst Appl Microbiol 5: 377-390. https://doi.org/10.1016/S0723-2020(84)80039-9
    [55] Maus I, Koeck, DE, Cibis KG, et al. (2016) Unraveling the microbiome of a thermophilic biogas plant by Metagenome and Metatranscriptome analysis complemented by characterization of bacterial and archaeal isolates. Biotechnol Biofuels 9: 171. https://doi.org/10.1186/s13068-016-0581-3 doi: 10.1186/s13068-016-0581-3
    [56] Hao L, McIlroy SJ, Kirkegaard RH, et al. (2018) Novel prosthecate bacteria from the candidate Phylum Acetothermia. ISME J 12: 2225-2237. https://doi.org/10.1038/s41396-018-0187-9 doi: 10.1038/s41396-018-0187-9
    [57] Harirchi S, Wainaina S, Sar T, et al. (2022) Microbiological insights into anaerobic digestion for biogas, hydrogen or Volatile Fatty Acids (VFAs): A review. Bioengineered 13: 6521-6557. https://doi.org/10.1080/21655979.2022.2035986 doi: 10.1080/21655979.2022.2035986
    [58] Guo B, Zhang Y, Zhang L, et al. (2020) RNA-based spatial community analysis revealed intra-reactor variation and expanded collection of direct interspecies electron transfer microorganisms in anaerobic digestion. Bioresource Technol 298: 122534. https://doi.org/10.1016/j.biortech.2019.122534 doi: 10.1016/j.biortech.2019.122534
    [59] Favale N, Costa S, Summa D, et al. (2025) Comparison of microbiome community structure and dynamics during anaerobic digestion of different renewable solid wastes. Curr Res Microb Sci 8: 100383. https://doi.org/10.1016/j.crmicr.2025.100383 doi: 10.1016/j.crmicr.2025.100383
    [60] Mathrani IM, Ahring BK (1992) Thermophilic and Alkalophilic Xylanases from several Dictyoglomus isolates. Appl Microbiol Biot 38: 23-27. https://doi.org/10.1007/BF00169413 doi: 10.1007/BF00169413
  • Reader Comments
  • © 2026 the Author(s), licensee AIMS Press. This is an open access article distributed under the terms of the Creative Commons Attribution License (http://creativecommons.org/licenses/by/4.0)
通讯作者: 陈斌, bchen63@163.com
  • 1. 

    沈阳化工大学材料科学与工程学院 沈阳 110142

  1. 本站搜索
  2. 百度学术搜索
  3. 万方数据库搜索
  4. CNKI搜索

Metrics

Article views(1337) PDF downloads(99) Cited by(0)

Article outline

Figures and Tables

Figures(5)  /  Tables(2)

/

DownLoad:  Full-Size Img  PowerPoint
Return
Return

Catalog