Research article

A multi-task model for failure identification and GPS assessment in metro trains

  • Published: 25 November 2024
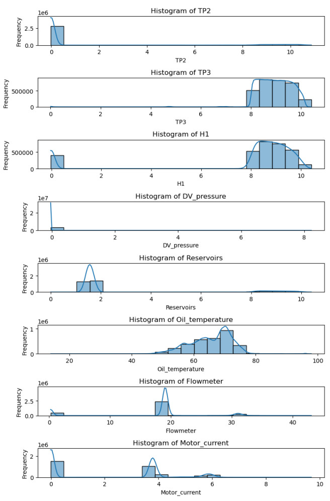
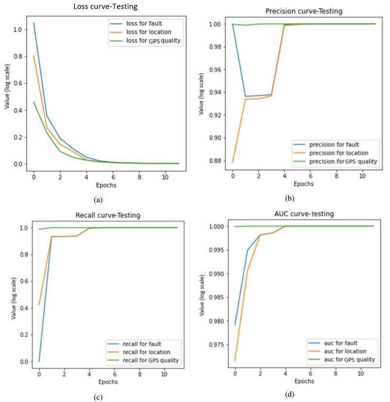
  • Air and oil leaks are two of the predominant operational failures in metro trains, which can cause severe issues and a lot of downtime. Predictive maintenance on such machinery can be of great use. This work aimed to develop a deep learning algorithm for fault analysis in metro trains. The MetroPT dataset was used for this work. A multi-task artificial neural network was developed for the simultaneous identification of failures and GPS quality assessment. The network had common dense, batch normalization, and Gaussian noise layers, followed by output sigmoid layers for each output. The algorithm was trained for 20 epochs with a batch size of 5000 using the using Adam optimizer. The local interpretable model agnostic explanations (LIME) technique was used to provide explanations for the model predictions. Finally, a dashboard was developed for the same application consisting of the best-trained algorithm for decision-making, along with trend visualizations and explanations. The developed multi-task model produced 98.89$ \% $, 99.12$ \% $, and 99.24$ \% $ accuracies in the testing set for failure type, failure location, and GPS quality predictions, respectively. The model produced 99.56$ \% $, 99.67$ \% $, and 99.84$ \% $ precision in the testing set for failure type, failure location, and GPS quality predictions, respectively. The loss values for the trained model on the testing set were 0.0035, 0.0026, and 0.0033 for the three tasks, respectively. The deep learning model took 43 seconds for training and 1 second for inferencing for test data. The LIME technique produced explanations for each predictive task with feature importance in positive and negative impacts. On the whole, the proposed framework can be effective for fast and accurate fault analysis in metro trains.

    Citation: Pratik Vinayak Jadhav, Sairam V. A, Siddharth Sonkavade, Shivali Amit Wagle, Preksha Pareek, Ketan Kotecha, Tanupriya Choudhury. A multi-task model for failure identification and GPS assessment in metro trains[J]. AIMS Environmental Science, 2024, 11(6): 960-986. doi: 10.3934/environsci.2024048

    Related Papers:

  • Air and oil leaks are two of the predominant operational failures in metro trains, which can cause severe issues and a lot of downtime. Predictive maintenance on such machinery can be of great use. This work aimed to develop a deep learning algorithm for fault analysis in metro trains. The MetroPT dataset was used for this work. A multi-task artificial neural network was developed for the simultaneous identification of failures and GPS quality assessment. The network had common dense, batch normalization, and Gaussian noise layers, followed by output sigmoid layers for each output. The algorithm was trained for 20 epochs with a batch size of 5000 using the using Adam optimizer. The local interpretable model agnostic explanations (LIME) technique was used to provide explanations for the model predictions. Finally, a dashboard was developed for the same application consisting of the best-trained algorithm for decision-making, along with trend visualizations and explanations. The developed multi-task model produced 98.89$ \% $, 99.12$ \% $, and 99.24$ \% $ accuracies in the testing set for failure type, failure location, and GPS quality predictions, respectively. The model produced 99.56$ \% $, 99.67$ \% $, and 99.84$ \% $ precision in the testing set for failure type, failure location, and GPS quality predictions, respectively. The loss values for the trained model on the testing set were 0.0035, 0.0026, and 0.0033 for the three tasks, respectively. The deep learning model took 43 seconds for training and 1 second for inferencing for test data. The LIME technique produced explanations for each predictive task with feature importance in positive and negative impacts. On the whole, the proposed framework can be effective for fast and accurate fault analysis in metro trains.



    加载中


    [1] Muchiri P, Pintelon L. (2008) Performance measurement using overall equipment effectiveness (OEE): literature review and practical application discussion. Int J Prod Res 46: 3517-3535. https://doi.org/10.1080/00207540701290454 doi: 10.1080/00207540701290454
    [2] Pashami S, Nowaczyk S, Fan Y, Jakubowski J, Paiva N, Davari N, Bobek S, Jamshidi S, Sarmadi H, Alabdallah A, et al. (2023) Explainable Predictive Maintenance. arXiv preprint arXiv: 2306.05120.
    [3] Mallia J, Francalanza E, Xuereb PA, Refalo P. (2023) Intelligent Approaches for Anomaly Detection in Compressed Air Systems: A Systematic Review. Machines 11: 750. https://doi.org/10.3390/machines11070750 doi: 10.3390/machines11070750
    [4] Ding J, Zuo J. (2023) Analysis of leakage fault characteristics of air control valves in train braking system. In: Sixth International Conference on Traffic Engineering and Transportation System (ICTETS 2022), SPIE, 12591: 71-78.
    [5] Tian W, Wang W, Lu Z, Wang Z, Hua W, Cheng M. (2022) Collaborative control for half-centralized open-end winding permanent-magnet linear motor drive systems. IEEE Trans Power Electron 37: 10399-10411. https://doi.org/10.1109/TPEL.2022.3143292 doi: 10.1109/TPEL.2022.3143292
    [6] Pejić Bach M, Topalović A, Krstić Ž, Ivec A. (2023) Predictive Maintenance in Industry 4.0 for the SMEs: A Decision Support System Case Study Using Open-Source Software. Designs 7: 98. https://doi.org/10.3390/designs7040098 doi: 10.3390/designs7040098
    [7] Çınar ZM, Nuhu AN, Zeeshan Q, Korhan O, Asmael M, Safaei B. (2020) Machine Learning in Predictive Maintenance towards Sustainable Smart Manufacturing in Industry 4.0. Sustainability 12: 8211. https://doi.org/10.3390/su12198211 doi: 10.3390/su12198211
    [8] Xu G, Liu M, Wang J, Ma Y, Wang J, Li F, Shen W. (2019) Data-Driven Fault Diagnostics and Prognostics for Predictive Maintenance: A Brief Overview. In: 15th IEEE International Conference on Automation Science and Engineering (CASE), 103-108. https://doi.org/10.1109/COASE.2019.8843068
    [9] Xu H, Sun Z, Cao Y, Bilal H. (2023) A data-driven approach for intrusion and anomaly detection using automated machine learning for the Internet of Things. Soft Comput 27: 14469-14481. https://doi.org/10.1007/s00500-023-09037-4 doi: 10.1007/s00500-023-09037-4
    [10] Kotsiopoulos T, Sarigiannidis P, Ioannidis D, Tzovaras D. (2020) Machine Learning and Deep Learning in Smart Manufacturing: The Smart Grid Paradigm. Comput Sci Rev 40: 100341. https://doi.org/10.1016/j.cosrev.2020.100341 doi: 10.1016/j.cosrev.2020.100341
    [11] Sun X, Ling KV, Sin KK, Liu Y. (2021) Air Leakage Detection of Pneumatic Train Door Subsystems Using Open Set Recognition. IEEE Trans Instrum Meas 1-1. https://doi.org/10.1109/TIM.2021.3096267
    [12] Lee WJ. (2020) Anomaly Detection and Severity Prediction of Air Leakage in Train Braking Pipes. Int J Progn Health Manag Available from: https://api.semanticscholar.org/CorpusID: 204779350
    [13] Rajashekarappa M, Lene J, Turanoğlu Bekar E, Skoogh A, Karlsson A. (2021) A Data-Driven Approach to Air Leakage Detection in Pneumatic Systems. In: 2021 Prognostics and Health Management Conference (PHM), 1-7. https://doi.org/10.1109/PHM-Nanjing52125.2021.9612973
    [14] Sulaiman N, Abdullah MP, Abdullah H, Zainudin M, Yusop A. (2020) Fault detection for air conditioning system using machine learning. IAES Int J Artif Intell 9: 109-116. https://doi.org/10.11591/ijai.v9.i1.pp109-116 doi: 10.11591/ijai.v9.i1.pp109-116
    [15] Najjar A, Ashqar H, Hasasneh A. (2023) Predictive Maintenance of Urban Metro Vehicles: Classification of Air Production Unit Failures Using Machine Learning. In press.
    [16] Davari N, Veloso B, Ribeiro R, Pereira P, Gama J. (2021) Predictive maintenance based on anomaly detection using deep learning for air production unit in the railway industry. In: 7th IEEE International Conference on Data Science and Advanced Analytics (DSAA), 1-10. https://doi.org/10.1109/DSAA53316.2021.9564181
    [17] Veloso B, Ribeiro R, Gama J, Pereira P. (2022) The MetroPT dataset for predictive maintenance. Sci Data 9: Article 1877. https://doi.org/10.1038/s41597-022-01877-3 doi: 10.1038/s41597-022-01877-3
    [18] O, Al Mamlook RE, Shehadeh A, Munir T. (2024) Empirical exploration of predictive maintenance in concrete manufacturing: Harnessing machine learning for enhanced equipment reliability in construction project management. Comput Ind Eng 110046. https://doi.org/10.1016/j.cie.2024.110046
    [19] Alshboul O, Almasabha G, Shehadeh A, Al-Shboul K. (2024) A comparative study of LightGBM, XGBoost, and GEP models in shear strength management of SFRC-SBWS. In: Structures 61: 106009. https://doi.org/10.1016/j.istruc.2023.106009
    [20] Hung YH, Lee CY. (2024) BMB-LIME: LIME with modeling local nonlinearity and uncertainty in explainability. Knowl Based Syst 294: 111732. https://doi.org/10.1016/j.knosys.2023.111732 doi: 10.1016/j.knosys.2023.111732
    [21] Jadhav PV, Sairam VA, Sonkavade S. (2023) Predictive Maintenance Dashboard. Available from: https://dashboard-for-predictive-maintenance.streamlit.app
  • Reader Comments
  • © 2024 the Author(s), licensee AIMS Press. This is an open access article distributed under the terms of the Creative Commons Attribution License (http://creativecommons.org/licenses/by/4.0)
通讯作者: 陈斌, bchen63@163.com
  • 1. 

    沈阳化工大学材料科学与工程学院 沈阳 110142

  1. 本站搜索
  2. 百度学术搜索
  3. 万方数据库搜索
  4. CNKI搜索

Metrics

Article views(2953) PDF downloads(120) Cited by(1)

Article outline

Figures and Tables

Figures(14)  /  Tables(10)

/

DownLoad:  Full-Size Img  PowerPoint
Return
Return

Catalog