Research article

Fluoride removal from water using Al(OH)$ _3 $-surface modified diatomite mixed with brick: optimization, isotherm and kinetic studies

  • Published: 29 May 2024
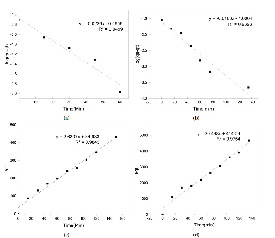
  • Excess fluoride in drinking water causes both dental and skeletal fluorosis among other problems. As such there is need to develop affordable and easily accessible techniques for fluoride removal from drinking water. This work assessed surface modified diatomite mixed with brick for fluoride removal. Diatomite samples were modified using aluminium hydroxide and the mixture was optimized for fluoride removal through response surface methodology (RSM) using the Box-Wilson central composite design. Batch experiments showed that, individually, a 28 g/L dose of the surface modified diatomite sufficiently removed fluoride to the acceptable level of 1.5 mg/L from an initial concentration of 10 mg/L fluoride while a 300 g/L dose of brick powder was required to remove an equal amount of fluoride in the same water samples. RSM optimization showed that a mixture of surface modified diatomite and brick in the mass ratio 1.8:17.8 grams per milligram of fluoride in water can be used to remove fluoride in water to an acceptable level. Adsorption of fluoride by surface modified diatomite fit better into the Freundlich adsorption isotherm (R$ ^2 $ = 0.9753) compared to the Langmuir (R$ ^2 $ = 0.8954), while adsorption by brick better fit the Langmuir adsorption mechanism (R$ ^2 $ = 0.9804) in comparison to the Freundlich adsorption (R$ ^2 $ = 0.9372). Kinetic studies revealed that chemisorption was the main mechanism for both surface modified diatomite and brick adsorbents. Conclusively, an optimal mixture of surface modified diatomite and brick can be successfully used for fluoride removal in areas for which water has high fluoride contamination.

    Citation: Isaiah Kiprono Mutai, Henry Kirimi Kiriamiti, Milton M M'Arimi, Robert Kimutai Tewo. Fluoride removal from water using Al(OH)$ _3 $-surface modified diatomite mixed with brick: optimization, isotherm and kinetic studies[J]. AIMS Environmental Science, 2024, 11(3): 360-379. doi: 10.3934/environsci.2024017

    Related Papers:

  • Excess fluoride in drinking water causes both dental and skeletal fluorosis among other problems. As such there is need to develop affordable and easily accessible techniques for fluoride removal from drinking water. This work assessed surface modified diatomite mixed with brick for fluoride removal. Diatomite samples were modified using aluminium hydroxide and the mixture was optimized for fluoride removal through response surface methodology (RSM) using the Box-Wilson central composite design. Batch experiments showed that, individually, a 28 g/L dose of the surface modified diatomite sufficiently removed fluoride to the acceptable level of 1.5 mg/L from an initial concentration of 10 mg/L fluoride while a 300 g/L dose of brick powder was required to remove an equal amount of fluoride in the same water samples. RSM optimization showed that a mixture of surface modified diatomite and brick in the mass ratio 1.8:17.8 grams per milligram of fluoride in water can be used to remove fluoride in water to an acceptable level. Adsorption of fluoride by surface modified diatomite fit better into the Freundlich adsorption isotherm (R$ ^2 $ = 0.9753) compared to the Langmuir (R$ ^2 $ = 0.8954), while adsorption by brick better fit the Langmuir adsorption mechanism (R$ ^2 $ = 0.9804) in comparison to the Freundlich adsorption (R$ ^2 $ = 0.9372). Kinetic studies revealed that chemisorption was the main mechanism for both surface modified diatomite and brick adsorbents. Conclusively, an optimal mixture of surface modified diatomite and brick can be successfully used for fluoride removal in areas for which water has high fluoride contamination.



    加载中


    [1] M Goldberg (2018) Fluoride: double-edged sword implicated in caries prevention and in fluorosis. J Cell Dev Biol 1: 10–22.
    [2] Paul TC Harrison (2005) Fluoride in water: a uk perspective. J Fluorine Chem 126:1448–1456. doi: 10.1016/j.jfluchem.2005.09.009
    [3] Cyprian Murutu, Maurice S Onyango, Aoyi Ochieng, et al. (2012) Fluoride removal performance of phosphoric acid treated lime: Breakthrough analysis and point-of-use system performance. Water SA 38:279–286.
    [4] Marc J Addison, Michael O Rivett, Helen Robinson, et al. (2020) Fluoride occurrence in the lower east african rift system, southern malawi. Sci Total Environ 712: 136260. doi: 10.1016/j.scitotenv.2019.136260
    [5] Paulo Frazão, Marco A Peres, Jaime A Cury (2021) Drinking water quality and fluoride concentration. Revista de saude publica 45: 964–973. doi: 10.1590/S0034-89102011005000046
    [6] Habtamu Demelash, Abebe Beyene, Zewdu Abebe, et al. (2019) Fluoride concentration in ground water and prevalence of dental fluorosis in ethiopian rift valley: systematic review and meta-analysis. BMC Public Health 19: 1–9. doi: 10.1186/s12889-018-6343-3
    [7] Masoud Ghanbarian, Marjan Ghanbarian, Tayebeh Tabatabaie, et al. (2021) Distributing and assessing fluoride health risk in urban drinking water resources in fars province, iran, using the geographical information system. Environ Geochem Health 1–11.
    [8] Wiem Guissouma, Othman Hakami, Abdul Jabbar Al-Rajab, et al. (2017) Risk assessment of fluoride exposure in drinking water of tunisia. Chemosphere 177: 102–108. doi: 10.1016/j.chemosphere.2017.03.011
    [9] Piotr Rusiniak, Klaudia Sekuła, Ondra Sracek, et al. (2021) Fluoride ions in groundwater of the turkana county, kenya, east africa. Acta Geochimica 40: 945–9601. doi: 10.1007/s11631-021-00481-3
    [10] Steve Mkawale (2021) High levels of fluoride in lake aggravate dental health crisis in baringo. Standard Media.
    [11] Eric Matara (2021) Villagers crippled by lake baringo poisonous waters. Nation Africa 1.
    [12] Joseph K Gikunju, Timothy E Maitho, Jan M Birkeland, et al. (1992) Fluoride in fish from lakes of great rift valley, kenya. Ecol Food Nutr 27: 85–90. doi: 10.1080/03670244.1992.9991230
    [13] Enos W Wambu, Gerald Kanyago Muthakia. (2011) High fluoride water in the gilgil area of nakuru county, kenya. 2011.
    [14] Shikha Modi, Ranjeeta Soni (2013) Merits and demerits of different technologies of defluoridation for drinking water. J Environ Sci Toxicol Food Technol 3: 24–7.
    [15] Karan Dev Jamwal, Deepika Slathia (2022) A review of defluoridation techniques of global and indian prominence. Curr World Environ 17: 41–57. doi: 10.12944/CWE.17.1.5
    [16] Parwathi Pillai, Swapnil Dharaskar, Sivakumar Pandian, et al. (2021) Overview of fluoride removal from water using separation techniques. Environ Technol Inno 21: 101246. doi: 10.1016/j.eti.2020.101246
    [17] Shaz Ahmad, Reena Singh, Tanvir Arfin, et al. (2022) Fluoride contamination, consequences and removal techniques in water: a review. Environ Sci Adv 1: 620–661. doi: 10.1039/D1VA00039J
    [18] P Senthil Kumar, S Suganya, S Srinivas, et al. (2019). Treatment of fluoride-contaminated water. a review. Environ Chem Lett 17: 1707–1726. doi: 10.1007/s10311-019-00906-9
    [19] Carl Francis Z Lacson, Ming-Chun Lu, Yao-Hui Huang (2021) Fluoride-containing water: A global perspective and a pursuit to sustainable water defluoridation management-an overview. J Clean Prod 280: 124236. doi: 10.1016/j.jclepro.2020.124236
    [20] Paripurnanda Loganathan, Saravanamuthu Vigneswaran, Jaya Kandasamy (2013) Enhanced removal of nitrate from water using surface modification of adsorbents–a review. J Environ Manage 131: 363–374. doi: 10.1016/j.jenvman.2013.09.034
    [21] Ganesan Sriram, Madhuprasad Kigga, UT Uthappa, et al. (2020) Naturally available diatomite and their surface modification for the removal of hazardous dye and metal ions: a review. Adv Colloid Interfac Sci 282: 102198. doi: 10.1016/j.cis.2020.102198
    [22] Tesfaye Akafu, Achalu Chimdi, Kefyalew Gomoro (2019) Removal of fluoride from drinking water by sorption using diatomite modified with aluminum hydroxide. J Anal Methods Chem 2019.
    [23] Majeda AM Khraisheh, Yahya S Al-degs, Wendy AM Mcminn (2001) Remediation of wastewater containing heavy metals using raw and modified diatomite. Chem Eng J 99: 177–184. doi: 10.1016/j.cej.2003.11.029
    [24] N Selvaraju, S Pushpavanam (2009) Adsorption characteristics on sand and brick beds. Chem Eng J 147: 130–138. doi: 10.1016/j.cej.2008.06.040
    [25] Arvind Kumar Swarnakar, Shweta Choubey, Santosh K Sar (2007) Defluoridation of water by various technique-a review. Int J Innov Res Sci Eng Technol 5: 13174–13178.
    [26] Sakuni M De Silva, Samitha Deraniyagala, Janitha K Walpita, et al. (2020) Masking ability of various metal complexing ligands at 1.0 mm concentrations on the potentiometric determination of fluoride in aqueous samples. J Anal Methods Chem 2020: 1–9. doi: 10.1155/2020/6683309
    [27] Sumit H Dhawane, Anoar Ali Khan, Kiran Singh, et al. (2018) Insight into optimization, isotherm, kinetics, and thermodynamics of fluoride adsorption onto activated alumina. Environ Prog Sustain 37: 766–776. doi: 10.1002/ep.12814
    [28] Palanikumar Kayaroganam (2021) Respon Sur Method Engin Sci. IntechOpen, Rijeka, Nov 2021.
    [29] Zhenshun Hong, Yoshitaka Tateishi, Jie Han (2006) Experimental study of macro-and microbehavior of natural diatomite. J Geotech Geoenviron 132: 603–610. doi: 10.1061/(ASCE)1090-0241(2006)132:5(603)
    [30] Anthony A Izuagie, Wilson M Gitari, Jabulani R Gumbo (2016) Defluoridation of groundwater using diatomaceous earth: optimization of adsorption conditions, kinetics and leached metals risk assessment. Desalin Water Treat 57: 16745–16757.
    [31] C Alonso, A Morato, F Medina, et al. (2000) Preparation and characterization of different phases of aluminum trifluoride. Chem Mater 12: 1148–1155. doi: 10.1021/cm991195g
    [32] Lu Xu, Xueli Gao, Zhaokui Li, et al. (2015) Removal of fluoride by nature diatomite from high-fluorine water: An appropriate pretreatment for nanofiltration process. Desalination 369: 97–104. doi: 10.1016/j.desal.2015.04.033
    [33] Chiharu Tokoro, Shinya Suzuki, Daisuke Haraguchi, et al. (2014) Silicate removal in aluminum hydroxide co-precipitation process. Materials 7: 1084–1096. doi: 10.3390/ma7021084
    [34] Xiaowei Ouyang, Liquan Wang, Jiyang Fu, et al. (2021) Surface properties of clay brick powder and its influence on hydration and strength development of cement paste. Constr Build Mater 300: 123958. doi: 10.1016/j.conbuildmat.2021.123958
    [35] Asheesh Kumar Yadav, CP Kaushik, Anil Kumar Haritash, et al. (2006) Defluoridation of groundwater using brick powder as an adsorbent. J Hazard Mater 128: 289–293. doi: 10.1016/j.jhazmat.2005.08.006
    [36] Anil Kumar, Abraham Chirchir, Saul S Namango, et al. (2022) Microwave irradiated transesterification of croton megalocarpus oil–process optimization using response surface methodology. In Proceed Sustain Res Innov Confer 132–137.
    [37] K Kadirvelu, C Karthika, N Vennilamani, et al. (2005) Activated carbon from industrial solid waste as an adsorbent for the removal of rhodamine-b from aqueous solution: Kinetic and equilibrium studies. Chemosphere 60: 1009–1017. doi: 10.1016/j.chemosphere.2005.01.047
    [38] V Gomez, MS Larrechi, MP Callao (2007) Kinetic and adsorption study of acid dye removal using activated carbon. Chemosphere 69: 1151–1158. doi: 10.1016/j.chemosphere.2007.03.076
    [39] Abhas Jain, SK Singh (2014) Defluoridation of water using alum impregnated brick powder and its comparison with brick powder. Int J Eng Sci Innov Technol 3: 591–6.
    [40] N Priyantha, C Senevirathna, P Gunathilake, et al. (2009) Adsorption behavior of fluoride at normal brick (nb)—water interface. Int J Environ Protec Sci 3: 140–146.
    [41] Fethi Kooli, Yan Liu, Mostafa Abboudi, et al. (2019) Waste bricks applied as removal agent of basic blue 41 from aqueous solutions: base treatment and their regeneration efficiency. Appl Sci 9: 1237. doi: 10.3390/app9061237
    [42] Andy Proctor, J.F. Toro-Vazquez (2019) Chapter 10 - the freundlich isotherm in studying adsorption in oil processing. In Gary R. List, editor, Bleaching and Purifying Fats and Oils (Second Edition) 209–219. AOCS Press, UK, second edition edition, 2009.
    [43] Mahir Alkan, Özkan Demirbaş, Mehmet Doğan (2007) Adsorption kinetics and thermodynamics of an anionic dye onto sepiolite. Micropor Mesopor Mat 101: 388–396. doi: 10.1016/j.micromeso.2006.12.007
  • Reader Comments
  • © 2024 the Author(s), licensee AIMS Press. This is an open access article distributed under the terms of the Creative Commons Attribution License (http://creativecommons.org/licenses/by/4.0)
通讯作者: 陈斌, bchen63@163.com
  • 1. 

    沈阳化工大学材料科学与工程学院 沈阳 110142

  1. 本站搜索
  2. 百度学术搜索
  3. 万方数据库搜索
  4. CNKI搜索

Metrics

Article views(3662) PDF downloads(213) Cited by(3)

Article outline

Figures and Tables

Figures(9)  /  Tables(6)

/

DownLoad:  Full-Size Img  PowerPoint
Return
Return

Catalog