Research article

Energy management system using load following- terminal slide mode control strategy in DC microgrid with hybrid energy storage system


  • Published: 03 February 2026
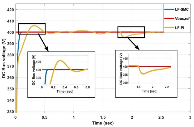
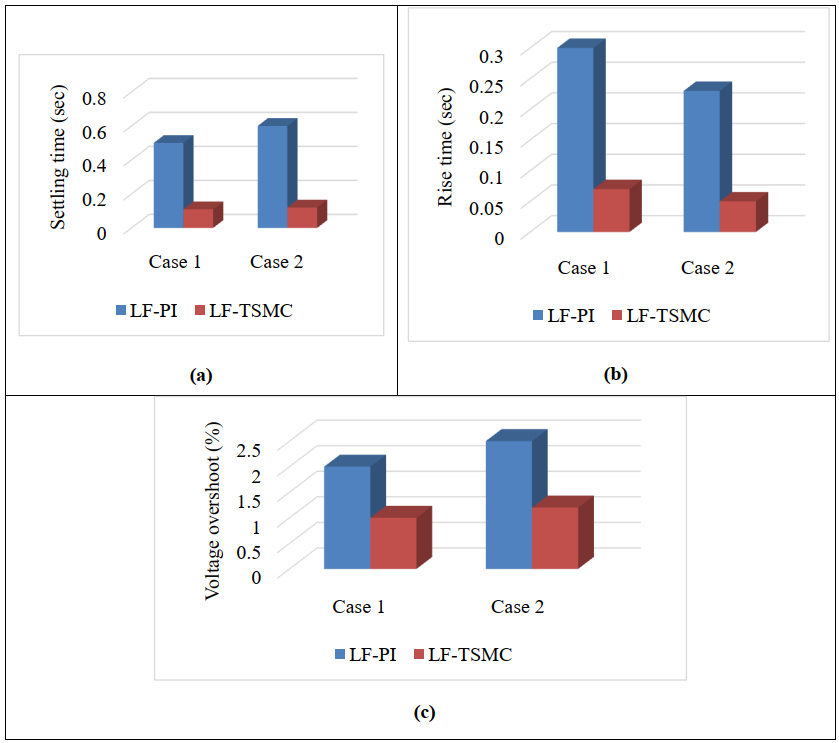
  • An Energy Management System (EMS) in a direct-current (DC) microgrid system is essential to manage renewable energy sources (RES), stored energy units, and demand load. However, the conventional load-following (LF)-based EMS strategy presents several issues due to its integration with proportional-integral (PI) controllers. These controllers have weak performance under sudden irradiation or demand load changes, which result in high overshoot, low convergence speed, and unwanted energy losses in DC microgrid responses. Therefore, this article introduces an improved LF strategy using the terminal-slide mode control (TSMC) method. Moreover, the studied power system consists of a photovoltaic (PV) system, a hybrid energy storage system (HESS) using lithium-ion batteries, and supercapacitors (SCs). The suggested EMS strategy aims to reduce the fluctuation of the grid voltage and enhance the reliability of the system under different irradiance and demand variations. It employs voltage regulation for the DC bus using a robust TSMC instead of using the classical PI controllers. The simulation was conducted using MATLAB/Simulink software. The obtained results indicate that the proposed LF-TSMC strategy can cancel the voltage overshoot, offer better settling time, and provide higher efficiency. Finally, the presented EMS introduces superior dynamics with a settling time of $ \left(<0.1s\right) $ and overshoot percentage of $ \left(1\%\right) $, compared with a settling time of $ \left(0.45s\right) $ and overshoot percentage of $ \left(2.5\%\right) $ for the classical LF-PI method.

    Citation: Wisam Raheem Resen, Sarah Sabeeh, Salam J. Yaqoob. Energy management system using load following- terminal slide mode control strategy in DC microgrid with hybrid energy storage system[J]. AIMS Electronics and Electrical Engineering, 2026, 10(1): 150-179. doi: 10.3934/electreng.2026007

    Related Papers:

  • An Energy Management System (EMS) in a direct-current (DC) microgrid system is essential to manage renewable energy sources (RES), stored energy units, and demand load. However, the conventional load-following (LF)-based EMS strategy presents several issues due to its integration with proportional-integral (PI) controllers. These controllers have weak performance under sudden irradiation or demand load changes, which result in high overshoot, low convergence speed, and unwanted energy losses in DC microgrid responses. Therefore, this article introduces an improved LF strategy using the terminal-slide mode control (TSMC) method. Moreover, the studied power system consists of a photovoltaic (PV) system, a hybrid energy storage system (HESS) using lithium-ion batteries, and supercapacitors (SCs). The suggested EMS strategy aims to reduce the fluctuation of the grid voltage and enhance the reliability of the system under different irradiance and demand variations. It employs voltage regulation for the DC bus using a robust TSMC instead of using the classical PI controllers. The simulation was conducted using MATLAB/Simulink software. The obtained results indicate that the proposed LF-TSMC strategy can cancel the voltage overshoot, offer better settling time, and provide higher efficiency. Finally, the presented EMS introduces superior dynamics with a settling time of $ \left(<0.1s\right) $ and overshoot percentage of $ \left(1\%\right) $, compared with a settling time of $ \left(0.45s\right) $ and overshoot percentage of $ \left(2.5\%\right) $ for the classical LF-PI method.



    加载中


    [1] Bharath KR, Krishnan MM, Kanakasabapathy P (2019) A review on DC microgrid control techniques, applications and trends. International Journal of Renewable Energy Research (IJRER) 9: 1328‒1338. https://doi.org/10.20508/ijrer.v9i3.9671.g7710 doi: 10.20508/ijrer.v9i3.9671.g7710
    [2] Abbas FA, Obed AA, Qasim MA, Yaqoob SJ, Ferahtia S (2022) An efficient energy-management strategy for a DC microgrid powered by a photovoltaic/fuel cell/battery/supercapacitor. Clean Energy 6: 827-839. https://doi.org/10.1093/ce/zkac063 doi: 10.1093/ce/zkac063
    [3] Grisales-Noreña LF, Ocampo-Toro JA, Montoya-Giraldo OD, Montano J, Hernandéz JC (2023) Optimal operation of battery storage systems in standalone and grid-connected DC microgrids using parallel metaheuristic optimization algorithms. J Energy Storage 65: 107240. https://doi.org/10.1016/j.est.2023.107240 doi: 10.1016/j.est.2023.107240
    [4] Almihat MGM (2023) An overview of AC and DC microgrid energy management systems. AIMS Energy 11: 1031‒1069. https://doi.org/10.3934/energy.2023049 doi: 10.3934/energy.2023049
    [5] Al-Ismail FS (2021) DC microgrid planning, operation, and control: A comprehensive review. IEEE Access 9: 36154‒36172. https://doi.org/10.1109/ACCESS.2021.3062840 doi: 10.1109/ACCESS.2021.3062840
    [6] Ali A, Farooq A, Muhammad Z, Habib F, Malik S (2015) A review: DC microgrid control and energy management system. energy sources (RES) 7: 10.
    [7] Basantes JA, Paredes DE, Llanos JR, Ortiz DE, Burgos CD (2023) Energy management system (EMS) based on model predictive control (MPC) for an isolated DC microgrid. Energies 16: 2912. https://doi.org/10.3390/en16062912 doi: 10.3390/en16062912
    [8] Ali S, Zheng Z, Aillerie M, Sawicki JP, Pera MC, Hissel D (2021) A review of DC Microgrid energy management systems dedicated to residential applications. Energies 14: 4308. https://doi.org/10.3390/en14144308 doi: 10.3390/en14144308
    [9] Modu B, Abdullah MP, Sanusi MA, Hamza MF (2023) DC-based microgrid: Topologies, control schemes, and implementations. Alex Eng J 70: 61‒92. https://doi.org/10.1016/j.aej.2022.11.010 doi: 10.1016/j.aej.2022.11.010
    [10] Boonraksa T, Pinthurat W, Wongdet P, Boonraksa P, Marungsri B, Hredzak B (2023) Optimal capacity and cost analysis of hybrid energy storage system in standalone DC microgrid. IEEE Access 11: 65496‒65506. https://doi.org/10.1109/ACCESS.2023.3289821 doi: 10.1109/ACCESS.2023.3289821
    [11] Kotra S, Mishra MK (2019) Design and stability analysis of DC microgrid with hybrid energy storage system. IEEE T Sustain Energy 10: 1603‒1612. https://doi.org/10.1109/TSTE.2019.2891255 doi: 10.1109/TSTE.2019.2891255
    [12] Li D, Ho CNM (2020) Decentralized PV–BES Coordination Control With Improved Dynamic Performance for Islanded Plug-n-Play DC Microgrid. IEEE J Em Sel Top Power Electron 9: 4992‒5001. https://doi.org/10.1109/JESTPE.2020.3039266 doi: 10.1109/JESTPE.2020.3039266
    [13] Roy TK, Pramanik MAH, Ghosh SK (2022) Design of an integral terminal-based sliding mode controller for PV and BESS-based DC microgrids. Energy Nexus 7: 100130. https://doi.org/10.1016/j.nexus.2022.100130 doi: 10.1016/j.nexus.2022.100130
    [14] Patel S, Ghosh A, Ray PK (2023) Efficient power management and control of DC microgrid with supercapacitor-battery storage systems. J Energy Storage 73: 109082. https://doi.org/10.1016/j.est.2023.109082 doi: 10.1016/j.est.2023.109082
    [15] Jahangir A, Mishra S (2018) Autonomous battery storage energy system control of PV-wind based DC microgrid. In 2018 2nd International Conference on Power, Energy and Environment: Towards Smart Technology (ICEPE), 1‒6. https://doi.org/10.1109/EPETSG.2018.8658550
    [16] Yaqoob SJ, Ferahtia S, Obed AA, Rezk H, Alwan NT, Zawbaa HM, et al. (2022) Efficient Flatness Based Energy Management Strategy for Hybrid Supercapacitor/Lithium-ion Battery Power System. IEEE Access 10: 132153‒132163. https://doi.org/10.1109/ACCESS.2022.3230333 doi: 10.1109/ACCESS.2022.3230333
    [17] Yaqoob SJ, Arnoos H, Qasim MA, Agyekum EB, Alzahrani A, Kamel S (2023) An optimal energy management strategy for a photovoltaic/li-ion battery power system for DC microgrid application. Front Energy Res 10: 1066231. https://doi.org/10.3389/fenrg.2022.1066231 doi: 10.3389/fenrg.2022.1066231
    [18] Sumarmad KAA, Sulaiman N, Wahab NIA, Hizam H (2022) Microgrid energy management system based on fuzzy logic and monitoring platform for data analysis. Energies 15: 4125. https://doi.org/10.3390/en15114125 doi: 10.3390/en15114125
    [19] Kim TG, Lee H, An CG, Kang KM, Yi J, Won CY (2021) Microgrid energy management system based ANN of the two-step structure. In 2021 24th International Conference on Electrical Machines and Systems (ICEMS), 319‒322. https://doi.org/10.23919/ICEMS52562.2021.9634545
    [20] Leonori S, Rizzi A, Paschero M, Mascioli FMF (2018) Microgrid energy management by ANFIS supported by an ESN based prediction algorithm. In 2018 International Joint Conference on Neural Networks (IJCNN), 1‒8. https://doi.org/10.1109/IJCNN.2018.8489018
    [21] Shakeel FM, Malik OP (2022) ANFIS based energy management system for V2G integrated micro-grids. Electric Pow Comp Syst 50: 584‒599. https://doi.org/10.1080/15325008.2022.2138638 doi: 10.1080/15325008.2022.2138638
    [22] Gugulothu R, Nagu B, Pullaguram D (2023) Energy management strategy for standalone DC microgrid system with photovoltaic/fuel cell/battery storage. J Energy Storage 57: 106274. https://doi.org/10.1016/j.est.2022.106274 doi: 10.1016/j.est.2022.106274
    [23] Yang Y, Yang Y, Xie C, Xu L, Liu Y, Shi H (2024) A hierarchical energy management strategy for DC microgrid hybrid energy storage systems based on fractional-order sliding mode controller. J Energy Storage 99: 113307. https://doi.org/10.1016/j.est.2024.113307 doi: 10.1016/j.est.2024.113307
    [24] Ali SU, Waqar A, Aamir M, Qaisar SM, Iqbal J (2023) Model predictive control of consensus-based energy management system for DC microgrid. PloS one 18: e0278110. https://doi.org/10.1371/journal.pone.0278110 doi: 10.1371/journal.pone.0278110
    [25] Montano J, Guzmán JP, Garzón OD, Barrera AMR (2024) Techno-economic approach for energy management system: Multi-objective optimization algorithms for energy storage in standalone and grid-connected DC microgrids. J Energy Storage 102: 114069. https://doi.org/10.1016/j.est.2024.114069 doi: 10.1016/j.est.2024.114069
    [26] Shyni R, Kowsalya M (2024) An LSTM-DDPG framework power management strategy for a heterogeneous energy storage system in a standalone DC microgrid. J Energy Storage 104: 114437. https://doi.org/10.1016/j.est.2024.114437 doi: 10.1016/j.est.2024.114437
    [27] Satyanarayana KV, Maurya R (2024) Unified control of high gain DC-DC converter for PV-battery hybrid system in a standalone and DC-microgrid applications. J Energy Storage 88: 111475. https://doi.org/10.1016/j.est.2024.111475 doi: 10.1016/j.est.2024.111475
    [28] Ramu SK, Vairavasundaram I, Palaniyappan B, Bragadeshwaran A, Aljafari B (2024) Enhanced energy management of DC microgrid: Artificial neural networks-driven hybrid energy storage system with integration of bidirectional DC-DC converter. J Energy Storage 88: 111562. https://doi.org/10.1016/j.est.2024.111562 doi: 10.1016/j.est.2024.111562
    [29] Mutlag AA, Abd MK, Shneen SW (2024) Power Management and Voltage Regulation in DC Microgrid with Solar Panels and Battery Storage System. Journal of Robotics and Control (JRC) 5: 397‒407. https://doi.org/10.18196/jrc.v5i2.20581 doi: 10.18196/jrc.v5i2.20581
    [30] Thomas T, Mishra MK, Kumar C, Liserre M (2024) Control of a PV-wind based DC microgrid with hybrid energy storage system using Lyapunov approach and sliding mode control. IEEE T Ind Appl 60: 3746‒3758. https://doi.org/10.1109/TIA.2023.3349359 doi: 10.1109/TIA.2023.3349359
    [31] Behera PK, Pattnaik M (2024) Hybrid energy storage integrated wind energy fed dc microgrid power distribution control and performance assessment. IEEE T Sustain Energy 15: 1502‒1514. https://doi.org/10.1109/TSTE.2024.3354309 doi: 10.1109/TSTE.2024.3354309
    [32] Montano J, Guzman-Rodriguez JP, Palomeque JM, Gonzalez-Montoya D (2024) Comparison of different optimization techniques applied to optimal operation of energy storage systems in standalone and grid-connected direct current microgrids. J Energy Storage 96: 112708. https://doi.org/10.1016/j.est.2024.112708 doi: 10.1016/j.est.2024.112708
    [33] Meng Q, He Y, Hussain S, Lu J, Guerrero JM (2025) Design and optimization of solar photovoltaic microgrids with adaptive storage control for residential standalone systems. Energy Reports 14: 989‒997. https://doi.org/10.1016/j.egyr.2025.06.048 doi: 10.1016/j.egyr.2025.06.048
    [34] Safder MU, Hossain MA, Sanjari MJ, Lu J (2024). Rule‐based energy management system for autonomous voltage stabilization in standalone DC microgrid. Energy Sci Eng 12: 4278‒4296. https://doi.org/10.1002/ese3.1873 doi: 10.1002/ese3.1873
    [35] Namani R, Subramaniam S, Samikannu S, Gurusamy M (2024) A simple control strategy and dynamic energy management for the operation of combined grid-connected and standalone solar photovoltaic applications. Journal of King Saud University-Engineering Sciences 36: 591‒599. https://doi.org/10.1016/j.jksues.2021.12.009 doi: 10.1016/j.jksues.2021.12.009
    [36] Yao Z, Liang X, Jiang GP, Yao J (2022) Model-based reinforcement learning control of electrohydraulic position servo systems. IEEE/ASME T Mech 28: 1446‒1455. https://doi.org/10.1109/TMECH.2023.3336070 doi: 10.1109/TMECH.2023.3336070
    [37] Yao Z, Xu F, Jiang GP, Yao J (2023) Data-driven control of hydraulic manipulators by reinforcement learning. IEEE/ASME T Mech 29: 2673‒2684. https://doi.org/10.1109/TMECH.2023.3336070 doi: 10.1109/TMECH.2023.3336070
    [38] Çakmak R, Bayrak G, Koç M (2025) A Fuzzy Logic-Based Energy Management Approach for Fuel Cell and Photovoltaic Powered Electric Vehicle Charging Station in DC Microgrid Operations. IEEE Access. https://doi.org/10.1109/ACCESS.2025.3552253
    [39] Hu Q, Xie S, Zhang J (2024) Data-based power management control for battery supercapacitor hybrid energy storage system in solar DC-microgrid. Scientific Reports 14: 26164. https://doi.org/10.1038/s41598-024-76830-y doi: 10.1038/s41598-024-76830-y
    [40] Gajjar RR, Giri NC, Patel U, Gajjar RC, Dave D, Aly AM (2024) State of charge control based improved hybrid energy storage system for DC microgrid. Bulletin of Electrical Engineering and Informatics 13: 3779‒3788. https://doi.org/10.11591/eei.v13i6.7759 doi: 10.11591/eei.v13i6.7759
    [41] Yaqoob SJ, Saleh AL, Motahhir S, Agyekum EB, Nayyar A, Qureshi B (2021) Comparative study with practical validation of photovoltaic monocrystalline module for single and double diode models. Scientific reports 11: 19153. https://doi.org/10.1038/s41598-021-98593-6 doi: 10.1038/s41598-021-98593-6
    [42] Yaqoob SJ, Motahhir S, Agyekum EB (2022) A new model for a photovoltaic panel using Proteus software tool under arbitrary environmental conditions. J Cleaner Prod 333: 130074. https://doi.org/10.1016/j.jclepro.2021.130074 doi: 10.1016/j.jclepro.2021.130074
    [43] Al-Wesabi I, Fang Z, Farh HMH, Al-Shamma'a AA, Al-Shaalan AM (2024) Comprehensive comparisons of improved incremental conductance with the state-of-the-art MPPT Techniques for extracting global peak and regulating dc-link voltage. Energy Reports 11: 1590‒1610. https://doi.org/10.1016/j.egyr.2024.01.020 doi: 10.1016/j.egyr.2024.01.020
    [44] Sikkabut S, Mungporn P, Ekkaravarodome C, Bizon N, Tricoli P, Nahid-Mobarakeh B, et al. (2016) Control of high-energy high-power densities storage devices by Li-ion battery and supercapacitor for fuel cell/photovoltaic hybrid power plant for autonomous system applications. IEEE T Ind Appl 52: 4395‒4407. https://doi.org/10.1109/TIA.2016.2581138 doi: 10.1109/TIA.2016.2581138
    [45] Jing W, Lai CH, Wong WS, Wong MD (2018) A comprehensive study of battery-supercapacitor hybrid energy storage system for standalone PV power system in rural electrification. Appl energy 224: 340‒356. https://doi.org/10.1016/j.apenergy.2018.04.006 doi: 10.1016/j.apenergy.2018.04.006
    [46] Zhang L, Hu X, Wang Z, Sun F, Dorrell DG (2018) A review of supercapacitor modeling, estimation, and applications: A control/management perspective. Renew Sust Energy Rev 81: 1868‒1878. https://doi.org/10.1016/j.rser.2017.06.081 doi: 10.1016/j.rser.2017.06.081
    [47] Ferahtia S, Djeroui A, Rezk H, Houari A, Zeghlache S, Machmoum M (2022) Optimal control and implementation of energy management strategy for a DC microgrid. Energy 238: 121777. https://doi.org/10.1016/j.energy.2021.121777 doi: 10.1016/j.energy.2021.121777
    [48] Bizon N (2018) Real-time optimization strategy for fuel cell hybrid power sources with load-following control of the fuel or air flow. Energy convers manage 157: 13‒27. https://doi.org/10.1016/j.enconman.2017.11.084 doi: 10.1016/j.enconman.2017.11.084
    [49] Bizon N (2014) Load-following mode control of a standalone renewable/fuel cell hybrid power source. Energy convers manage 77: 763‒772. https://doi.org/10.1016/j.enconman.2013.10.021 doi: 10.1016/j.enconman.2013.10.021
    [50] Ghadbane HE, Barkat S, Houari A, Djerioui A, Abdelhak H, Mesbahi T (2024) A Load Following Energy Management Strategy for a Battery-Supercapacitor Hybrid Power System Implemented with a PIL Co-Simulation Approach. Smart Grid Sust Energy 9: 32. https://doi.org/10.1007/s40866-024-00214-4 doi: 10.1007/s40866-024-00214-4
    [51] Shahdadi A, Barakati SM, Khajeh A (2019) Design and implementation of an improved sliding mode controller for maximum power point tracking in a SEPIC based on PV system. Engineering Reports 1: e12042. https://doi.org/10.1002/eng2.12042 doi: 10.1002/eng2.12042
  • Reader Comments
  • © 2026 the Author(s), licensee AIMS Press. This is an open access article distributed under the terms of the Creative Commons Attribution License (http://creativecommons.org/licenses/by/4.0)
通讯作者: 陈斌, bchen63@163.com
  • 1. 

    沈阳化工大学材料科学与工程学院 沈阳 110142

  1. 本站搜索
  2. 百度学术搜索
  3. 万方数据库搜索
  4. CNKI搜索

Metrics

Article views(1397) PDF downloads(158) Cited by(0)

Article outline

Figures and Tables

Figures(20)  /  Tables(5)

Other Articles By Authors

/

DownLoad:  Full-Size Img  PowerPoint
Return
Return

Catalog