Research article

Biophysical impact of custom shield materials and apertures on electron beam dosimetry: a Monte Carlo study for clinical applications

  • Published: 11 February 2026
  • Purpose 

    This study aims to evaluate how different shield materials and aperture sizes impact dosimetric properties within the planning target volume (PTV) across various electron beam energies.

    Material and Methods 

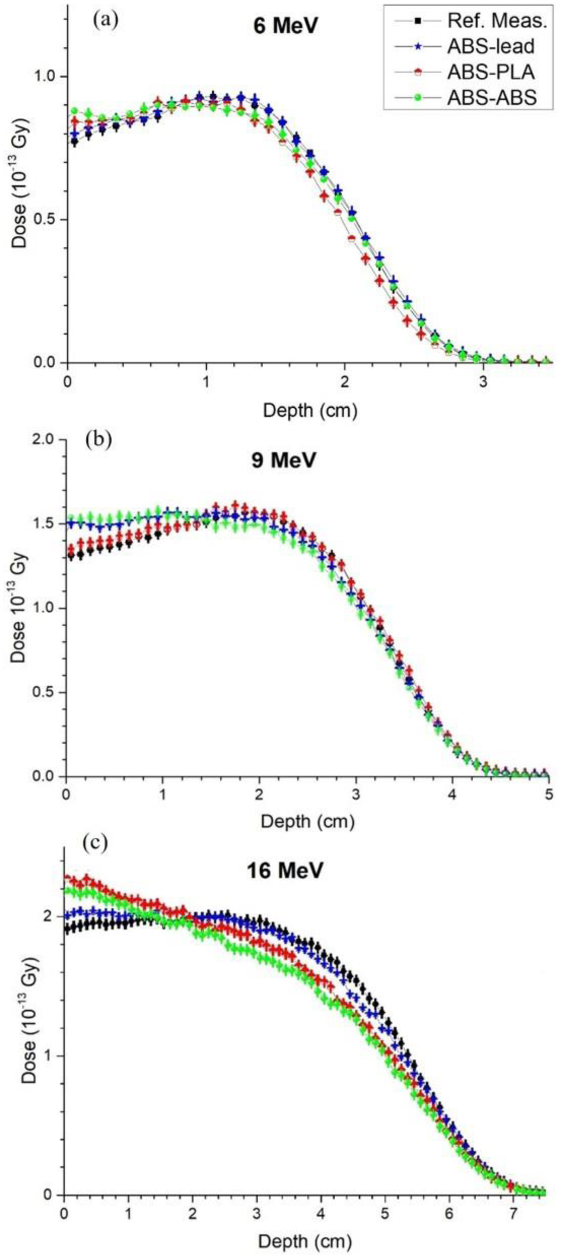
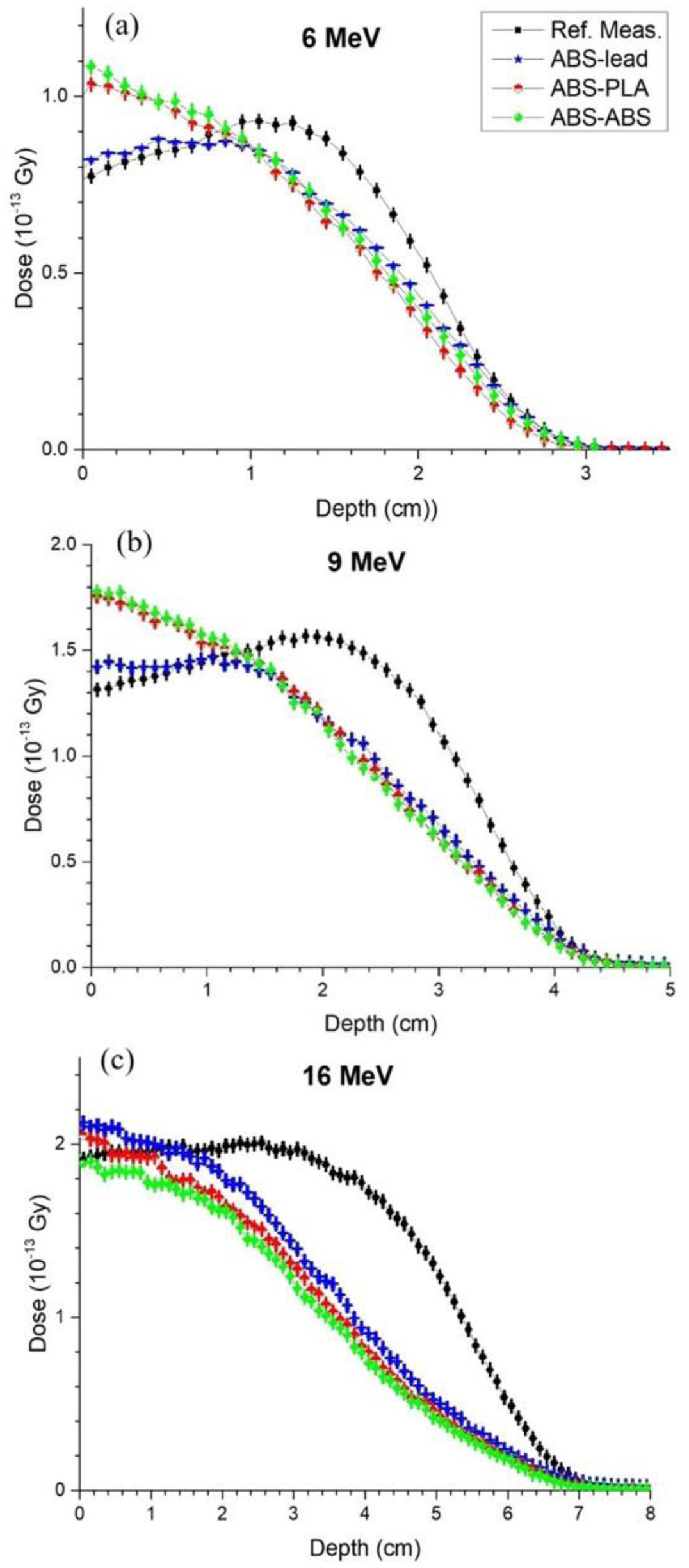
    Monte Carlo simulations were performed using a 30 × 30 × 30 cm3 solid water phantom covered with a custom bolus-shield assembly. The phantom was irradiated with 6, 9, and 16 MeV electron beam energies. Shield materials included polylactic acid (PLA), acrylonitrile butadiene styrene (ABS), and lead alloy, while the bolus was made of ABS. Three configurations were tested, each pairing a fixed 0.5 cm thick ABS bolus with one of the shield materials (thicknesses were adjusted based on material properties). For each configuration, aperture sizes of 2 × 2, 5 × 5, and 8 × 8 cm2 were evaluated. Reference simulations were conducted for each energy using a 0.5 cm ABS bolus covering the entire phantom.

    Results 

    Our findings demonstrate that although ABS and PLA require thicker layers and result in wider penumbras than other materials, they are promising shield materials for low- and medium-energy electron beams. These materials improved surface dose coverage, offered superior deep-tissue protection, and eliminated dual hot spots yielding more favorable distributions. Moreover, sensitivity tests confirmed the model's robustness against setup errors up to ± 5°. However, larger angles introduced obliquity effects, establishing a 5° tolerance limit for reliable clinical applications.

    Conclusion 

    This study demonstrates that traditional lead shields can be effectively replaced by a custom 3D-printed ABS or PLA unit that functions simultaneously as a bolus and shield. This approach is particularly effective for low and medium electron energies with small-to-moderate apertures, where it enhances surface dose and protects deep tissues more effectively. Ultimately, these findings confirm that tissue-equivalent polymer shields can satisfy clinical radiobiological requirements, offering a viable, non-toxic alternative to lead to optimizing patient safety during superficial cancer treatments.

    Citation: Huda Haddad. Biophysical impact of custom shield materials and apertures on electron beam dosimetry: a Monte Carlo study for clinical applications[J]. AIMS Biophysics, 2026, 13(1): 29-52. doi: 10.3934/biophy.2026003

    Related Papers:

  • Purpose 

    This study aims to evaluate how different shield materials and aperture sizes impact dosimetric properties within the planning target volume (PTV) across various electron beam energies.

    Material and Methods 

    Monte Carlo simulations were performed using a 30 × 30 × 30 cm3 solid water phantom covered with a custom bolus-shield assembly. The phantom was irradiated with 6, 9, and 16 MeV electron beam energies. Shield materials included polylactic acid (PLA), acrylonitrile butadiene styrene (ABS), and lead alloy, while the bolus was made of ABS. Three configurations were tested, each pairing a fixed 0.5 cm thick ABS bolus with one of the shield materials (thicknesses were adjusted based on material properties). For each configuration, aperture sizes of 2 × 2, 5 × 5, and 8 × 8 cm2 were evaluated. Reference simulations were conducted for each energy using a 0.5 cm ABS bolus covering the entire phantom.

    Results 

    Our findings demonstrate that although ABS and PLA require thicker layers and result in wider penumbras than other materials, they are promising shield materials for low- and medium-energy electron beams. These materials improved surface dose coverage, offered superior deep-tissue protection, and eliminated dual hot spots yielding more favorable distributions. Moreover, sensitivity tests confirmed the model's robustness against setup errors up to ± 5°. However, larger angles introduced obliquity effects, establishing a 5° tolerance limit for reliable clinical applications.

    Conclusion 

    This study demonstrates that traditional lead shields can be effectively replaced by a custom 3D-printed ABS or PLA unit that functions simultaneously as a bolus and shield. This approach is particularly effective for low and medium electron energies with small-to-moderate apertures, where it enhances surface dose and protects deep tissues more effectively. Ultimately, these findings confirm that tissue-equivalent polymer shields can satisfy clinical radiobiological requirements, offering a viable, non-toxic alternative to lead to optimizing patient safety during superficial cancer treatments.



    加载中


    Conflict of interest



    The author declares no conflict of interest.

    Author contributions



    The author is solely responsible for all aspects of this research, including the study's conception, design, methodology, data acquisition, analysis, interpretation, and the writing of the manuscript.

    [1] Kijima K, Monzen H, Matsumoto K, et al. (2018) The shielding ability of novel tungsten rubber against the electron beam for clinical use in radiation therapy. Anticancer Res 38: 3919-3927. https://doi.org/10.21873/anticanres.12677
    [2] Wakabayashi K, Monzen H, Tamura M, et al. (2021) Dosimetric evaluation of skin collimation with tungsten rubber for electron radiotherapy: a Monte Carlo study. J Appl Clin Med Phys 22: 63-70. https://doi.org/10.1002/acm2.13210
    [3] Lucido III JJ, Veres AJ, Kehret SM, et al. (2022) Development of transparent eye shields for total skin electron beam radiotherapy. J Appl Clin Med Phys 23: e13722. https://doi.org/10.1002/acm2.13722
    [4] Alhamada H, Simon S, Philippson C, et al. (2020) Monte Carlo dose calculations of shielding disks with different material combinations in intraoperative electron radiation therapy. IOERT Cancer/Radiothérapie 24: 128-134. https://doi.org/10.1016/j.canrad.2020.02.006
    [5] Khan FM, Gibbons JP (2019) The Physics of Radiation Therapy. Philadelphia: Lippincott Williams & Wilkins 256-305.
    [6] Vyas V, Palmer L, Mudge R, et al. (2013) On bolus for megavoltage photon and electron radiation therapy. Med Dosi 38: 268-273. https://doi.org/10.1016/j.meddos.2013.02.007
    [7] Diaz-Merchan JA, Español-Castro C, Martinez-Ovalle SA, et al. (2023) Bolus 3D printing for radiotherapy with conventional PLA, ABS and TPU Filaments: theoretical-experimental study. Appl Radiat Isot 199: 110908. https://doi.org/10.1016/j.apradiso.2023.110908
    [8] Diaz-Merchan JA, Martinez-Ovalle SA, Vega-Carrillo HR (2023) Development of a 3D printing process of bolus using bolus CM material for radiotherapy with electrons. Appl Radiat Iso 199: 110899. https://doi.org/10.1016/j.apradiso.2023.110899
    [9] Moghaddam SHZ, Baghani HR, Mahdavi SR (2020) Construction and performance valuation of a buildup bolus for breast intraoperative electron radiotherapy. Radiat Phys Chem 174: 108952. https://doi.org/10.1016/j.radphyschem.2020.108952
    [10] Wang X, Wang X, Xiang Z, et al. (2021) The clinical application of 3D-printed boluses in superficial tumor. Front Oncol 11: 698773. https://doi.org/10.3389/fonc.2021.698773
    [11] Zou W, Fisher T, Zhang M, et al. (2015) Potential of 3D printing technologies for fabrication of electron bolus and proton compensators. J Appl Clin Med Phys 16: 90-98. https://doi.org/10.1120/jacmp.v16i3.4959
    [12] Łukowiak M, Jezierska K, Boehlke M, et al. (2017) Utilization of a 3D printer to fabricate boluses used for electron therapy of skin lesions of the eye canthi. J Appl Clin Med Phy 18: 76-81. https://doi.org/10.1002/acm2.12013
    [13] Lee VW, Liu AC, Cheng KW, et al. (2023) Dosimetric benefits of 3D-printed modulated electron bolus following lumpectomy and whole-breast radiotherapy for left breast cancer. Med Dosim 48: 37-43. https://doi.org/10.1016/j.meddos.2022.10.001
    [14] Herchko SM, Rutenberg MS, Beltran CJ, et al. (2024) A comparison of in-house 3D-printed and commercially available patient-specific skin collimators for use with electron beam therapy. J Appl Clin Med Phys 25: e14366. https://doi.org/10.1002/acm2.14366
    [15] Kawai Y, Tamura M, Amano M, et al. (2019) Dosimetric characterization of a novel surface collimator with tungsten functional paper for electron ttherapy. Anticancer Res 39: 2839-2843. https://doi.org/10.21873/anticanres.13412
    [16] Chow JCL, Grigorov GN (2009) Dosimetric dependence of the dimensional characteristics on a lead shield in electron radiotherapy: a Monte Carlo study. J Appl Clin Med Phys 10: 75-91. https://doi.org/10.1120/jacmp.v10i2.2918
    [17] Russo S, Bettarini S, Grilli Leonulli B, et al. (2022) Dosimetric characterization of small radiotherapy electron beams collimated by circular applicators with the new microsilicon detector. Appl Sci 12: 600. https://doi.org/10.3390/app12020600
    [18] Han SC, Han MC, Kim J, et al. (2025) Feasibility study for dose calculation with a radiation treatment planning system using a fixed-size electron cone applicator for small electron fields. Plos One 20: e0324722. https://doi.org/10.1371/journal.pone.0324722
    [19] Gerbi BJ, Antolak JA, Deibel FC, et al. (2009) Recommendations for clinical electron beam dosimetry: Supplement to the recommendations of Task Group 25. Med Phys 36: 3239-3279. https://doi.org/10.1118/1.3125820
    [20] Kong D, Wu J, Kong X, et al. (2024) Effect of bolus materials on dose deposition in deep tissues during electron beam radiotherapy. J Radiat Res 65: 215-222. https://doi.org/10.1093/jrr/rrae001
    [21] Diaz-Merchan JA, Martinez-Ovalle SA, Vega-Carrillo HR (2022) Characterization of a novel material to be used as bolus in radiotherapy with electrons. Appl Radiat Iso 183: 110154. https://doi.org/10.1016/j.apradiso.2022.110154
    [22] Tamura M, Monzen H, Kubo K, et al. (2017) Feasibility of tungsten functional paper in electron grid therapy: a Monte Carlo study. Phys Med Biol 62: 878-889. https://doi.org/10.1088/1361-6560/62/3/878
    [23] Okuhata K, Tamura M, Monzen H, et al. (2021) Dosimetric characteristics of a thin bolus made of variable shape tungsten rubber for photon radiotherapy. Phys Eng Sci Med 44: 1249-1255. https://doi.org/10.1007/s13246-021-01059-2
    [24] Makrani DS, Nedaei HA, Geraily G, et al. (2024) Monte Carlo simulation for the Radixact™ tomotherapy linac using EGSnrc. J Med Phys 49: 379-386. https://doi.org/10.4103/jmp.jmp_29_24
    [25] Kawrakow I, Rogers DWO, Mainegra-Hing E, et al. (2000) EGSnrc toolkit for Monte Carlo simulation of ionizing radiation transport. National Research Council of Canada . Available from: https://github.com/nrc-cnrc/EGSnrc
    [26] National Institute of Standard and Technology Stopping Power and Range Tables for Electrons Nist.gov. Available from: https://physics.nist.gov/PhysRefData/Star/Text/ESTAR.html
    [27] Rogers DWO, Faddegon BA, Ding GX, et al. (1995) BEAM: a Monte Carlo code to simulate radiotherapy treatment units. Med Phys 22: 503-524. http://doi.org/10.1118/1.597552
    [28] Rogers DWO, Walters B, Kawrakow I (2009) BEAMnrc users manual. National Research Council Canada . Ottawa, Canda: Institute for National Measurement Standards, PIRS-0509a (revL). Available from: https://nrc-cnrc.github.io/EGSnrc/doc/pirs509a-beamnrc.pdf
    [29] Udale M (1988) A Monte Carlo investigation of surface doses for broad electron beams. Phys Med Biol 33: 939-953. https://doi.org/10.1088/0031-9155/33/8/004
    [30] International Atomic Energy Agency Phase space database for external beam radiotherapy. Available from: https://www-nds.iaea.org/phsp/phsp.htmlx
    [31] Tuğrul T, Eroğul O (2019) Determination of initial electron parameters by means of Monte Carlo simulations for the Siemens Artiste Linac 6MV photon beam. Rep Pract Oncol Radiother 24: 331-337. https://doi.org/10.1016/j.rpor.2019.05.002
    [32] Tuğrul T (2021) Effect of different target materials of LINAC head on photon spec-trum. J Radiat Res Appl Sci 14: 204-209. https://doi.org/10.1080/16878507.2021.1921964
    [33] (2000) International Atomic Energy AgencyAbsorbed Dose Determination in External Beam Radiotherapy: an International Code of Practice for Dosimetry Based on Standards of Absorbed Dose to Water. Vienna: International Atomic Energy Agency.
    [34] Walters B, Kawrakow I, Rogers DWO (2005) DOSXYZnrc users manual. Ottawa, Canda: National Research Council Report PIRS-794. Available from: https://nrc-cnrc.github.io/EGSnrc/doc/pirs794-dosxyznrc.pdf
    [35] Ma CM, Rogers DWO (1995) BEAMDP users manual. Ottawa, Canda: National Research Council Report PIRS-0509 (C) rev. A. Available from: https://nrc-cnrc.github.io/EGSnrc/doc/pirs509c-beamdp.pdf
    [36] Verhaegen F, Buffa FM, Deehan C (2001) Quantifying effects of lead shielding in electron beams: a Monte Carlo study. Phys Med Biol 46: 757-769. https://doi.org/10.1088/0031-9155/46/3/311
    [37] Monzen H, Tamura M, Kijima K, et al. (2019) Estimation of radiation shielding ability in electron therapy and brachytherapy with real time variable shape tungsten rubber. Phys Med 66: 29-35. https://doi.org/10.1016/j.ejmp.2019.09.233
    [38] Fujimoto T, Monzen H, Nakata M, et al. (2014) Dosimetric shield evaluation with tungsten sheet in 4, 6, and 9MeV electron beams. Phys Med 30: 838-842. https://doi.org/10.1016/j.ejmp.2014.05.009
    [39] Baghani HR, Robatjazi M, Mahdavi SR (2020) Comparing the performance of some dedicated radioprotection disks in breast intraoperative electron radiotherapy: a Monte Carlo study. Radiat Environ Biophys 59: 265-281. https://doi.org/10.1007/s00411-020-00836-z
    [40] Chow JCL (2008) Monte Carlo simulation of backscatter from lead for clinical electron beams using EGSnrc. Med Phys 35: 1241-1250. https://doi.org/10.1118/1.2874552
  • Reader Comments
  • © 2026 the Author(s), licensee AIMS Press. This is an open access article distributed under the terms of the Creative Commons Attribution License (http://creativecommons.org/licenses/by/4.0)
通讯作者: 陈斌, bchen63@163.com
  • 1. 

    沈阳化工大学材料科学与工程学院 沈阳 110142

  1. 本站搜索
  2. 百度学术搜索
  3. 万方数据库搜索
  4. CNKI搜索

Metrics

Article views(782) PDF downloads(41) Cited by(0)

Article outline

Figures and Tables

Figures(9)  /  Tables(7)

Other Articles By Authors

/

DownLoad:  Full-Size Img  PowerPoint
Return
Return

Catalog