Research article

A new mathematical modelling and parameter estimation of COVID-19: a case study in Iraq

  • Published: 29 December 2022
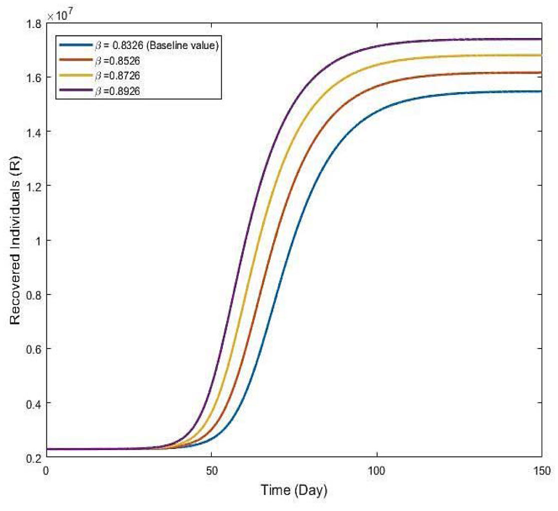
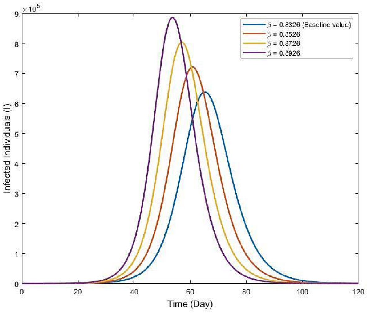
  • Mathematical modelling has been widely used in many fields, especially in recent years. The applications of mathematical modelling in infectious diseases have shown that situations such as isolation, quarantine, vaccination and treatment are often necessary to eliminate most infectious diseases. In this study, a mathematical model of COVID-19 disease involving susceptible (S), exposed (E), infected (I), quarantined (Q), vaccinated (V) and recovered (R) populations is considered. In order to show the biological significance of the system, the non-negative solution region and the boundedness of the relevant biological compartments are shown. The endemic and disease-free equilibrium points of the model are calculated, and local stability analyses of these equilibrium points are performed. The basic reproduction number is also calculated for the relevant model. Sensitivity analysis of this number is studied, and it has been pointed out which parameters affect this number and how they affect it. Moreover, using real data from Iraq, the model parameters are estimated using the least squares curve fitting method, and numerical simulations are performed by using these estimated values. For the solution of the model, the Adams-Bashforth type predictive-corrective numerical method is used, and with the help of numerical simulations, several predictions are achieved about the future course of COVID-19.

    Citation: Mehmet Yavuz, Waled Yavız Ahmed Haydar. A new mathematical modelling and parameter estimation of COVID-19: a case study in Iraq[J]. AIMS Bioengineering, 2022, 9(4): 420-446. doi: 10.3934/bioeng.2022030

    Related Papers:

  • Mathematical modelling has been widely used in many fields, especially in recent years. The applications of mathematical modelling in infectious diseases have shown that situations such as isolation, quarantine, vaccination and treatment are often necessary to eliminate most infectious diseases. In this study, a mathematical model of COVID-19 disease involving susceptible (S), exposed (E), infected (I), quarantined (Q), vaccinated (V) and recovered (R) populations is considered. In order to show the biological significance of the system, the non-negative solution region and the boundedness of the relevant biological compartments are shown. The endemic and disease-free equilibrium points of the model are calculated, and local stability analyses of these equilibrium points are performed. The basic reproduction number is also calculated for the relevant model. Sensitivity analysis of this number is studied, and it has been pointed out which parameters affect this number and how they affect it. Moreover, using real data from Iraq, the model parameters are estimated using the least squares curve fitting method, and numerical simulations are performed by using these estimated values. For the solution of the model, the Adams-Bashforth type predictive-corrective numerical method is used, and with the help of numerical simulations, several predictions are achieved about the future course of COVID-19.



    加载中


    [1] Alla Hamou A, Azroul E, Lamrani Alaoui A (2021) Fractional model and numerical algorithms for predicting covid-19 with isolation and quarantine strategies. Int J Appl Comput Math 7: 1-30. https://doi.org/10.1007/s40819-021-01086-3
    [2] Rădulescu A, Williams C, Cavanagh K (2020) Management strategies in a SEIR-type model of COVID 19 community spread. Sci Rep 10: 1-16. https://doi.org/10.1038/s41598-020-77628-4
    [3] Sağlık Bakanligi T.C. (2020). Available from: https://covid19bilgi.saglik.gov.tr/depo/rehberler/COVID-19_Rehberi.
    [4] Santos I, Victória G, Bergamini F, et al. (2020) Antivirals against coronaviruses: candidate drugs for SARS-CoV-2 treatment?. Front Microbio 11: 1-23. https://doi.org/10.3389/fmicb.2020.01818
    [5] Wikipedia (2022). Available from: https://tr.wikipedia.org/wiki/Koronavir%C3%BCs.
    [6] Currie C, Fowler W, Kotiadis K, et al. (2020) How simulation modelling can help reduce the impact of COVID-19. J Simul 14: 83-97. https://doi.org/10.1080/17477778.2020.1751570
    [7] Ahmad Naik P, Yavuz M, Qureshi S, et al. (2020) Modeling and analysis of COVID-19 epidemics with treatment in fractional derivatives using real data from Pakistan. Euro Phys J Plus 135: 1-42. https://doi.org/10.1140/epjp/s13360-020-00819-5
    [8] Ahmad Naik P, Zu J, Ghori M (2021) Modeling the effects of the contaminated environments on COVID-19 transmission in India. Res Phys 29: 1-11. https://doi.org/10.1016/j.rinp.2021.104774
    [9] Ahmad Naik P, Owolabi K, Zu J, et al. (2021) Modeling the transmission dynamics of COVID-19 pandemic in Caputo type fractional derivative. J Multis Model 12: 1-19. https://doi.org/10.1142/S1756973721500062
    [10] Sabbar Y, Kiouach D, Rajasekar SP, et al. (2022) The influence of quadratic Lévy noise on the dynamic of an SIC contagious illness model: New framework, critical comparison and an application to COVID-19 (SARS-CoV-2) case. Chaos Sol Frac 159: 1-21. https://doi.org/10.1016/j.chaos.2022.112110
    [11] Joshi H, Jha BK, Yavuz M (2023) Modelling and analysis of fractional-order vaccination model for control of COVID-19 outbreak using real data. Math Biosci Eng 20: 213-240. https://doi.org/10.3934/mbe.2023010
    [12] Yavuz M, Coşar FÖ, Usta F (2022) A novel modeling and analysis of fractional-order COVID-19 pandemic having a vaccination strategy. AIP Conf Proc 2483: 070005. https://doi.org/10.1063/5.0114880
    [13] Haq IU, Yavuz M, Ali N, et al. (2022) A SARS-CoV-2 fractional-order mathematical model via the modified euler method. Math Comp Appl 27: 82. https://doi.org/10.3390/mca27050082
    [14] Özköse F, Yavuz M, Şenel MT, et al. (2022) Fractional order modelling of omicron SARS-CoV-2 variant containing heart attack effect using real data from the United Kingdom. Chaos Sol Frac 157: 111954. https://doi.org/10.1016/j.chaos.2022.111954
    [15] Sabbar Y, Khan A, Din A, et al. (2022) Determining the global threshold of an epidemic model with general interference function and high-order perturbation. AIMS Math 7: 19865-19890. https://doi.org/10.3934/math.20221088
    [16] Sabbar Y, Kiouach D (2022) New method to obtain the acute sill of an ecological model with complex polynomial perturbation. Math Meth Appl Sci 46: 2455-2474. https://doi.org/10.1002/mma.8654
    [17] Sabbar Y, Din A, Kiouach D (2022) Predicting potential scenarios for wastewater treatment under unstable physical and chemical laboratory conditions: A mathematical study. Res Phys 39: 105717. https://doi.org/10.1016/j.rinp.2022.105717
    [18] Sabbar Y, Zeb A, Kiouach D, et al. (2022) Dynamical bifurcation of a sewage treatment model with general higher-order perturbation. Res Phys 39: 105799. https://doi.org/10.1016/j.rinp.2022.105799
    [19] Hammouch Z, Yavuz M, Özdemir N (2021) Numerical solutions and synchronization of a variable-order fractional chaotic system. Math Model Numer Simul Appl 1: 11-23. https://doi.org/10.53391/mmnsa.2021.01.002
    [20] Joshi H, Jha BK (2021) Chaos of calcium diffusion in Parkinson's infectious disease model and treatment mechanism via Hilfer fractional derivative. Math Model Numer Simul Appl 1: 84-94. https://doi.org/10.53391/mmnsa.2021.01.008
    [21] Naim M, Sabbar Y, Zeb A (2022) Stability characterization of a fractional-order viral system with the non-cytolytic immune assumption. Math Model Numer Simul Appl 2: 164-176. https://doi.org/10.53391/mmnsa.2022.013
    [22] Hristov J (2022) On a new approach to distributions with variable transmuting parameter: The concept and examples with emerging problems. Math Model Numer Simul Appl 2: 73-87. https://doi.org/10.53391/mmnsa.2022.007
    [23] Uçar E, Özdemir N, Altun E (2023) Qualitative analysis and numerical simulations of new model describing cancer. J Comp Appl Math 422: 114899. https://doi.org/10.1016/j.cam.2022.114899
    [24] Sheergojri AR, Iqbal P, Agarwal P, Ozdemir N (2022) Uncertainty-based Gompertz growth model for tumor population and its numerical analysis. Int J Opt Cont: Theo Appl 12: 137-150. https://doi.org/10.11121/ijocta.2022.1208
    [25] Uçar E, Uçar S, Evirgen F, et al. (2021) Investigation of e-cigarette smoking model with mittag-leffler kernel. Found Comp Dec Sci 46: 97-109. https://doi.org/10.2478/fcds-2021-0007
    [26] Evirgen F (2023) Transmission of Nipah virus dynamics under Caputo fractional derivative. J Comp Appl Math 418: 114654. https://doi.org/10.1016/j.cam.2022.114654
    [27] Joshi H, Jha BK (2022) 2D dynamic analysis of the disturbances in the calcium neuronal model and its implications in neurodegenerative disease. Cogn Neur 2022: 1-12. https://doi.org/10.1007/s11571-022-09903-1
    [28] Joshi H, Jha BK (2022) Generalized Diffusion Characteristics of Calcium Model with Concentration and Memory of Cells: A Spatiotemporal Approach. Iran J Sci Tech Trans Sci 46: 309-322. https://doi.org/10.1007/s40995-021-01247-5
    [29] Pak S (2009) Solitary wave solutions for the RLW equation by He's semi inverse method. Int J Non Sci Num Sim 10: 505-508. https://doi.org/10.1515/ijnsns.2009.10.4.505
    [30] Al-Hussein ABA, Tahir FR Epidemiological characteristics of COVID-19 ongoing epidemic in Iraq (2020). https://doi.org/10.2471/BLT.20.257907
    [31] Diethelm K, Ford NJ (2002) Analysis of fractional differential equations. J Math Anal Appl 265: 229-248. https://doi.org/10.1007/978-3-642-14574-2
    [32] Ahmed E, Elgazzar AS (2007) On fractional order differential equations model for nonlocal epidemics. Phys A: Stat Mech Appl 379: 607-614. https://doi.org/10.1016/j.physa.2007.01.010
    [33] Susam M (2022) Fractional-order mathematical model of Hepatitis-B disease and parameter estimation with real data from Turkey [Master Thesis]. Konya: Necmettin Erbakan University Institute of Science.
    [34] Nupel (2022). Available from: https://www.nupel.tv/.
    [35] Chitnis N, Hyman JM, Cushing JM (2008) Determining important parameters in the spread of malaria through the sensitivity analysis of a mathematical model. Bull Math Bio 70: 1272-1296. https://doi.org/10.1007/s11538-008-9299-0
    [36] Owolabi KM (2019) Mathematical modelling and analysis of love dynamics: A fractional approach. Phys A: Stat Mech Appl 525: 849-865. https://doi.org/10.1016/j.physa.2019.04.024
    [37] Yavuz M, Sene N (2020) Stability analysis and numerical computation of the fractional predator–prey model with the harvesting rate. Fractal Fract 4: 35. https://doi.org/10.3390/fractalfract4030035
    [38] Naik PA, Yavuz M, Zu J (2020) The role of prostitution on HIV transmission with memory: A modeling approach. Alex Eng J 59: 2513-2531. https://doi.org/10.1016/j.aej.2020.04.016
    [39] Hou T, Lan G, Yuan S, et al. (2022) Threshold dynamics of a stochastic SIHR epidemic model of COVID-19 with general population-size dependent contact rate. Math Biosci Eng 19: 4217-4236. https://doi.org/10.3934/mbe.2022195
    [40] Diethelm K, Ford NJ, Freed AD (2004) Detailed error analysis for a fractional Adams method. Numer Algorthm 36: 31-52. https://doi.org/10.1023/B:NUMA.0000027736.85078.be
  • bioeng-09-04-030-s001.pdf
  • Reader Comments
  • © 2022 the Author(s), licensee AIMS Press. This is an open access article distributed under the terms of the Creative Commons Attribution License (http://creativecommons.org/licenses/by/4.0)
通讯作者: 陈斌, bchen63@163.com
  • 1. 

    沈阳化工大学材料科学与工程学院 沈阳 110142

  1. 本站搜索
  2. 百度学术搜索
  3. 万方数据库搜索
  4. CNKI搜索

Metrics

Article views(3227) PDF downloads(189) Cited by(5)

Article outline

Figures and Tables

Figures(15)  /  Tables(1)

Other Articles By Authors

/

DownLoad:  Full-Size Img  PowerPoint
Return
Return

Catalog