Research article Special Issues

Multi-granularity features fusion with hierarchical networks for aspect-based sentiment analysis

  • Published: 02 April 2026
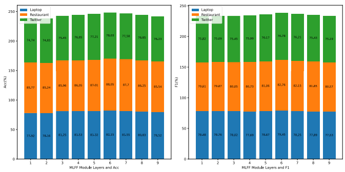
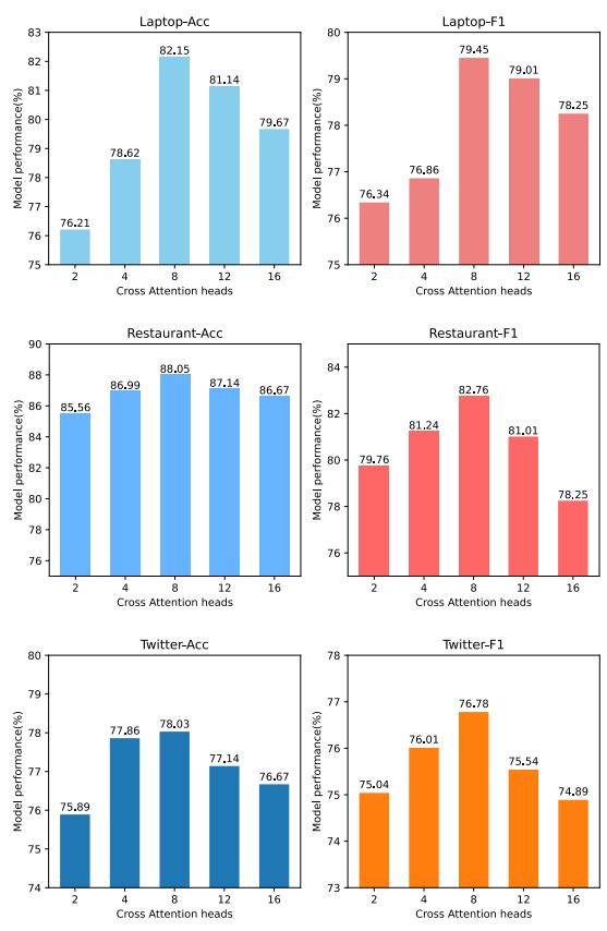
  • Aspect-based sentiment analysis (ABSA) aims to identify and classify sentiment polarities toward specific aspects in text. To address the limitations of existing models, such as oversimplified structures and underutilized fine-grained features, we propose an ABSA model that fuses multi-granularity features with hierarchical networks. Through the construction of a multi-granularity feature extraction module, we employed a graph convolutional network (GCN) on constituent and dependency trees to capture syntactic and semantic information, augmented with external knowledge. This enables comprehensive feature extraction from four granularity levels: constituent structure, dependency relations, contextual cues, and external knowledge. To effectively fuse these diverse features, we designed a multi-layer feature fusion network (MLFF). Utilizing cross attention and orthogonal projection, the MLFF module iteratively refines feature interactions. Extensive experiments on the SemEval 2014 and Twitter datasets show that our model outperforms existing ABSA models and can effectively enhance task performance.

    Citation: Xiaomin Zhong, Hengxi Di, Xuefeng Zhao, Changze Bai, Zhaoman Zhong. Multi-granularity features fusion with hierarchical networks for aspect-based sentiment analysis[J]. Electronic Research Archive, 2026, 34(5): 2897-2925. doi: 10.3934/era.2026132

    Related Papers:

  • Aspect-based sentiment analysis (ABSA) aims to identify and classify sentiment polarities toward specific aspects in text. To address the limitations of existing models, such as oversimplified structures and underutilized fine-grained features, we propose an ABSA model that fuses multi-granularity features with hierarchical networks. Through the construction of a multi-granularity feature extraction module, we employed a graph convolutional network (GCN) on constituent and dependency trees to capture syntactic and semantic information, augmented with external knowledge. This enables comprehensive feature extraction from four granularity levels: constituent structure, dependency relations, contextual cues, and external knowledge. To effectively fuse these diverse features, we designed a multi-layer feature fusion network (MLFF). Utilizing cross attention and orthogonal projection, the MLFF module iteratively refines feature interactions. Extensive experiments on the SemEval 2014 and Twitter datasets show that our model outperforms existing ABSA models and can effectively enhance task performance.



    加载中


    [1] Z. Xu, Y. Wu, L. Tang, S. Gui, From user-generated content to quality improvement: A multi-granularity analysis of customer satisfaction and attention in new energy vehicles using deep learning, Comput. Ind., 173 (2025), 104380. https://doi.org/10.1016/j.compind.2025.104380 doi: 10.1016/j.compind.2025.104380
    [2] X. Zhao, Y. Wang, Z. Zhong, Text-in-image enhanced self-supervised alignment model for aspect-based multimodal sentiment analysis on social media, Sensors, 25 (2025), 2553. https://doi.org/10.3390/s25082553 doi: 10.3390/s25082553
    [3] D. Tang, B. Qin, X. Feng, T. Liu, Effective LSTMs for target-dependent sentiment classification, in Proceedings of COLING 2016, the 26th International Conference on Computational Linguistics, (2016), 3298−3307. https://doi.org/10.18653/v1/C16-1311
    [4] J. Wang, J. Li, S. Li, Y. Kang, M. Zhang, L. Si, et al., Aspect sentiment classification with both word-level and clause-level attention networks, in Twenty-Seventh International Joint Conference on Artificial Intelligence, (2018), 4439−4445. https://doi.org/10.24963/ijcai.2018/617
    [5] R. Li, H. Chen, F. Feng, Z. Ma, X. Wang, E. Hovy, Dual graph convolutional networks for aspect-based sentiment analysis, in Proceedings of the 59th Annual Meeting of the Association for Computational Linguistics and the 11th International Joint Conference on Natural Language Processing, (2021), 6319−6329. https://doi.org/10.18653/v1/2021.acl-long.494
    [6] S. Liang, W. Wei, X. Mao, F. Wang, Z. He, BiSyn-GAT+: Bi-syntax aware graph attention network for aspect-based sentiment analysis, in Findings of the Association for Computational Linguistics: ACL 2022, (2022), 1835–1848. https://doi.org/10.18653/v1/2022.findings-acl.144
    [7] C. Zhang, Q. Li, D. Song, Aspectbased sentiment classification with aspect-specific graph convolutional networks, in Proceedings of the 2019 Conference on Empirical Methods in Natural Language Processing and the 9th International Joint Conference on Natural Language Processing (EMNLP-IJCNLP), (2019), 4568–4578. https://doi.org/10.18653/v1/D19-1464
    [8] K. Sun, R. Zhang, S. Mensah, Y. Mao, X. Liu, Aspect-level sentiment analysis via convolution over dependency tree, in Proceedings of the 2019 conference on empirical methods in natural language processing and the 9th international joint conference on natural language processing (EMNLP-IJCNLP), (2019), 5679–5688. https://doi.org/10.18653/v1/D19-1569
    [9] B. Liang, R. Yin, L. Gui, J. Du, R. Xu, Jointly learning aspect-focused and inter-aspect relations with graph convolutional networks for aspect sentiment analysis, in Proceedings of the 28th international Conference on Computational Linguistics, (2020), 150–161. https://doi.org/10.18653/v1/2020.coling-main.13
    [10] P. Zhao, L. Hou, O. Wu, Modeling sentiment dependencies with graph convolutional networks for aspect-level sentiment classification, Knowl. Based Syst., 193 (2020), 105443. https://doi.org/10.1016/j.knosys.2019.105443 doi: 10.1016/j.knosys.2019.105443
    [11] Y. Tian, G. Chen, Y. Song, Aspect-based sentiment analysis with type-aware graph convolutional networks and layer ensemble, in Proceedings of the 2021 Conference of the North American Chapter of the Association for Computational Linguistics: Human Language Technologies, (2021), 2910–2922. https://doi.org/10.18653/v1/2021.naacl-main.231
    [12] J. Devlin, M. Chang, K. Lee, K. Toutanova, Bert: Pre-training of deep bidirectional transformers for language understanding, in Proceedings of the 2019 Conference of the North American Chapter of the Association for Computational Linguistics: Human Language Technologies, (2019), 4171–4186. https://doi.org/10.18653/v1/N19-1423
    [13] Z. Liu, W. Lin, Y. Shi, J. Zhao, A robustly optimized BERT pre-training approach with post-training, in Proceedings of the 20th Chinese National Conference on Computational Linguistics, (2021), 1218–1227.
    [14] Y. Wang, N. Yang, D. Miao, Q. Chen, Dual-channel and multi-granularity gated graph attention network for aspect-based sentiment analysis, Appl. Intell., 53 (2023), 13145–13157. https://doi.org/10.1007/s10489-022-04198-5 doi: 10.1007/s10489-022-04198-5
    [15] S. Pang, Y. Xue, Z. Yan, W. Huang, J. Feng, Dynamic and multi-channel graph convolutional networks for aspect-based sentiment analysis, in Findings of the Association for Computational Linguistics: ACL-IJCNLP 2021, (2021), 2627–2636. https://doi.org/10.18653/v1/2021.findings-acl.232
    [16] J. Zhou, J. X. Huang, Q. V. Hu, L. He, Sk-gcn: Modeling syntax and knowledge via graph convolutional network for aspect-level sentiment classification, Knowl. Based Syst., 205 (2020), 106292. https://doi.org/10.1016/j.knosys.2020.106292 doi: 10.1016/j.knosys.2020.106292
    [17] Q. Zhong, L. Ding, J. Liu, B. Du, D. Tao, Knowledge graph augmented network towards multiview representation learning for aspect-based sentiment analysis, IEEE Trans. Knowl. Data Eng., 35 (2023), 10098–10111. https://doi.org/10.1109/TKDE.2023.3250499 doi: 10.1109/TKDE.2023.3250499
    [18] H. Liu, X. Li, W. Lu, K. Cheng, X. Liu, Graph augmentation networks based on dynamic sentiment knowledge and static external knowledge graphs for aspect-based sentiment analysis, Expert Syst. Appl., 251 (2024), 123981. https://doi.org/10.1016/j.eswa.2024.123981 doi: 10.1016/j.eswa.2024.123981
    [19] P. Mishra, S. K. Panda, Dependency structure-based rules using root node technique for explicit aspect extraction from online reviews, IEEE Access, 11 (2023), 65117–65137. https://doi.org/10.1109/ACCESS.2023.3287119 doi: 10.1109/ACCESS.2023.3287119
    [20] X. Shi, M. Hu, F. Ren, P. Shi, Prompted representation joint contrastive learning for aspect-based sentiment analysis, Knowl. Based Syst., 285 (2024), 111345. https://doi.org/10.1016/j.knosys.2023.111345 doi: 10.1016/j.knosys.2023.111345
    [21] M. Pota, M. Ventura, H. Fujita, M. Esposito, Multilingual evaluation of pre-processing for BERT-based sentiment analysis of tweets, Expert Syst. Appl., 181 (2023), 115119. https://doi.org/10.1016/j.eswa.2021.115119 doi: 10.1016/j.eswa.2021.115119
    [22] C. Sun, L. Huang, X. Qiu, Utilizing BERT for aspect-based sentiment analysis via constructing auxiliary sentence, in Proceedings of the 2019 Conference of the North American Chapter of the Association for Computational Linguistics: Human Language Technologies, (2019), 380–385. https://doi.org/10.18653/v1/N19-1035
    [23] H. Xu, B. Liu, L. Shu, P. Yu, BERT post-training for review reading comprehension and aspect-based sentiment analysis, in Proceedings of the 2019 Conference of the North American Chapter of the Association for Computational Linguistics: Human Language Technologies, (2019), 2324–2335. https://doi.org/10.18653/v1/N19-1242
    [24] L. Liu, Y. Yang, J. Hu, Simple but effective: A model for aspect-based sentiment analysis, in Developments of Artificial Intelligence Technologies in Computation and Robotics: Proceedings of the 14th International FLINS Conference (FLINS 2020), (2020), 52–59. https://doi.org/10.1142/11911
    [25] K. Sun, R. Zhang, S. Mensah, Y. Mao, X. Liu, Aspect-level sentiment analysis via convolution over dependency tree, in Proceedings of the 2019 Conference on Empirical Methods in Natural Language Processing and the 9th International Joint Conference on Natural Language Processing (EMNLP-IJCNLP), (2019), 5679–5688. https://doi.org/10.18653/v1/D19-1569
    [26] Z. Zhang, Z. Zhou, Y. Wang, SSEGCN: Syntactic and semantic enhanced graph convolutional network for aspect-based sentiment analysis, in Proceedings of the 2022 Conference of the North American Chapter of the Association for Computational Linguistics: Human Language Technologies, (2022), 4916–4925. https://doi.org/10.18653/v1/2022.naacl-main.362
    [27] X. Zhao, H. Peng, Q. Dai, X. Bai, H. Peng, Y. Liu, et al., RDGCN: Reinforced dependency graph convolutional network for aspect-based sentiment analysis, in Proceedings of the 17th ACM International Conference on Web Search and Data Mining, (2024), 976–984. https://doi.org/10.1145/3616855.3635775
    [28] D. Marcheggiani, I. Titov, Graph convolutions over constituent trees for syntax-aware semantic role labeling, in Proceedings of the 2020 Conference on Empirical Methods in Natural Language Processing (EMNLP), (2020), 3915–3928. https://doi.org/10.18653/v1/2020.emnlp-main.322
    [29] Y. Li, C. Yin, S. Zhong, Sentence constituent-aware aspect-category sentiment analysis with graph attention networks, in Natural Language Processing and Chinese Computing, (2020), 815–827. https://doi.org/10.1007/978-3-030-60450-9_64
    [30] H. Fei, S. Wu, Y. Ren, F. Li, D. Ji, Better combine them together! integrating syntactic constituency and dependency representations for semantic role labeling, in Findings of the Association for Computational Linguistics: ACL-IJCNLP 2021, (2021), 549–559. https://doi.org/10.18653/v1/2021.findings-acl.49
    [31] Q. Zhong, L. Ding, J. Liu, B. Du, H. Xin, H. Tao, Knowledge graph augmented network towards multiview representation learning for aspect-based sentiment analysis, IEEE Trans. Knowl. Data Eng., 35 (2023), 10098–10111. https://doi.org/10.1109/TKDE.2023.3250499 doi: 10.1109/TKDE.2023.3250499
    [32] X. Shi, M. Hu, F. Ren, P. Shi, Prompted representation joint contrastive learning for aspect-based sentiment analysis, Knowl. Based Syst., 285 (2024), 111345. https://doi.org/10.1016/j.knosys.2023.111345 doi: 10.1016/j.knosys.2023.111345
    [33] J. Shi, W. Li, Q. Bai, Y. Yang, J. Jiang, Syntax-enhanced aspect-based sentiment analysis with multi-layer attention, Neurocomputing, 557 (2023), 126730. https://doi.org/10.1016/j.neucom.2023.126730 doi: 10.1016/j.neucom.2023.126730
    [34] X. Wang, M. Tang, T. Yang, Z. Wang, A novel network with multiple attention mechanisms for aspect-level sentiment analysis, Knowl. Based Syst., 227 (2021), 107196. https://doi.org/10.1016/j.knosys.2021.107196 doi: 10.1016/j.knosys.2021.107196
    [35] Q. Qin, W. Hu, B. Liu, Feature projection for improved text classification, in Proceedings of the 58th Annual Meeting of the Association for Computational Linguistics, (2020), 8161–8171. https://doi.org/10.18653/v1/2020.acl-main.726
    [36] X. Xue, C. Zhang, Z. Niu, X. Wu, Multi-level attention map network for multimodal sentiment analysis, IEEE Trans. Knowl. Data Eng., 35 (2022), 5105–5118. https://doi.org/10.1109/TKDE.2022.3155290 doi: 10.1109/TKDE.2022.3155290
    [37] M. Pontiki, D. Galanis, J. Pavlopoulos, H. Papageorgiou, I. Androutsopoulos, S. Manandhar, SemEval-2014 task 4: Aspectbased sentiment analysis, in Proceedings of the 8thInternational Workshop on Semantic Evaluation (SemEval 2014), 27–35. https://doi.org/10.3115/v1/s14-2004
    [38] L. Dong, F. Wei, C. Tan, D. Tang, M. Zhou, K. Xu, Adaptive recursive neural network for target-dependent twitter sentiment classification, in Proceedings of the 52nd Annual Meeting of the Association for Computational Linguistics, (2014), 49–54. https://doi.org/10.3115/v1/P14-2009
    [39] K. Wang, W. Shen, Y. Yang, X. Quan, R. Wang, Relational graph attention network for aspect-based sentiment analysis, in Proceedings of the 58th Annual Meeting of the Association for Computational Linguistics, (2020), 3229–3238. https://doi.org/10.18653/v1/2020.acl-main.295
    [40] H. Tang, D. Ji, C. Li, Q. Zhou, Dependency graph enhanced dual-transformer structure for aspect-based sentiment classification, in Proceedings of the 58th Annual Meeting of the Association for Computational Linguistics, (2020), 6578–6588. https://doi.org/10.18653/v1/2020.acl-main.588
    [41] G. Lu, J. Li, J. Wei, Aspect sentiment analysis with heterogeneous graph neural networks, Inf. Process. Manage., 59 (2022), 102953. https://doi.org/10.1016/j.ipm.2022.102953 doi: 10.1016/j.ipm.2022.102953
    [42] Z. Xiao, J. Wu, Q. Chen, C. Deng, BERT4gcn: Using BERT intermediate layers to augment GCN for aspect-based sentiment classification, in Proceedings of the 2021 Conference on Empirical Methods in Natural Language Processing, (2021), 9193–9200. https://doi.org/10.18653/v1/2021.emnlp-main.724
    [43] S. Feng, B. Wang, Z. Yang, J. Ouyang, Aspect-based sentiment analysis with attention-assisted graph and variational sentence representation, Knowl. Based Syst., 258 (2022), 109975. https://doi.org/10.1016/j.knosys.2022.109975 doi: 10.1016/j.knosys.2022.109975
    [44] R. Zhang, Q. Chen, Y. Zheng, S. Mensah, Y. Mao, Aspect-level sentiment analysis via a syntax-based neural network, IEEE/ACM Trans. Audio Speech Lang. Process., 30 (2022), 2568–2583. https://doi.org/10.1109/TASLP.2022.3190731 doi: 10.1109/TASLP.2022.3190731
    [45] Y. Wan, Y. Chen, L. Shi, L. Liu, A knowledge-enhanced interactive graph convolutional network for aspect-based sentiment analysis, J. Intell. Inf. Syst., 61 (2023), 343–365. https://doi.org/10.1007/s10844-022-00761-1 doi: 10.1007/s10844-022-00761-1
    [46] T. Gu, H. Zhao, M. Li, Effective inter-aspect words modeling for aspect-based sentiment analysis, Appl. Intell., 53 (2023), 4366–4379. https://doi.org/10.1007/s10489-022-03766-9 doi: 10.1007/s10489-022-03766-9
    [47] X. Xin, A. Wumaier, Z. Kadeer, J. He, SSEMGAT: Syntactic and semantic enhanced multi-layer graph attention network for aspect-level sentiment analysis, Appl. Sci., 13 (2023), 5085. https://doi.org/10.3390/app13085085 doi: 10.3390/app13085085
    [48] J. Dai, H. Yan, T. Sun, P. Liu, X. Qiu, Does syntax matter? A strong baseline for aspect-based sentiment analysis with roberta, in Proceedings of the 2021 Conference of the North American Chapter of the Association for Computational Linguistics: Human Language Technologies, (2021), 1816–1829. https://doi.org/10.18653/v1/2021.naacl-main.145
    [49] Y. Cao, Y. Tang, H. Du, F. Xu, Z. Wei, C. Xin, Heterogeneous reinforcement learning network for aspect-based sentiment classification with external knowledge, IEEE Trans. Affective Comput., 14 (2023), 3362–3375. https://doi.org/10.1109/TAFFC.2022.3233020 doi: 10.1109/TAFFC.2022.3233020
    [50] X. Shi, M. Hu, F. Ren, P. Shi, J. Deng, Y. Tang, Prompted and integrated textual information enhancing aspect-based sentiment analysis, J. Intell. Inf. Syst., 62 (2024), 91–115.
    [51] X. Shi, M. Hu, F. Ren, P. Shi, Prompted representation joint contrastive learning for aspect-based sentiment analysis, Knowl. Based Syst., 285 (2024), 111345. https://doi.org/10.1016/j.knosys.2023.111345 doi: 10.1016/j.knosys.2023.111345
  • Reader Comments
  • © 2026 the Author(s), licensee AIMS Press. This is an open access article distributed under the terms of the Creative Commons Attribution License (http://creativecommons.org/licenses/by/4.0)
通讯作者: 陈斌, bchen63@163.com
  • 1. 

    沈阳化工大学材料科学与工程学院 沈阳 110142

  1. 本站搜索
  2. 百度学术搜索
  3. 万方数据库搜索
  4. CNKI搜索

Metrics

Article views(359) PDF downloads(25) Cited by(0)

Article outline

Figures and Tables

Figures(8)  /  Tables(8)

/

DownLoad:  Full-Size Img  PowerPoint
Return
Return

Catalog