Research article

Secondary decomposition-based EVMD-DWT-Transformer for wind speed prediction

  • Published: 16 March 2026
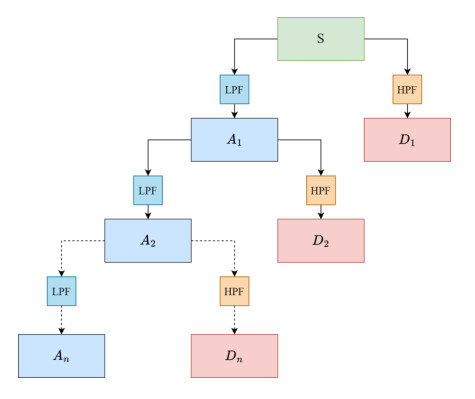
  • Accurate short-term wind speed forecasting is crucial for efficient grid management and the integration of renewable energy sources. This study introduces a hybrid forecasting model that combines enhanced variational mode decomposition (EVMD), discrete wavelet transform (DWT), and an encoder-only Transformer. The dataset is first preprocessed to handle missing values and outliers and then subjected to a two-step decomposition process: EVMD extracts the first nine intrinsic mode functions (IMFs), and DWT is applied to the last IMF from EVMD to further decompose high-frequency components and capture finer-scale variations. The encoder-only Transformer is then used to process and forecast all subseries obtained from both EVMD and DWT, excluding the final IMF from EVMD, and their outputs are aggregated to produce the final prediction. The model was evaluated using data from the Thai Hoa wind farm in Binh Thuan, Vietnam, and compared with six benchmarks (variational mode decomposition (VMD)-Transformer, VMD-long short-term memory (LSTM), Transformer, LSTM, and random forest (RF)) using mean absolute error (MAE), mean square error (MSE), root mean square error (RMSE), and normalized RMSE (NRMSE) for both single and multi-step forecasting. Results show that the proposed hybrid model consistently outperforms all benchmarks across all evaluation metrics, achieving an RMSE of 0.535 m/s for 1-step and 0.834 m/s for 24-step forecasting, representing up to 1.9% improvement over the best baseline and over 63% improvement compared to the worst-performing model, thereby demonstrating superior accuracy across both forecasting horizons. By leveraging multi-level decomposition and attention mechanisms, the model effectively captures complex wind speed patterns, enhancing forecasting performance and supporting better integration of wind energy into power systems.

    Citation: Thi Hoai Thu Nguyen, Xuan Bach Do, Trung Tuan Anh Nguyen, Phong Ky Pham. Secondary decomposition-based EVMD-DWT-Transformer for wind speed prediction[J]. AIMS Energy, 2026, 14(2): 335-357. doi: 10.3934/energy.2026015

    Related Papers:

  • Accurate short-term wind speed forecasting is crucial for efficient grid management and the integration of renewable energy sources. This study introduces a hybrid forecasting model that combines enhanced variational mode decomposition (EVMD), discrete wavelet transform (DWT), and an encoder-only Transformer. The dataset is first preprocessed to handle missing values and outliers and then subjected to a two-step decomposition process: EVMD extracts the first nine intrinsic mode functions (IMFs), and DWT is applied to the last IMF from EVMD to further decompose high-frequency components and capture finer-scale variations. The encoder-only Transformer is then used to process and forecast all subseries obtained from both EVMD and DWT, excluding the final IMF from EVMD, and their outputs are aggregated to produce the final prediction. The model was evaluated using data from the Thai Hoa wind farm in Binh Thuan, Vietnam, and compared with six benchmarks (variational mode decomposition (VMD)-Transformer, VMD-long short-term memory (LSTM), Transformer, LSTM, and random forest (RF)) using mean absolute error (MAE), mean square error (MSE), root mean square error (RMSE), and normalized RMSE (NRMSE) for both single and multi-step forecasting. Results show that the proposed hybrid model consistently outperforms all benchmarks across all evaluation metrics, achieving an RMSE of 0.535 m/s for 1-step and 0.834 m/s for 24-step forecasting, representing up to 1.9% improvement over the best baseline and over 63% improvement compared to the worst-performing model, thereby demonstrating superior accuracy across both forecasting horizons. By leveraging multi-level decomposition and attention mechanisms, the model effectively captures complex wind speed patterns, enhancing forecasting performance and supporting better integration of wind energy into power systems.



    加载中


    [1] Karaman ÖA (2023) Prediction of wind power with machine learning models. Appl Sci 13: 11455. https://doi.org/10.3390/app132011455 doi: 10.3390/app132011455
    [2] Foley AM, Leahy PG, Marvuglia A, et al. (2012) Current methods and advances in forecasting of wind power generation. Renewable Energy 37: 1–8. https://doi.org/10.1016/j.renene.2011.05.033 doi: 10.1016/j.renene.2011.05.033
    [3] Han Y, Mi L, Shen L, et al. (2022) A short-term wind speed interval prediction method based on WRF simulation and multivariate line regression for deep learning algorithms. Energy Convers Manage 258: 115540. https://doi.org/10.1016/j.enconman.2022.115540 doi: 10.1016/j.enconman.2022.115540
    [4] Landberg L (1999) Short-term prediction of the power production from wind farms. J Wind Eng Ind Aerodyn 80: 207–220. https://doi.org/10.1016/S0167-6105(98)00192-5 doi: 10.1016/S0167-6105(98)00192-5
    [5] Liu X, Lin Z, Feng Z (2021) Short-term offshore wind speed forecast by seasonal ARIMA—A comparison against GRU and LSTM. Energy 227: 120492. https://doi.org/10.1016/j.energy.2021.120492 doi: 10.1016/j.energy.2021.120492
    [6] Liu M, Cao Z, Zhang J, et al. (2020) Short-term wind speed forecasting based on the Jaya-SVM model. Int J Electr Power Energy Syst 121: 106056. https://doi.org/10.1016/j.ijepes.2020.106056 doi: 10.1016/j.ijepes.2020.106056
    [7] Zhang X, Zhao H, Yao J, et al. (2025) A multi-scale component feature learning framework based on CNN-BiGRU and online sequential regularized extreme learning machine for wind speed prediction. Renewable Energy 242: 122427. https://doi.org/10.1016/j.renene.2025.122427 doi: 10.1016/j.renene.2025.122427
    [8] Houndekindo F, Ouarda TBMJ (2025) LSTM and Transformer-based framework for bias correction of ERA5 hourly wind speeds. Energy 328: 136498. https://doi.org/10.1016/j.energy.2025.136498 doi: 10.1016/j.energy.2025.136498
    [9] Nguyen THT, Phan QB (2022) Hourly day ahead wind speed forecasting based on a hybrid model of EEMD, CNN-Bi-LSTM embedded with GA optimization. Energy Rep 8: 53–60. https://doi.org/10.1016/j.egyr.2022.05.110 doi: 10.1016/j.egyr.2022.05.110
    [10] Li S, Guo L, Zhu J, et al. (2025) Medium-term offshore wind speed multi-step forecasting based on VMD and GRU-MATNet model. Ocean Eng 325: 120737. https://doi.org/10.1016/j.oceaneng.2025.120737 doi: 10.1016/j.oceaneng.2025.120737
    [11] Xu X, Hu S, Shao H, et al. (2023) A spatio-temporal forecasting model using optimally weighted graph convolutional network and gated recurrent unit for wind speed of different sites distributed in an offshore wind farm. Energy 284: 128565. https://doi.org/10.1016/j.energy.2023.128565 doi: 10.1016/j.energy.2023.128565
    [12] Joseph LP, Deo RC, Prasad R, et al. (2023) Near real-time wind speed forecast model with bidirectional LSTM networks. Renewable Energy 204: 39–58. https://doi.org/10.1016/j.renene.2022.12.123 doi: 10.1016/j.renene.2022.12.123
    [13] Feng H, Jin Y, Laima S, et al. (2022) A ML-Based wind speed prediction model with truncated real-time decomposition and multi-resolution Data. Appl Sci 12: 9610. https://doi.org/10.3390/app12199610 doi: 10.3390/app12199610
    [14] Yue Y, Zheng W, Wu A, et al. (2025) Ultra-short-term wind speed forecasting based on secondary decomposition and Transformer-MLR combined model. Electr Power Syst Res 246: 111702. https://doi.org/10.1016/j.epsr.2025.111702 doi: 10.1016/j.epsr.2025.111702
    [15] Nhat NNV, Huu DN, Nguyen TTH (2024) Short-term multi-step forecasting of rooftop solar power generation using a combined data decomposition and deep learning model of EEMD-GRU. J Renewable Sustainable Energy 16: 016101. https://doi.org/10.1063/5.0176951 doi: 10.1063/5.0176951
    [16] Li Q, Wang G, Wu X, et al. (2024) Arctic short-term wind speed forecasting based on CNN-LSTM model with CEEMDAN. Energy 299: 131448. https://doi.org/10.1016/j.energy.2024.131448 doi: 10.1016/j.energy.2024.131448
    [17] Yan Y, Wang X, Ren F, et al. (2022) Wind speed prediction using a hybrid model of EEMD and LSTM considering seasonal features. Energy Rep 8: 8965–8980. https://doi.org/10.1016/j.egyr.2022.07.007 doi: 10.1016/j.egyr.2022.07.007
    [18] Jin Z, Fu X, Xiang L, et al. (2025) Informer learning framework based on secondary decomposition for multi-step forecast of ultra-short term wind speed. Eng Appl Artif Intell 139: 109702. https://doi.org/10.1016/j.engappai.2024.109702 doi: 10.1016/j.engappai.2024.109702
    [19] Barjasteh A, Ghafouri SH, Hashemi M (2024) A hybrid model based on discrete wavelet transform (DWT) and bidirectional recurrent neural networks for wind speed prediction. Eng Appl Artif Intell 127: 107340. https://doi.org/10.1016/j.engappai.2023.107340 doi: 10.1016/j.engappai.2023.107340
    [20] Li N, Dong J, Liu L, et al. (2023) A novel EMD and causal convolutional network integrated with Transformer for ultra short-term wind power forecasting. Int J Electr Power Energy Syst 154: 109470. https://doi.org/10.1016/j.ijepes.2023.109470 doi: 10.1016/j.ijepes.2023.109470
    [21] Gao X, Guo W, Mei C, et al. (2023) Short-term wind power forecasting based on SSA-VMD-LSTM. Energy Rep 9: 335–344. https://doi.org/10.1016/j.egyr.2023.05.181 doi: 10.1016/j.egyr.2023.05.181
    [22] Karijadi I, Chou SY, Dewabharata A (2023) Wind power forecasting based on hybrid CEEMDAN-EWT deep learning method. Renewable Energy 218: 119357. https://doi.org/10.1016/j.renene.2023.119357 doi: 10.1016/j.renene.2023.119357
    [23] Dragomiretskiy K, Zosso D (2014) Variational Mode Decomposition. IEEE Trans Signal Process 62: 531–544. https://doi.org/10.1109/TSP.2013.2288675 doi: 10.1109/TSP.2013.2288675
    [24] Jiang Y, Zhao N, Peng L, et al. (2019) A new hybrid framework for probabilistic wind speed prediction using deep feature selection and multi-error modification. Energy Convers Manage 199: 111981. https://doi.org/10.1016/j.enconman.2019.111981 doi: 10.1016/j.enconman.2019.111981
    [25] Nabavi SA, Mohammadi S, Motlagh NH, et al. (2024) Deep learning modeling in electricity load forecasting: Improved accuracy by combining DWT and LSTM. Energy Rep 12: 2873–2900. https://doi.org/10.1016/j.egyr.2024.08.070 doi: 10.1016/j.egyr.2024.08.070
    [26] Arseven B, Çınar SM (2025) A novel hybrid solar radiation forecasting algorithm based on discrete wavelet transform and multivariate machine learning models integrated with clearness index clusters. J Atmos Sol-Terr Phys 267: 106417. https://doi.org/10.1016/j.jastp.2025.106417 doi: 10.1016/j.jastp.2025.106417
    [27] Vaswani A, Shazeer N, Parmar N, et al. (2017) Attention Is All You Need. https://doi.org/10.48550/arXiv.1706.03762
  • Reader Comments
  • © 2026 the Author(s), licensee AIMS Press. This is an open access article distributed under the terms of the Creative Commons Attribution License (http://creativecommons.org/licenses/by/4.0)
通讯作者: 陈斌, bchen63@163.com
  • 1. 

    沈阳化工大学材料科学与工程学院 沈阳 110142

  1. 本站搜索
  2. 百度学术搜索
  3. 万方数据库搜索
  4. CNKI搜索

Metrics

Article views(1260) PDF downloads(296) Cited by(0)

Article outline

Figures and Tables

Figures(10)  /  Tables(12)

/

DownLoad:  Full-Size Img  PowerPoint
Return
Return

Catalog