Research article

CO32− enhanced electron transfer and enzyme stabilization overcome the ion inhibition paradigm in aerobic denitrification

  • Published: 10 April 2026
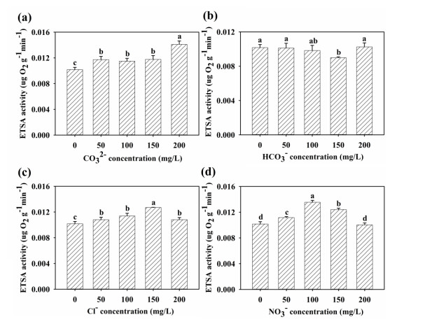
  • Aerobic denitrifying bacteria are often inhibited by inorganic ions during wastewater treatment, and elucidating their regulatory mechanisms is crucial for enhancing nitrogen removal efficiency. In this study, we systematically investigated the effects of varying concentrations of inorganic ions (0–200 mg/L) on the growth, denitrification performance, and metabolic activity of Pseudomonas mosselii H6. Based on enzyme kinetics, energy metabolism indicators, and measurements of electron transport chain activity, CO32− was found to significantly enhance denitrification capacity. At 200 mg/L, electron transport system activity (ETSA) increased by 26.42%, ATP synthesis peaked at 1.25 μmol/mg prot, and the NADH/NAD+ ratio rose to 22.69. Nitrate reductase (NR) and nitrite reductase (NiR) activities reached 28.37 and 17.76 U/mg prot, respectively. In contrast, Cl⁻ and NO3 at 200 mg/L markedly suppressed cellular metabolism, reducing NH4+-N removal efficiency to 21.41% and 16.42%, respectively. These findings revealed a concentration-dependent and ion-specific regulatory mechanism. CO32− enhances nitrogen removal by optimizing electron transfer and improving enzyme stability. This study provides a theoretical foundation for optimizing the biological treatment of high-salinity wastewater.

    Citation: Jun Zhang, Tian Hu, Zhushuo Zhang, Yihang Ding, Chunling Zheng, Shengtao Zhou. CO32− enhanced electron transfer and enzyme stabilization overcome the ion inhibition paradigm in aerobic denitrification[J]. AIMS Environmental Science, 2026, 13(2): 331-347. doi: 10.3934/environsci.2026013

    Related Papers:

  • Aerobic denitrifying bacteria are often inhibited by inorganic ions during wastewater treatment, and elucidating their regulatory mechanisms is crucial for enhancing nitrogen removal efficiency. In this study, we systematically investigated the effects of varying concentrations of inorganic ions (0–200 mg/L) on the growth, denitrification performance, and metabolic activity of Pseudomonas mosselii H6. Based on enzyme kinetics, energy metabolism indicators, and measurements of electron transport chain activity, CO32− was found to significantly enhance denitrification capacity. At 200 mg/L, electron transport system activity (ETSA) increased by 26.42%, ATP synthesis peaked at 1.25 μmol/mg prot, and the NADH/NAD+ ratio rose to 22.69. Nitrate reductase (NR) and nitrite reductase (NiR) activities reached 28.37 and 17.76 U/mg prot, respectively. In contrast, Cl⁻ and NO3 at 200 mg/L markedly suppressed cellular metabolism, reducing NH4+-N removal efficiency to 21.41% and 16.42%, respectively. These findings revealed a concentration-dependent and ion-specific regulatory mechanism. CO32− enhances nitrogen removal by optimizing electron transfer and improving enzyme stability. This study provides a theoretical foundation for optimizing the biological treatment of high-salinity wastewater.



    加载中


    [1] Li X, Jin Y X, He YY, et al. (2025) Mechanisms of N2O production in salinity-adapted partial nitritation systems for high-ammonia wastewater treatment. Water Res X 27: 100311. https://doi.org/10.1016/J.WROA.2025.100311 doi: 10.1016/J.WROA.2025.100311
    [2] Wei R, Hui C, Zhang YP, et al. (2020) Nitrogen removal characteristics and predicted conversion pathways of a heterotrophic nitrification-aerobic denitrification bacterium, Pseudomonas aeruginosa P-1. Environ Sci Pollut R 28: 7503–7514. https://doi.org/10.1007/s11356-020-11066-7 doi: 10.1007/s11356-020-11066-7
    [3] Chen JL, Xu J, Zhang SN, et al. (2021) Nitrogen removal characteristics of a novel heterotrophic nitrification and aerobic denitrification bacteria, Alcaligenes faecalis strain WT14. J Environ Manag 282: 111961. https://doi.org/10.1016/J.JENVMAN.2021.111961 doi: 10.1016/J.JENVMAN.2021.111961
    [4] Song T, Zhang XL, Li J, et al. (2021) A review of research progress of heterotrophic nitrification and aerobic denitrification microorganisms (HNADMs). Sci Total Environ 801: 149319. https://doi.org/10.1016/J.SCITOTENV.2021.149319 doi: 10.1016/J.SCITOTENV.2021.149319
    [5] Huang MQ, Cui YW, Huang JL, et al. (2022) A novel Pseudomonas aeruginosa strain performs simultaneous heterotrophic nitrification-aerobic denitrification and aerobic phosphate removal. Water Res 221: 118823. https://doi.org/10.1016/J.WATRES.2022.118823 doi: 10.1016/J.WATRES.2022.118823
    [6] Xi HP, Zhou XT, Arslan M, et al. (2022) Heterotrophic nitrification and aerobic denitrification process: Promising but a long way to go in the wastewater treatment. Sci Total Environ 805: 150212. https://doi.org/10.1016/J.SCITOTENV.2021.150212 doi: 10.1016/J.SCITOTENV.2021.150212
    [7] Hou M, Li W, Li H, et al. (2019) Performance and bacterial characteristics of aerobic granular sludge in response to alternating salinity. Int Biodeter Biodegr 142: 211–217. https://doi.org/10.1016/j.ibiod.2019.05.007 doi: 10.1016/j.ibiod.2019.05.007
    [8] Chen AL, Su X, Xing ZL, et al. (2022) Effect mechanism of individual and combined salinity on the nitrogen removal yield of heterotrophic nitrification-aerobic denitrification bacteria. Environ Res 214: 113834. https://doi.org/10.1016/J.ENVRES.2022.113834 doi: 10.1016/J.ENVRES.2022.113834
    [9] Ma TF, Ma HX, Xing CY, et al. (2025) Physiological and proteomic insights into silver nanoparticle-induced stress responses and resistance mechanisms in aerobic denitrifying Enterobacter cloacae HNR. J Environ Chem Eng 13: 115934. https://doi.org/10.1016/J.JECE.2025.115934 doi: 10.1016/J.JECE.2025.115934
    [10] Yin C, Li Y, Zhang TY, et al. (2020) Effects of exposure to anionic surfactants (SDBS and SDS) on nitrogen removal of aerobic denitrifier. Water Environ Res 92: 2129–2139. https://doi.org/10.1002/wer.1384 doi: 10.1002/wer.1384
    [11] Shi CY, Gou F, Chen LA, et al. (2024) Influence and mechanism of typical transition metal ions on the denitrification performance of heterotrophic nitrification-aerobic denitrification bacteria. Environ Res 258: 119460. https://doi.org/10.1016/J.ENVRES.2024.119460 doi: 10.1016/J.ENVRES.2024.119460
    [12] Fang JK, Liao SA, Zhang SS, et al. (2021) Characteristics of a novel heterotrophic nitrification-aerobic denitrification yeast, Barnettozyma californica K1. Bioresource Technol 339: 125665. https://doi.org/10.1016/J.BIORTECH.2021.125665 doi: 10.1016/J.BIORTECH.2021.125665
    [13] Wu GY, Yang GF, Sun XR, et al. (2023) Simultaneous denitrification and organics removal by denitrifying bacteria inoculum in a multistage biofilm process for treating desulfuration and denitration wastewater. Bioresource Technol 388: 129757. https://doi.org/10.1016/J.BIORTECH.2023.129757 doi: 10.1016/J.BIORTECH.2023.129757
    [14] Gao J, Duan XD, O'Shea K, et al. (2019) Degradation and transformation of bisphenol A in UV/Sodium percarbonate: Dual role of carbonate radical anion. Water Res 171: 115394. https://doi.org/10.1016/j.watres.2019.115394 doi: 10.1016/j.watres.2019.115394
    [15] Keykha HA, Zangani A, Romiani HM, et al. (2023) Characterizing microbial and CO2-induced carbonate minerals: Implications for soil stabilization in sandy environments. Minerals 13: 976. https://doi.org/10.3390/MIN13070976 doi: 10.3390/MIN13070976
    [16] Shi LD, Gao TY, Wei XW, et al. (2022) pH-dependent hydrogenotrophic denitratation based on self-alkalization. Environ Sci Technol 57: 685–696. https://doi.org/10.1021/ACS.EST.2C05559 doi: 10.1021/ACS.EST.2C05559
    [17] Fernández AR, Areias C, Daffonchio D, et al. (2022) The role of microorganisms in the nucleation of crbonates, environmental implications and applications. Minerals 12: 1562. https://doi.org/10.3390/MIN12121562 doi: 10.3390/MIN12121562
    [18] Yue X, You A, Liu Y, et al. (2023) Low-concentration methanol effect on the microorganisms, nitrogen removal, and recovery of the completely autotrophic nitrogen removal over nitrite. Water Sci Technol 87: 130–143. https://doi.org/10.2166/WST.2022.417 doi: 10.2166/WST.2022.417
    [19] Hu T, Wei JT, Ding YH, et al. (2024) Characterisation of Pseudomonas mosselii H6 for aerobic denitrification: Stoichiometry and reaction kinetics. Biotechnol Biotec Eq 38. https://doi.org/10.1080/13102818.2024.2402445 doi: 10.1080/13102818.2024.2402445
    [20] Zhang Y, Bao JG, Du JK, et al. (2023) Comprehensive metagenomic and enzyme activity analysis reveals the inhibitory effects and potential toxic mechanism of tetracycline on denitrification in groundwater. Water Res 247: 120803. https://doi.org/10.1016/J.WATRES.2023.120803 doi: 10.1016/J.WATRES.2023.120803
    [21] Chen JH, Xue Y, Yang DL, et al. (2023) Optimizing waste molasses utilization to enhance electron transfer via micromagnetic carriers: Mechanisms and high-nitrate wastewater denitrification performance. Environ Res 242: 117709. https://doi.org/10.1016/J.ENVRES.2023.117709 doi: 10.1016/J.ENVRES.2023.117709
    [22] Yang G, Luo YD, Bian YH, et al. (2024) Electro-mediated cathodic oxygen drives respiration chain electron transfer of electroactive bacteria to enhance refractory organic biological oxidation. Water Res 268: 122585. https://doi.org/10.1016/J.WATRES.2024.122585 doi: 10.1016/J.WATRES.2024.122585
    [23] Feng J, Shaik SS, Wang BJ (2021) Spin-regulated electron transfer and exchange-enhanced reactivity in Fe4S4-mediated redox reaction of the Dph2 enzyme during the biosynthesis of Diphthamide. Angew Chem Int Edit 60: 20430–20436. https://doi.org/10.1002/anie.202107008 doi: 10.1002/anie.202107008
    [24] Huang JE, Li FW, Ozden A, et al. (2021) CO2 electrolysis to multicarbon products in strong acid. Science 372: 1074–1078. https://doi.org/10.1126/SCIENCE.ABG6582 doi: 10.1126/SCIENCE.ABG6582
    [25] Zhang ZS, Gao PT, Guo L, et al. (2020) Elucidating temperature on mixotrophic cultivation of a Chlorella vulgaris strain: Different carbon source application and enzyme activity revelation. Bioresource Technol 314: 123721. https://doi.org/10.1016/j.biortech.2020.123721 doi: 10.1016/j.biortech.2020.123721
    [26] Marcandalli G, Boterman K, Koper M (2022) Understanding hydrogen evolution reaction in bicarbonate buffer. J Catal 405: 346–354. https://doi.org/10.1016/J.JCAT.2021.12.012 doi: 10.1016/J.JCAT.2021.12.012
    [27] Lan QF, Yang YM, Xie ZY, et al. (2023) Molecular dynamics calculation of the coordination behavior of Yb (III) in Sodium Carbonate solution. Processes 11: 2624. https://doi.org/10.3390/PR11092624 doi: 10.3390/PR11092624
    [28] Jentsch TJ, Pusch M (2018) CLC Chloride channels and transporters: Structure, function, physiology, and disease. Physiol Rev 98: 1493–1590. https://doi.org/10.1152/physrev.00047.2017 doi: 10.1152/physrev.00047.2017
    [29] Yoshinori M (2023) Physiological roles of chloride ions in bodily and cellular function. J Physiol Sci 73: 31. https://doi.org/10.1186/S12576-023-00889-X doi: 10.1186/S12576-023-00889-X
    [30] Wang H, Lu HG, Xu L, et al. (2021) Molybdate transporter ModABC contributes to Klebsiella pneumoniae muscle infection and new insight into its treatment. Microbiology 48: 2784–2800. https://doi.org/10.13344/j.microbiol.china.201103 doi: 10.13344/j.microbiol.china.201103
    [31] Peters K, Staehlke S, Rebl H, et al. (2024) Impact of metal ions on Cellular functions: A focus on mesenchymal stem/stromal cell differentiation. Int J Mol Sci 25: 10127. https://doi.org/10.3390/IJMS251810127 doi: 10.3390/IJMS251810127
  • Environ-13-02-013-S001.pdf
  • Reader Comments
  • © 2026 the Author(s), licensee AIMS Press. This is an open access article distributed under the terms of the Creative Commons Attribution License (http://creativecommons.org/licenses/by/4.0)
通讯作者: 陈斌, bchen63@163.com
  • 1. 

    沈阳化工大学材料科学与工程学院 沈阳 110142

  1. 本站搜索
  2. 百度学术搜索
  3. 万方数据库搜索
  4. CNKI搜索

Metrics

Article views(458) PDF downloads(48) Cited by(0)

Article outline

Figures and Tables

Figures(13)

/

DownLoad:  Full-Size Img  PowerPoint
Return
Return

Catalog