Research article Special Issues

Systematic comparison and optimization of parameter estimation methods for stochastic gene expression kinetics

  • Published: 12 March 2026
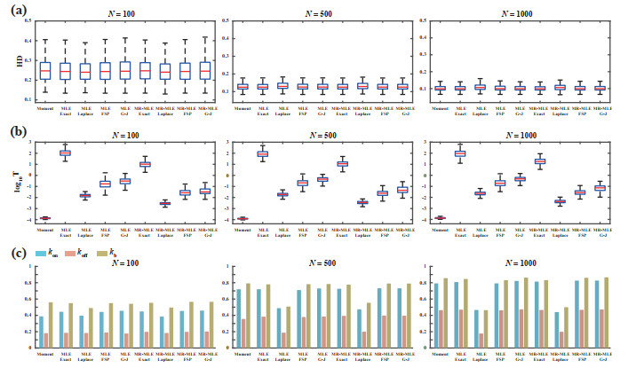
  • Accurately estimating kinetic parameters of stochastic gene expression is a key challenge in quantitative single-cell transcriptomics. Building on the strengths of traditional methods, such as the method of moments and maximum likelihood estimation (MLE), we propose a novel framework: moment-reduced MLE (MR-MLE). We combined these three parameter estimation methods with four steady-state mRNA distribution computation strategies (exact distribution expression, Laplace approximation, finite state projection (FSP), and Gauss–Jacobi quadrature) to form nine distinct inference methods. These methods were systematically compared on both synthetic and real experimental data across two core dimensions: computational efficiency and parameter estimation accuracy. Results show that the Laplace approximation yields unreliable parameter estimates; the method of moments is computationally efficient but suffers from small-sample bias; the exact distribution solution is the least computationally efficient; and the FSP method exhibits fluctuating efficiency with varying gene expression levels. Notably, MR-MLE integrated with Gauss–Jacobi quadrature achieves the optimal balance between computational speed and inference robustness. Thus, we recommend this method as the preferred choice for fitting experimental data, providing a reliable and efficient computational solution for large-scale single-cell gene expression data analysis.

    Citation: Liang Chen, Ying Sheng, Zhihui Xie, Feng Jiao. Systematic comparison and optimization of parameter estimation methods for stochastic gene expression kinetics[J]. Electronic Research Archive, 2026, 34(4): 2261-2278. doi: 10.3934/era.2026102

    Related Papers:

  • Accurately estimating kinetic parameters of stochastic gene expression is a key challenge in quantitative single-cell transcriptomics. Building on the strengths of traditional methods, such as the method of moments and maximum likelihood estimation (MLE), we propose a novel framework: moment-reduced MLE (MR-MLE). We combined these three parameter estimation methods with four steady-state mRNA distribution computation strategies (exact distribution expression, Laplace approximation, finite state projection (FSP), and Gauss–Jacobi quadrature) to form nine distinct inference methods. These methods were systematically compared on both synthetic and real experimental data across two core dimensions: computational efficiency and parameter estimation accuracy. Results show that the Laplace approximation yields unreliable parameter estimates; the method of moments is computationally efficient but suffers from small-sample bias; the exact distribution solution is the least computationally efficient; and the FSP method exhibits fluctuating efficiency with varying gene expression levels. Notably, MR-MLE integrated with Gauss–Jacobi quadrature achieves the optimal balance between computational speed and inference robustness. Thus, we recommend this method as the preferred choice for fitting experimental data, providing a reliable and efficient computational solution for large-scale single-cell gene expression data analysis.



    加载中


    [1] M. Kærn, T. C. Elston, W. J. Blake, J. J. Collins, Stochasticity in gene expression: from theories to phenotypes, Nat. Rev. Genet., 6 (2005), 451–464. https://doi.org/10.1038/nrg1615 doi: 10.1038/nrg1615
    [2] I. Golding, J. Paulsson, S. M. Zawilski, E. C. Cox, Real-time kinetics of gene activity in individual bacteria, Cell, 123 (2005), 1025–1036. https://doi.org/10.1016/j.cell.2005.09.031 doi: 10.1016/j.cell.2005.09.031
    [3] T. L. Lenstra, J. Rodriguez, H. Chen, D. R. Larson, Transcription dynamics in living cells, Annu. Rev. Biophys., 45 (2016), 25–47. https://doi.org/10.1146/annurev-biophys-062215-010838 doi: 10.1146/annurev-biophys-062215-010838
    [4] D. B. Mahat, N. D. Tippens, J. D. Martin-Rufino, S. K. Waterton, J. Fu, S. E. Blatt, et al., Single-cell nascent RNA sequencing unveils coordinated global transcription, Nature, 631 (2024), 216–223. https://doi.org/10.1038/s41586-024-07517-7 doi: 10.1038/s41586-024-07517-7
    [5] A. Raj, C. S. Peskin, D. Tranchina, D. Y. Vargas, S. Tyagi, Stochastic mrna synthesis in mammalian cells, PLoS Biol., 4 (2006), e309. https://doi.org/10.1371/journal.pbio.0040309 doi: 10.1371/journal.pbio.0040309
    [6] L. H. So, A. Ghosh, C. Zong, L. A. Sepúlveda, R. Segev, I. Golding, General properties of transcriptional time series in Escherichia coli, Nat. Genet., 43 (2011), 554–560. https://doi.org/10.1038/ng.821 doi: 10.1038/ng.821
    [7] J. K. Kim, J. C. Marioni, Inferring the kinetics of stochastic gene expression from single-cell RNA-sequencing data, Genome Biol., 14 (2013), R7. https://doi.org/10.1186/gb-2013-14-1-r7 doi: 10.1186/gb-2013-14-1-r7
    [8] L. Chen, C. Zhu, F. Jiao, A generalized moment-based method for estimating parameters of stochastic gene transcription, Math. Biosci., 345 (2022), 108780. https://doi.org/10.1016/j.mbs.2022.108780 doi: 10.1016/j.mbs.2022.108780
    [9] A. J. Larsson, P. Johnsson, M. Hagemann-Jensen, L. Hartmanis, O. R. Faridani, B. Reinius, et al., Genomic encoding of transcriptional burst kinetics, Nature, 565 (2019), 251–254. https://doi.org/10.1038/s41586-018-0836-1 doi: 10.1038/s41586-018-0836-1
    [10] S. S. Dey, J. E. Foley, P. Limsirichai, D. V. Schaffer, A. P. Arkin, Orthogonal control of expression mean and variance by epigenetic features at different genomic loci, Mol. Syst. Biol., 11 (2015), MSB145704. https://doi.org/10.15252/msb.20145704 doi: 10.15252/msb.20145704
    [11] T. N. Vu, Q. F. Wills, K. R. Kalari, N. Niu, L. Wang, M. Rantalainen, et al., Beta-Poisson model for single-cell RNA-seq data analyses, Bioinformatics, 32 (2016), 2128–2135. https://doi.org/10.1093/bioinformatics/btw202 doi: 10.1093/bioinformatics/btw202
    [12] L. B. Carey, D. van Dijk, P. M. Sloot, J. A. Kaandorp, E. Segal, Promoter sequence determines the relationship between expression level and noise, PLoS Biol., 11 (2013), e1001528. https://doi.org/10.1371/journal.pbio.1001528 doi: 10.1371/journal.pbio.1001528
    [13] D. L. Jones, R. C. Brewster, R. Phillips, Promoter architecture dictates cell-to-cell variability in gene expression, Science, 346 (2014), 1533–1536. https://doi.org/10.1126/science.1255301 doi: 10.1126/science.1255301
    [14] C. Zong, L. H. So, L. A. Sepúlveda, S. O. Skinner, I. Golding, Lysogen stability is determined by the frequency of activity bursts from the fate-determining gene, Mol. Syst. Biol., 6 (2010), MSB201096. https://doi.org/10.1038/msb.2010.96 doi: 10.1038/msb.2010.96
    [15] F. Jiao, M. Tang, Quantification of transcription noise's impact on cell fate commitment with digital resolutions, Bioinformatics, 38 (2022), 3062–3069. https://doi.org/10.1093/bioinformatics/btac277 doi: 10.1093/bioinformatics/btac277
    [16] T. I. Lee, R. A. Young, Transcriptional regulation and its misregulation in disease, Cell, 152 (2013), 1237–1251. https://doi.org/10.1016/j.cell.2013.02.014 doi: 10.1016/j.cell.2013.02.014
    [17] R. D. Dar, N. N. Hosmane, M. R. Arkin, R. F. Siliciano, L. S. Weinberger, Screening for noise in gene expression identifies drug synergies, Science, 344 (2014), 1392–1396. https://doi.org/10.1126/science.1250220 doi: 10.1126/science.1250220
    [18] E. Shapiro, T. Biezuner, S. Linnarsson, Single-cell sequencing-based technologies will revolutionize whole-organism science, Nat. Rev. Genet., 14 (2013), 618–630. https://doi.org/10.1038/nrg3542 doi: 10.1038/nrg3542
    [19] A. Mortazavi, B. A. Williams, K. McCue, L. Schaeffer, B. Wold, Mapping and quantifying mammalian transcriptomes by RNA-Seq, Nat. Methods, 5 (2008), 621–628. https://doi.org/10.1038/nmeth.1226 doi: 10.1038/nmeth.1226
    [20] J. R. Moffitt, J. Hao, G. Wang, K. H. Chen, H. P. Babcock, X. Zhuang, High-throughput single-cell gene-expression profiling with multiplexed error-robust fluorescence in situ hybridization, Proc. Natl. Acad. Sci. U.S.A., 113 (2016), 11046–11051. https://doi.org/10.1073/pnas.1612826113 doi: 10.1073/pnas.1612826113
    [21] F. Jiao, J. Li, T. Liu, Y. Zhu, W. Che, L. Bleris, et al., What can we learn when fitting a simple telegraph model to a complex gene expression model?, PLoS Comput. Biol., 20 (2024), e1012118. https://doi.org/10.1371/journal.pcbi.1012118 doi: 10.1371/journal.pcbi.1012118
    [22] S. Y. Kim, D. Huh, Z. Zhou, E. Y. Mun, A comparison of Bayesian to maximum likelihood estimation for latent growth models in the presence of a binary outcome, Int. J. Behav. Dev., 44 (2020), 447–457. https://doi.org/10.1177/0165025419894730 doi: 10.1177/0165025419894730
    [23] P. Thomas, V. Shahrezaei, Coordination of gene expression noise with cell size: analytical results for agent-based models of growing cell populations, J. R. Soc. Interface, 18 (2021), 20210274. https://doi.org/10.1098/rsif.2021.0274 doi: 10.1098/rsif.2021.0274
    [24] S. Iyer-Biswas, F. Hayot, C. Jayaprakash, Stochasticity of gene products from transcriptional pulsing, Phys. Rev. E, 79 (2009), 031911. https://doi.org/10.1103/PhysRevE.79.031911 doi: 10.1103/PhysRevE.79.031911
    [25] R. W. Butler, A. T. Wood, Laplace approximations for hypergeometric functions with Hermitian matrix argument, Ann. Stat., 30 (2002), 1155–1177. Available from: https://www.jstor.org/stable/1558699.
    [26] B. Munsky, M. Khammash, The finite state projection algorithm for the solution of the chemical master equation, J. Chem. Phys., 124 (2006), 044104. https://doi.org/10.1063/1.2145882 doi: 10.1063/1.2145882
    [27] F. B. Hildebrand, Introduction to Numerical Analysis, New York: Dover Publications, 1987.
    [28] J. Paulsson, M. Ehrenberg, Noise in a minimal regulatory network: plasmid copy number control, Q. Rev. Biophys., 34 (2001), 1–59. https://doi.org/10.1017/S0033583501003663 doi: 10.1017/S0033583501003663
    [29] C. Jia, R. Grima, Coupling gene expression dynamics to cell size dynamics and cell cycle events: Exact and approximate solutions of the extended telegraph model, iScience, 26 (2023), 105746. https://doi.org/10.1016/j.isci.2022.105746 doi: 10.1016/j.isci.2022.105746
    [30] J. Peccoud, B. Ycart, Markovian modeling of gene-product synthesis, Theor. Popul Biol., 48 (1995), 222–234. https://doi.org/10.1006/tpbi.1995.1027 doi: 10.1006/tpbi.1995.1027
    [31] B. Munsky, G. Li, Z. R. Fox, D. P. Shepherd, G. Neuert, Distribution shapes govern the discovery of predictive models for gene regulation, Proc. Natl. Acad. Sci. U.S.A., 115 (2018), 7533–7538. https://doi.org/10.1073/pnas.1804060115 doi: 10.1073/pnas.1804060115
    [32] C. Zhu, L. Chen, Z. Qiu, J. Chen, F. Jiao, J. Yu, Correlation and distinction between stochastic gene transcription models with and without polymerase dynamics, Phys. Rev. Res., 7 (2025), 023050. https://doi.org/10.1103/PhysRevResearch.7.023050 doi: 10.1103/PhysRevResearch.7.023050
    [33] K. Wen, Y. Liao, J. Wang, S. Choubey, F. Jiao, A moments-based approach for inferring mechanisms of transcriptional regulation using nascent RNA data, Biophys. J., 125 (2026), 1257–1275. https://doi.org/10.1016/j.bpj.2026.01.030 doi: 10.1016/j.bpj.2026.01.030
  • Reader Comments
  • © 2026 the Author(s), licensee AIMS Press. This is an open access article distributed under the terms of the Creative Commons Attribution License (http://creativecommons.org/licenses/by/4.0)
通讯作者: 陈斌, bchen63@163.com
  • 1. 

    沈阳化工大学材料科学与工程学院 沈阳 110142

  1. 本站搜索
  2. 百度学术搜索
  3. 万方数据库搜索
  4. CNKI搜索

Metrics

Article views(331) PDF downloads(30) Cited by(0)

Article outline

Figures and Tables

Figures(6)

Other Articles By Authors

/

DownLoad:  Full-Size Img  PowerPoint
Return
Return

Catalog