Research article

Deep-learning-based intelligent neonatal seizure identification using spatial and spectral GNN optimized with the Aquila algorithm

  • Published: 14 June 2024
  • MSC : 68Q32, 68T07, 68T40, 92D30

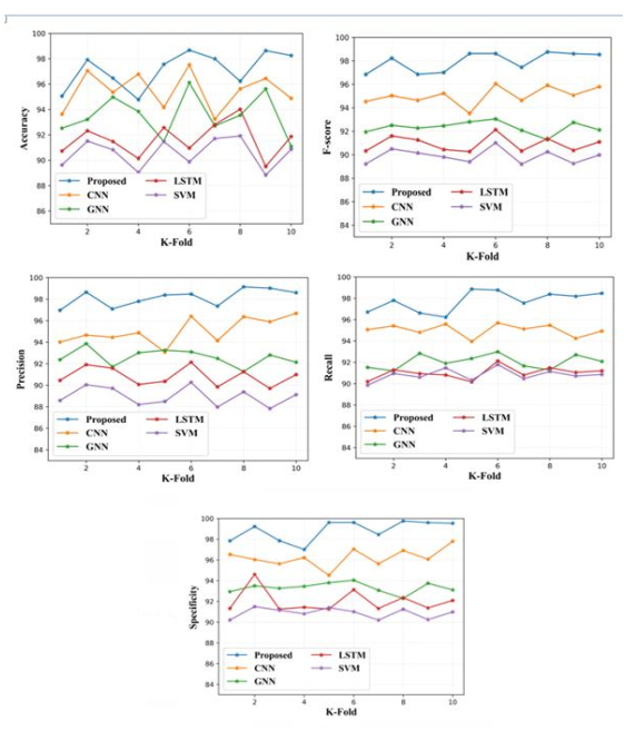
  • Diagnosing and treating newborn seizures accurately and promptly is crucial for providing the best possible care for these patients. For the purpose of intelligently identifying newborn seizures, this work introduced a unique method that uses spectral and spatial graph neural networks (SSGNNs) optimized with the Aquila algorithm. Using electroencephalogram (EEG) recordings, the suggested methodology takes advantage of the complex spatial and spectral characteristics of infant brain activity. Spatial and spectral GNNs were used to extract significant spatiotemporal patterns suggestive of seizure episodes by organizing the brain activity data as a graph, with nodes representing various brain regions and edges signifying functional relationships. By combining spectral and spatial data, the depiction of newborn brain dynamics was improved and made it possible to distinguish between seizure and non-seizure phases with greater accuracy. Moreover, the introduction of the Aquila algorithm improved the GNNs' performance in seizure identification tasks by streamlining the training process. A large dataset of EEG recordings from newborns with and without seizures was used to assess the effectiveness of the suggested method. Higher accuracy, sensitivity, and specificity in seizure detection were achieved in the experimental results, which showed greater performance when compared to conventional methods. This work offered an automated, data-driven method for identifying newborn seizures, which is a major development in the treatment of newborns. By combining spectral and spatial GNNs and optimizing the results using the Aquila method, it is possible to enhance seizure detection accuracy and potentially prevent neurological consequences in affected children by intervening early. This method has the potential to completely change the way neonatal care is provided by giving medical professionals a strong tool for accurate and prompt seizure monitoring in neonatal intensive care units (NICU).

    Citation: Madhusundar Nelson, Surendran Rajendran, Osamah Ibrahim Khalaf, Habib Hamam. Deep-learning-based intelligent neonatal seizure identification using spatial and spectral GNN optimized with the Aquila algorithm[J]. AIMS Mathematics, 2024, 9(7): 19645-19669. doi: 10.3934/math.2024958

    Related Papers:

  • Diagnosing and treating newborn seizures accurately and promptly is crucial for providing the best possible care for these patients. For the purpose of intelligently identifying newborn seizures, this work introduced a unique method that uses spectral and spatial graph neural networks (SSGNNs) optimized with the Aquila algorithm. Using electroencephalogram (EEG) recordings, the suggested methodology takes advantage of the complex spatial and spectral characteristics of infant brain activity. Spatial and spectral GNNs were used to extract significant spatiotemporal patterns suggestive of seizure episodes by organizing the brain activity data as a graph, with nodes representing various brain regions and edges signifying functional relationships. By combining spectral and spatial data, the depiction of newborn brain dynamics was improved and made it possible to distinguish between seizure and non-seizure phases with greater accuracy. Moreover, the introduction of the Aquila algorithm improved the GNNs' performance in seizure identification tasks by streamlining the training process. A large dataset of EEG recordings from newborns with and without seizures was used to assess the effectiveness of the suggested method. Higher accuracy, sensitivity, and specificity in seizure detection were achieved in the experimental results, which showed greater performance when compared to conventional methods. This work offered an automated, data-driven method for identifying newborn seizures, which is a major development in the treatment of newborns. By combining spectral and spatial GNNs and optimizing the results using the Aquila method, it is possible to enhance seizure detection accuracy and potentially prevent neurological consequences in affected children by intervening early. This method has the potential to completely change the way neonatal care is provided by giving medical professionals a strong tool for accurate and prompt seizure monitoring in neonatal intensive care units (NICU).



    加载中


    [1] F. A. Jibon, M. H. Miraz, M. U. Khandaker, M. Rashdan, M. Salman, A. Tasbir, et al., Epileptic seizure detection from electroencephalogram (EEG) signals using linear graph convolutional network and DenseNet based hybrid framework, J. Radiat. Res. Appl. Sci., 16 (2023), 100607. https://doi.org/10.1016/j.jrras.2023.100607 doi: 10.1016/j.jrras.2023.100607
    [2] D. Grattarola, L. Livi, C. Alippi, R. Wennberg, T. A. Valiante, Seizure localisation with attention-based graph neural networks, Expert Syst. Appl., 203 (2022), 117330. https://doi.org/10.1016/j.eswa.2022.117330 doi: 10.1016/j.eswa.2022.117330
    [3] A. Shoeibi, M. Khodatars, N. Ghassemi, M. Jafari, P. Moridian, R. Alizadehsani, et al., Epileptic seizures detection using deep learning techniques: A review, Int. J. Environ. Res. Public Health., 18 (2021), 5780. https://doi.org/10.3390/ijerph18115780 doi: 10.3390/ijerph18115780
    [4] A. Gramacki, J. Gramacki, A deep learning framework for epileptic seizure detection based on neonatal EEG signals. Sci. Rep., 12 (2022), 13010. https://doi.org/10.1038/s41598-022-15830-2 doi: 10.1038/s41598-022-15830-2
    [5] K. Rezaee, E. Azizi, J. Haddadnia, Optimized seizure detection algorithm: A fast approach for onset of epileptic in EEG signals using GT discriminant analysis and K-NN classifier, J. Biomed. Phys. Eng., 6 (2016), 81–94.
    [6] A. Temko, E. Thomas, W. Marnane, G. Lightbody, G. Boylan, EEG-based neonatal seizure detection with Support Vector Machines, Clin. Neurophysiol., 122 (2011), 464–473. https://doi.org/10.1016/j.clinph.2010.06.034 doi: 10.1016/j.clinph.2010.06.034
    [7] A. Kukker, R. Sharma, A Genetic Algorithm Assisted Fuzzy Q-Learning epileptic seizure classifier, Comput. Electr. Eng., 92 (2021), 107154. https://doi.org/10.1016/j.compeleceng.2021.107154 doi: 10.1016/j.compeleceng.2021.107154
    [8] M. K. Jareda, R. Sharma, A. Kukker, EEG signal based seizure classification using wavelet transform, In: 2019 International Conference on Computing, Power and Communication Technologies (GUCON), 2019, 537–539.
    [9] M. Nelson, S. Rajendran, Y. Alotaibi, Vision graph neural network-based neonatal identification to avoid swapping and abduction, AIMS Mathematics, 8 (2023), 21554–21571. https://doi.org/10.3934/math.20231098 doi: 10.3934/math.20231098
    [10] N. Stevenson, K. Tapani, L. Lauronen, S. Vanhatalo, A dataset of neonatal EEG recordings with seizures annotations, 2018. Available from: https://zenodo.org/records/1280684.
    [11] F. A. Jibon, M. H. Miraz, M. U. Khandaker, M. Rashdan, M. Salman, A. Tasbir, et al., Epileptic seizure detection from electroencephalogram (EEG) signals using linear graph convolutional network and DenseNet based hybrid framework, J. Radiat. Res. Appl. Sci., 16 (2023), 100607. https://doi.org/10.1016/j.jrras.2023.100607 doi: 10.1016/j.jrras.2023.100607
    [12] A. Nogales, Á. J. García-Tejedor, P. Chazarra, A. Ugalde-Canitrot, Discriminating and understanding brain states in children with epileptic spasms using deep learning and graph metrics analysis of brain connectivity, Comput. Meth. Prog. Biomed., 232 (2023), 107427. https://doi.org/10.1016/j.cmpb.2023.107427 doi: 10.1016/j.cmpb.2023.107427
    [13] K. Raeisi, M. Khazaei, P. Croce, G. Tamburro, S. Comani, F. Zappasodi, A graph convolutional neural network for the automated detection of seizures in the neonatal EEG, Comput. Meth. Prog. Biomed., 222 (2022), 106950. https://doi.org/10.1016/j.cmpb.2022.106950 doi: 10.1016/j.cmpb.2022.106950
    [14] J. Zhang, G. Sun, K. Zheng, S. Mazhar, X. Fu, Y. Li, et al., SSGNN: A Macro and Microfacial expression recognition graph neural network combining spatial and spectral domain features, IEEE T. Hum.-Mach. Syst., 52 (2022), 747–760. https://doi.org/10.1109/THMS.2022.3163211 doi: 10.1109/THMS.2022.3163211
    [15] S. Rajendran, O. I. Khalaf, Y. Alotaibi, S. Alghamdi, MapReduce-based big data classification model using feature subset selection and hyperparameter tuned deep belief network, Sci. Rep., 11 (2021), 24138. https://doi.org/10.1038/s41598-021-03019-y doi: 10.1038/s41598-021-03019-y
    [16] Y. Le Cun, B. Boser, J. S. Denker, D. Henderson, R. E. Howard, W. Hubbard, et al., Handwritten digit recognition with a back-propagation network, In: NIPS'89: Proceedings of the 2nd International Conference on Neural Information Processing Systems, 1989, 396–404.
    [17] T. Tamilvizhi, R. Surendran, K. Anbazhagan, K. Rajkumar, Quantum behaved particle swarm optimization-based deep transfer learning model for sugarcane leaf disease detection and classification, Math. Probl. Eng., 2022 (2022), 3452413. https://doi.org/10.1155/2022/3452413 doi: 10.1155/2022/3452413
    [18] R. Surendran, O. I. Khalaf, C. A. T. Romero, Deep learning based intelligent industrial fault diagnosis model, Comput. Mater. Con., 70 (2022), 6323–6338. https://doi.org/10.32604/cmc.2022.021716 doi: 10.32604/cmc.2022.021716
    [19] A. M. Maitin, A. Nogales, P. Chazarra, Á. J. García-Tejedor, EEGraph: An open-source python library for modeling electroencephalograms using graphs, Neurocomputing, 519 (2022), 127–134. https://doi.org/10.1016/j.neucom.2022.11.050 doi: 10.1016/j.neucom.2022.11.050
    [20] A. M. Maitin, J. P. R. Muñ oz, Á. J. García-Tejedor, Survey of machine learning techniques in the analysis of EEG signals for Parkinson's disease: A systematic review, Appl. Sci., 12 (2022), 6967. https://doi.org/10.3390/app12146967 doi: 10.3390/app12146967
    [21] L. Hug, M. Alexander, D. You, L. Alkema, National, regional, and global levels and trends in neonatal mortality between 1990 and 2017, with scenario-based projections to 2030: A systematic analysis, Lancet Glob. Health, 7 (2019), E710–E720. https://doi.org/10.1016/S2214-109X(19)30163-9 doi: 10.1016/S2214-109X(19)30163-9
    [22] O. Meinich-Bache, S. L. Austnes, K. Engan, I. Austvoll, T. Eftestøl, H. Myklebust, et al., Activity recognition from newborn resuscitation videos, IEEE J. Biomed. Health, 24 (2020), 3258–3267. https://doi.org/10.1109/JBHI.2020.2978252 doi: 10.1109/JBHI.2020.2978252
    [23] Laith Abualigah, D. Yousri, M. Abd Elaziz, A. A. Ewees, M. A. A. Al-qaness, A. H. Gandomi, Aquila optimizer: A novel meta-heuristic optimization algorithm, Comput. Ind. Eng., 157 (2021), 107250. https://doi.org/10.1016/j.cie.2021.107250 doi: 10.1016/j.cie.2021.107250
    [24] K. A. Ogudo, R. Surendran, O. I. Khalaf, Optimal artificial intelligence-based automated skin lesion detection and classification model, Comput. Syst. Sci. Eng., 44 (2023), 693–707. https://doi.org/10.32604/csse.2023.024154 doi: 10.32604/csse.2023.024154
    [25] S. Deepthi, P. S. Arun, Recognition of new born babies using multi class SVM, In: 2017 International Conference on Circuit, Power and Computing Technologies (ICCPCT), 2017. https://doi.org/10.1109/ICCPCT.2017.8074303
    [26] X. Ji, Z. Dong, Y. Han, C. S. Lai, G. Zhou, D. Qi, EMSN: An energy-efficient memristive sequencer network for human emotion classification in mental health monitoring, IEEE T. Consum. Electr., 69 (2023), 1005–1016. https://doi.org/10.1109/TCE.2023.3263672 doi: 10.1109/TCE.2023.3263672
    [27] T. Thanarajan, Y. Alotaibi, S. Rajendran, K. Nagappan, Improved wolf swarm optimization with deep-learning-based movement analysis and self-regulated human activity recognition, AIMS Mathematics, 8 (2023), 12520–12539. https://doi.org/10.3934/math.2023629 doi: 10.3934/math.2023629
    [28] S. Rajagopal, T. Thanarajan, Y. Alotaibi, S. Alghamdi, Brain tumor: Hybrid feature extraction based on UNET and 3DCNN, Comput. Syst. Sci. Eng., 45 (2023), 2093–2109. https://doi.org/10.32604/csse.2023.032488 doi: 10.32604/csse.2023.032488
  • Reader Comments
  • © 2024 the Author(s), licensee AIMS Press. This is an open access article distributed under the terms of the Creative Commons Attribution License (http://creativecommons.org/licenses/by/4.0)
通讯作者: 陈斌, bchen63@163.com
  • 1. 

    沈阳化工大学材料科学与工程学院 沈阳 110142

  1. 本站搜索
  2. 百度学术搜索
  3. 万方数据库搜索
  4. CNKI搜索

Metrics

Article views(3188) PDF downloads(69) Cited by(18)

Article outline

Figures and Tables

Figures(15)  /  Tables(3)

/

DownLoad:  Full-Size Img  PowerPoint
Return
Return

Catalog