Research article

Harris hawks optimization algorithm and BP neural network for ultra-wideband indoor positioning


  • Published: 22 June 2022
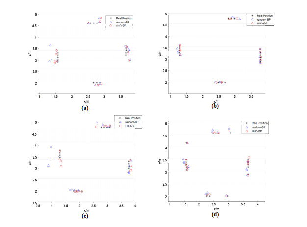
  • Traditional back propagation neural networks (BPNNs) for ultrawideband (UWB) indoor localization can effectively improve localization accuracy, although there is high likelihood of becoming trapped in nearby minima. To solve this problem, the random weights and thresholds of the BPNN are optimized using the Harris Hawks optimization algorithm (HHO) to obtain the optimal global solution to enhance the UWB indoor positioning accuracy and NLOS resistance. The results show that the predicted trajectory of the HHO and BPNN hybrid algorithm (HHO-BP) matches the actual position in the two-dimensional localization scenario with four base stations; the optimized average positioning error is effectively reduced in both indoor LOS and NLOS environments. In the LOS environment, the total mean error of the traditional BPNN algorithm is 6.52 cm, which is 26.99% better than the UWB measurement error; in the NLOS environment, the total mean error of the conventional BPNN is 14.82 cm, which is 50.08% better than the UWB measurement error. The HHO–BP algorithm is further optimized on this basis, and the total mean error in the LOS environment is 4.50 cm, which is 22.57% better than the conventional BPNN algorithm; in the NLOS environment, the total mean error is 9.56 cm, which is 17.54% better than the conventional BPNN algorithm. The experimental findings suggest that the approach has greater calibration accuracy and stability than BPNN, making it a viable choice for scenarios requiring high positional precision.

    Citation: Xiaohao Chen, Maosheng Fu, Zhengyu Liu, Chaochuan Jia, Yu Liu. Harris hawks optimization algorithm and BP neural network for ultra-wideband indoor positioning[J]. Mathematical Biosciences and Engineering, 2022, 19(9): 9098-9124. doi: 10.3934/mbe.2022423

    Related Papers:

  • Traditional back propagation neural networks (BPNNs) for ultrawideband (UWB) indoor localization can effectively improve localization accuracy, although there is high likelihood of becoming trapped in nearby minima. To solve this problem, the random weights and thresholds of the BPNN are optimized using the Harris Hawks optimization algorithm (HHO) to obtain the optimal global solution to enhance the UWB indoor positioning accuracy and NLOS resistance. The results show that the predicted trajectory of the HHO and BPNN hybrid algorithm (HHO-BP) matches the actual position in the two-dimensional localization scenario with four base stations; the optimized average positioning error is effectively reduced in both indoor LOS and NLOS environments. In the LOS environment, the total mean error of the traditional BPNN algorithm is 6.52 cm, which is 26.99% better than the UWB measurement error; in the NLOS environment, the total mean error of the conventional BPNN is 14.82 cm, which is 50.08% better than the UWB measurement error. The HHO–BP algorithm is further optimized on this basis, and the total mean error in the LOS environment is 4.50 cm, which is 22.57% better than the conventional BPNN algorithm; in the NLOS environment, the total mean error is 9.56 cm, which is 17.54% better than the conventional BPNN algorithm. The experimental findings suggest that the approach has greater calibration accuracy and stability than BPNN, making it a viable choice for scenarios requiring high positional precision.



    加载中


    [1] T. Wu, H. Xia, S. Liu, Y. Qiao, Probability-based indoor positioning algorithm using ibeacons, Sensors, 19 (2019), 5226. https://doi.org/10.3390/s19235226 doi: 10.3390/s19235226
    [2] G. Schroeer, A real-time UWB multi-channel indoor positioning system for industrial scenarios, in 2018 International Conference on Indoor Positioning and Indoor Navigation (IPIN), (2018), 1-5. https://doi.org/10.1109/IPIN.2018.8533792
    [3] Y. Zhang, L. Duan, Toward elderly care: A phase-difference-of-arrival assisted ultra-wideband positioning method in smart home, IEEE Access, 8 (2020), 139387-139395. https://doi.org/10.1109/ACCESS.2020.3012717 doi: 10.1109/ACCESS.2020.3012717
    [4] A. Alsudani, NLOS mitigation and ranging accuracy for building indoor positioning system in UWB using commercial radio modules, in AIP Conference Proceedings, 1968 (2018), 030056. https://doi.org/10.1063/1.5039243
    [5] J. Zhong, S. Zhao, X. Han, Y. Liu, K. Guo, Research on indoor and outdoor positioning system for special population, in IOP Conference Series: Materials Science and Engineering, 719 (2020). https://doi.org/10.1088/1757-899X/719/1/012055
    [6] A. Alarifi, A. Al-Salman, M. Alsaleh, A. Alnafessah, S. Al-Hadhrami, M. A. Al-Ammar, et al., Ultra -wideband indoor positioning technologies: Analysis and recent advances, Sensors, 16 (2016), 707. https://doi.org/10.3390/s16050707 doi: 10.3390/s16050707
    [7] Y. S. Li, F. S. Ning, Low-cost indoor positioning application based on map assistance and mobile phone sensors, Sensors, 18 (2018), 4285. https://doi.org/10.3390/s18124285 doi: 10.3390/s18124285
    [8] Y. Ji, A. Yamashita, H. Asama, Indoor positioning system based on camera sensor network for mobile robot localization in indoor environments, J. Inst. Control Rob. Syst., 22 (2016), 952-959. https://doi.org/10.5302/J.ICROS.2016.16.0079 doi: 10.5302/J.ICROS.2016.16.0079
    [9] Z. Li, L. Zhao, C. Qin, Y. Wang, WiFi/PDR integrated navigation with robustly constrained Kalman filter, Meas. Sci. Technol., 31 (2020), 084002. https://doi.org/10.1088/1361-6501/ab87ea doi: 10.1088/1361-6501/ab87ea
    [10] X. Li, J. Wang, C. Liu, A Bluetooth/PDR integration algorithm for an indoor positioning system, Sensors, 15 (2015), 24862-24885. https://doi.org/10.3390/s151024862 doi: 10.3390/s151024862
    [11] L. F. Shi, Y. Wang, G. X. Liu, S. Chen, Y. L. Zhao, Y. F. Shi, A fusion algorithm of indoor positioning based on PDR and RSS fingerprint, IEEE Sensors J., 18 (2018), 9691-9698. https://doi.org/10.1109/JSEN.2018.2873052 doi: 10.1109/JSEN.2018.2873052
    [12] C. Lu, H. Uchiyama, D. Thomas, A. Shimada, R. I. Taniguchi, Indoor positioning system based on chest-mounted IMU, Sensors, 19 (2019), 420. https://doi.org/10.3390/s19020420 doi: 10.3390/s19020420
    [13] Y. Zhang, J. Tan, Z. Zeng, W. Liang, Y. Xia, Monocular camera and IMU integration for indoor position estimation, in 2014 36th Annual International Conference of the IEEE Engineering in Medicine and Biology Society, (2014), 1198-1201. https://doi.org/10.1109/EMBC.2014.6943811
    [14] B. Yang, X. Xu, T. Zhang, Y. Li, J. Tong, An Indoor navigation system based on stereo camera and inertial sensors with points and lines, J. Sensors, 2018 (2018). https://doi.org/10.1155/2018/4801584 doi: 10.1155/2018/4801584
    [15] J. Duque Domingo, C. Cerrada, E. Valero, J. A. Cerrada, An improved indoor positioning system using RGB-D cameras and wireless networks for use in complex environments, Sensors, 17 (2017), 2391. https://doi.org/10.3390/s17102391 doi: 10.3390/s17102391
    [16] A. Poulose, D. S. Han, Hybrid indoor localization using IMU sensors and smartphone camera, Sensors, 19 (2019), 5084. https://doi.org/10.3390/s19235084 doi: 10.3390/s19235084
    [17] H. Shu, C. Song, T. Pei, L. Xu, Y. Ou, L. Zhang, et al., Queuing time prediction using WiFi positioning data in an indoor scenario, Sensors, 16 (2016), 1958. https://doi.org/10.3390/s16111958 doi: 10.3390/s16111958
    [18] A. Poulose, D. S. Han, Hybrid deep learning model based indoor positioning using Wi-Fi RSSI heat maps for autonomous applications, Electronics, 10 (2020), 2. https://doi.org/10.3390/electronics10010002 doi: 10.3390/electronics10010002
    [19] F. Zafari, A. Gkelias, K. K. Leung, A survey of indoor localization systems and technologies, IEEE Commun. Surv. Tutorials, 21 (2019), 2568-2599. https://doi.org/10.1109/COMST.2019.2911558 doi: 10.1109/COMST.2019.2911558
    [20] Z. Farid, R. Nordin, M. Ismail, Recent advances in wireless indoor localization techniques and system, J. Comput. Networks Commun., 2013 (2013). https://doi.org/10.1155/2013/185138 doi: 10.1155/2013/185138
    [21] T. Kim Geok, K. Zar Aung, M. Sandar Aung, M. Thu Soe, A. Abdaziz, C. Pao Liew, et al., Review of indoor positioning: Radio wave technology, Appl. Sci., 11 (2020), 279. https://doi.org/10.3390/app11010279 doi: 10.3390/app11010279
    [22] J. Luo, L. Fan, H. Li, Indoor positioning systems based on visible light communication: State of the art, IEEE Commun. Surv. Tutorials, 19 (2017), 2871-2893. https://doi.org/10.1109/COMST.2017.2743228 doi: 10.1109/COMST.2017.2743228
    [23] P. Dabove, V. Di Pietra, M. Piras, A. A. Jabbar, S. A. Kazim, . Indoor positioning using Ultra-wide band (UWB) technologies: Positioning accuracies and sensors' performances, in 2018 IEEE/ION Position, Location and Navigation Symposium (PLANS), (2018), 175-184. https://doi.org/10.1109/PLANS.2018.8373379
    [24] A. Poulose, O. S. Eyobu, M. Kim, D. S. Han, Localization error analysis of indoor positioning system based on UWB measurements, in 2019 Eleventh International Conference on Ubiquitous and Future Networks (ICUFN), (2019), 84-88. https://doi.org/10.1109/ICUFN.2019.8806041
    [25] A. Poulose, Ž. Emeršič, O. S. Eyobu, D. S. Han, An accurate indoor user position estimator for multiple anchor UWB localization, In 2020 International Conference on Information and Communication Technology Convergence (ICTC), (2020), 478-482. https://doi.org/10.1109/ICTC49870.2020.9289338
    [26] A. Chaisang, S. Promwong, Indoor localization distance error analysis with UWB wireless propagation model using positioning method, in 2018 International Conference on Digital Arts, Media and Technology (ICDAMT), (2018), 254-257. https://doi.org/10.1109/ICDAMT.2018.8376534
    [27] K. He, Y. Zhang, Y. Zhu, W. Xia, Z. Jia, L. Shen, A hybrid indoor positioning system based on UWB and inertial navigation, in 2015 International Conference on Wireless Communications & Signal Processing (WCSP), (2015), 1-5. https://doi.org/10.1109/WCSP.2015.7341240
    [28] H. Liu, Z. Liang, D. Liu, L. N. Ma, Improved UWB indoor positioning algorithms based on BP neural network model, in International Conference on Communications and Networking in China, (2017), 114-124. https://doi.org/10.1007/978-3-319-78130-3_13
    [29] G. Zhuo, R. Xue, UWB location algorithm based on BP neural network, in Intelligent and Connected Vehicles Symposium, 2018. https://doi.org/10.4271/2018-01-1605
    [30] X. Li, S. Dong, H. S. Mohamed, G. Al Aqel, N. Pirhadi, Prediction of tubular T/Y-Joint SIF by GA-BP neural network, KSCE J. Civil Eng., 24 (2020), 2706-2715. https://doi.org/10.1007/s12205-020-1200-1 doi: 10.1007/s12205-020-1200-1
    [31] H. Zhang, Y. Zhao, Y. Zhang, J. Zuo, M. Bian, J. Zhao, UWB indoor location algorithm based on improved BP neural network, in International Conference on Electronic Information Engineering and Computer Technology (EIECT 2021), 12087 (2021), 232-236. https://doi.org/10.1117/12.2624738
    [32] A. Poulose, D. S. Han, UWB indoor localization using deep learning LSTM networks, Appl. Sci., 10 (2020), 6290. https://doi.org/10.3390/app10186290 doi: 10.3390/app10186290
    [33] S. Xing, H. Zhang, X. Liang, T. A. Gulliver, A 60 GHz impulse radio positioning algorithm based on a BP neural network, in 2017 IEEE Pacific Rim Conference on Communications, Computers and Signal Processing (PACRIM), (2017), 1-5. https://doi.org/10.1109/PACRIM.2017.8121879
    [34] Z. K. Lian, F. Yuan, W. Qi, Improved K-means clustering BP neural network UWB indoor location method, Mod. Comput, 2017 (2017). https://doi.org/10.3969/j.issn.1007-1423.2017.21.003 doi: 10.3969/j.issn.1007-1423.2017.21.003
    [35] J. Jin, Y. Zhang, BP neural network indoor localization algorithm based on visible light communication, Semicond. Optoelectron., 4 (2019). https://doi.org/10.16818/j.issn1001-5868.2019.04.029 doi: 10.16818/j.issn1001-5868.2019.04.029
    [36] F. Huang, D. Liu, T. An, J. Cao, Port container throughput forecast based on ABC optimized BP neural network, in IOP Conference Series: Earth and Environmental Science, 571 (2020), 012068. https://doi.org/10.1088/1755-1315/571/1/012068
    [37] U. B. Tayab, A. Zia, F. Yang, J. Lu, M. Kashif, Short-term load forecasting for microgrid energy management system using hybrid HHO-FNN model with best-basis stationary wavelet packet transform, Energy, 203 (2020), 117857. https://doi.org/10.1016/j.energy.2020.117857 doi: 10.1016/j.energy.2020.117857
    [38] K. Yang, M. Liu, Y. Xie, X. Zhang, W. Wang, S. Gou, et al., Research on UWB/IMU location fusion algorithm based on GA-BP neural network, in 2021 40th Chinese Control Conference (CCC), (2021), 8111-8116. https://doi.org/10.23919/CCC52363.2021.9549463
    [39] N. Li, C. Shen, K. Zhang, X. Huang, The TDOA algorithm based on BP neural network optimized by cuckoo search, in 2019 International Conference on Robots & Intelligent System (ICRIS), (2019), 539-542. https://doi.org/10.1109/ICRIS.2019.00138
    [40] D. N. Hama Rashid, T. A. Rashid, S. Mirjalili, ANA: Ant nesting algorithm for optimizing real-world problems, Mathematics, 9 (2021), 3111. https://doi.org/10.3390/math9233111 doi: 10.3390/math9233111
    [41] C. M. Rahman, T. A. Rashid, A new evolutionary algorithm: Learner performance based behavior algorithm, Egypt. Inf. J., 22 (2021), 213-223. https://doi.org/10.1016/j.eij.2020.08.003 doi: 10.1016/j.eij.2020.08.003
    [42] S. Abdulhameed, T. A. Rashid, Child drawing development optimization algorithm based on child's cognitive development, Arabian J. Sci. Eng., 47 (2022), 1337-1351. https://doi.org/10.1007/s13369-021-05928-6 doi: 10.1007/s13369-021-05928-6
    [43] J. M. Abdullah, T. Ahmed, Fitness dependent optimizer: Inspired by the bee swarming reproductive process, IEEE Access, 7 (2019), 43473-43486. https://doi.org/10.1109/ACCESS.2019.2907012 doi: 10.1109/ACCESS.2019.2907012
    [44] A. S. Shamsaldin, T. A. Rashid, R. A. Al-Rashid Agha, N. K. Al-Salihi, M. Mohammadi, Donkey and smuggler optimization algorithm: A collaborative working approach to path finding, J. Comput. Des. Eng., 6 (2019), 562-583. https://doi.org/10.1016/j.jcde.2019.04.004 doi: 10.1016/j.jcde.2019.04.004
    [45] C. Wang, F. Wu, Z. Shi, D. Zhang, Indoor positioning technique by combining RFID and particle swarm optimization-based back propagation neural network, Optik, 127 (2016), 6839-6849. https://doi.org/10.1016/j.ijleo.2016.04.123 doi: 10.1016/j.ijleo.2016.04.123
    [46] Y. Li, J. Liu, UWB indoor localization system based on IA-BP neural network, Electron. Meas. Technol., 4 (2019).
    [47] Z. Yu, X. Shi, J. Zhou, X. Chen, X. Qiu, Effective assessment of blast-induced ground vibration using an optimized random forest model based on a Harris hawks optimization algorithm, Appl. Sci., 10 (2020), 1403. https://doi.org/10.3390/app10041403 doi: 10.3390/app10041403
    [48] D. H. Wolpert, W. G. Macready, No free lunch theorems for optimization, IEEE Trans. Evol. Comput., 1 (1997), 67-82. https://doi.org/10.1109/4235.585893 doi: 10.1109/4235.585893
    [49] K. Cui, X. Jing, Research on prediction model of geotechnical parameters based on BP neural network, Neural Comput. Appl., 31 (2019), 8205-8215. https://doi.org/10.1007/s00521-018-3902-6 doi: 10.1007/s00521-018-3902-6
    [50] S. Ding, C. Su, J. Yu, An optimizing BP neural network algorithm based on genetic algorithm, Artif. Intell. Rev., 36 (2011), 153-162. https://doi.org/10.1007/s10462-011-9208-z doi: 10.1007/s10462-011-9208-z
    [51] A. Abbasi, B. Firouzi, P. Sendur, On the application of Harris hawks optimization (HHO) algorithm to the design of microchannel heat sinks, Eng. Comput., 37 (2021), 1409-1428. https://doi.org/10.1007/s00366-019-00892-0 doi: 10.1007/s00366-019-00892-0
    [52] A. A. Heidari, S. Mirjalili, H. Faris, I. Aljarah, M. Mafarja, H. Chen, Harris hawks optimization: Algorithm and applications, Future Gener. Comput. Syst., 97 (2019), 849-872. https://doi.org/10.1016/j.future.2019.02.028 doi: 10.1016/j.future.2019.02.028
    [53] S. Wang, Z. Wu, A. Lim, Denoising, outlier/dropout correction, and sensor selection in range-based positioning, IEEE Trans. Instrum. Meas., 70 (2021), 1-13. https://doi.org/10.1109/TIM.2021.3078537 doi: 10.1109/TIM.2021.3078537
  • Reader Comments
  • © 2022 the Author(s), licensee AIMS Press. This is an open access article distributed under the terms of the Creative Commons Attribution License (http://creativecommons.org/licenses/by/4.0)
通讯作者: 陈斌, bchen63@163.com
  • 1. 

    沈阳化工大学材料科学与工程学院 沈阳 110142

  1. 本站搜索
  2. 百度学术搜索
  3. 万方数据库搜索
  4. CNKI搜索

Metrics

Article views(3981) PDF downloads(146) Cited by(8)

Article outline

Figures and Tables

Figures(20)  /  Tables(3)

/

DownLoad:  Full-Size Img  PowerPoint
Return
Return

Catalog