Review Topical Sections

A Review on the conversion of levulinic acid and its esters to various useful chemicals

  • Received: 28 January 2019 Accepted: 28 March 2019 Published: 17 April 2019
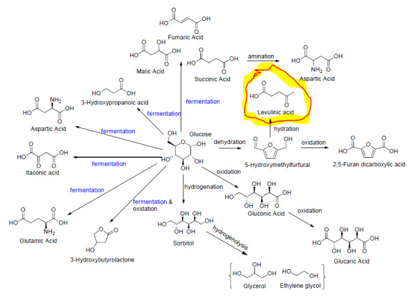
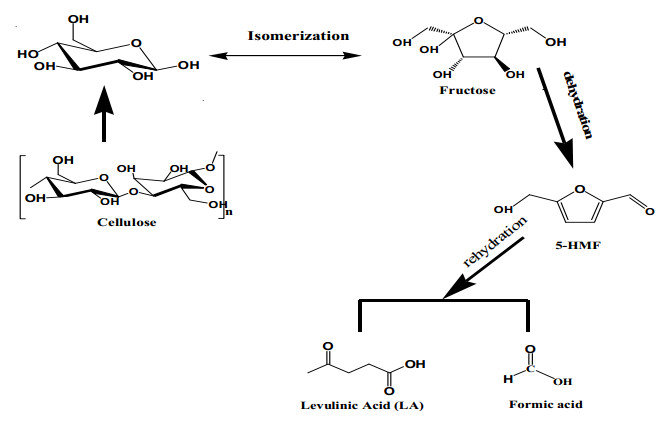
  • Levulinic acid (LA), an important chemical produced from a bio-based resource for current petrochemical operation, the details of hydrogenation to gamma (γ)-valerolactone (GVL) is reviewed. Levulinic acid (LA) was listed among one of the top value-added chemicals by U.S. Department of Energy and also been identified as a promising sustainable material for the synthesis of other important chemicals. It can be synthesized via a process known as hydrolysis. Its synthetic hydrolysis can be carried out employing some kinds of saccharides (e.g. glucose), the major constituent unit composed in cellulose. Its production from cellulose, the most abundant and renewable natural resource on earth is advantageous; however, recalcitrance nature that holds components together in biomass prevents the easy accessibility to the utilization of cellulose therefore as a result of this, considerable pretreatment is required. This review elucidates the details of levulinic acid (LA) synthesis starting from γ-valerolactone (GVL), its derivatives and their useful applications in various fields, most especially in the biorefinery. We concentrate on derivatives such as methyltetranhydrofuran (MTHF) as gasoline additives, ethyl levulinate as a diesel additive, succinic acid, 2-Butanol (2-BO) and 2-pentanol (2-PO) mainly synthesized from Levulinic acid (LA). Likewise, catalysts and Catalytic system for the synthesis were also reviewed. Finally, Baeyer-Villiger (BV) oxidation of levulinates into succinates was also given brief consideration in this mini review.

    Citation: Aderemi T. Adeleye, Hitler Louis, Ozioma U. Akakuru, Innocent Joseph, Obieze C. Enudi, Dass P. Michael. A Review on the conversion of levulinic acid and its esters to various useful chemicals[J]. AIMS Energy, 2019, 7(2): 165-185. doi: 10.3934/energy.2019.2.165

    Related Papers:

  • Levulinic acid (LA), an important chemical produced from a bio-based resource for current petrochemical operation, the details of hydrogenation to gamma (γ)-valerolactone (GVL) is reviewed. Levulinic acid (LA) was listed among one of the top value-added chemicals by U.S. Department of Energy and also been identified as a promising sustainable material for the synthesis of other important chemicals. It can be synthesized via a process known as hydrolysis. Its synthetic hydrolysis can be carried out employing some kinds of saccharides (e.g. glucose), the major constituent unit composed in cellulose. Its production from cellulose, the most abundant and renewable natural resource on earth is advantageous; however, recalcitrance nature that holds components together in biomass prevents the easy accessibility to the utilization of cellulose therefore as a result of this, considerable pretreatment is required. This review elucidates the details of levulinic acid (LA) synthesis starting from γ-valerolactone (GVL), its derivatives and their useful applications in various fields, most especially in the biorefinery. We concentrate on derivatives such as methyltetranhydrofuran (MTHF) as gasoline additives, ethyl levulinate as a diesel additive, succinic acid, 2-Butanol (2-BO) and 2-pentanol (2-PO) mainly synthesized from Levulinic acid (LA). Likewise, catalysts and Catalytic system for the synthesis were also reviewed. Finally, Baeyer-Villiger (BV) oxidation of levulinates into succinates was also given brief consideration in this mini review.


    加载中


    [1] Adeleye AT, Louis H, Temitope HA, et al. (2019). Ionic liquids (ILs): advances in biorefinery for the efficient conversion of lignocellulosic biomass. Asian J Green Chem 3: 391–417.
    [2] Tilman D, Hill J, Lehman C (2006). Carbon-Negative biofuels from Low-Input High-Diversity grassland biomass. Science 314: 1598–1600. doi: 10.1126/science.1133306
    [3] International Energy Outlook 2016 with Projections to 2040. A report by U.S. Energy Information Administration (EIA), 2016. Available from: https://www.eia.gov/outlooks/ieo/pdf/0484(2016).
    [4] Mohanty AK, Misra M, Drzal LT (2002) Sustainable Bio-Composites from renewable resources: opportunities and challenges in the green materials world. J Polym Environ 10: 19–26. doi: 10.1023/A:1021013921916
    [5] Belkacemi K, Kemache N, Hamoudi S, et al. (2007) Hydrogenation of sunflower oil over bimetallic supported catalysts on mesostructured silica material. Int J Chem React Eng 5: 1–28.
    [6] Makshina EV, Dusselier M, Janssens W, et al. (2014) Review of old chemistry and new catalytic advances in the on-purpose synthesis of butadiene. Chem Soc Rev 43: 7917–7953. doi: 10.1039/C4CS00105B
    [7] Bridgwater A (2013) Fast pyrolysis of biomass for the production of liquids for use as fuels and chemicals. Biomass Combust Sci, Technol Eng 7: 130–171.
    [8] Top value added chemicals from biomass. Volume I-Results of screening for potential candidates from sugars and synthesis gas (2004). Available from: https://www.nrel.gov/docs/fy04osti/35523.pdf.
    [9] Jow J, Rorrer GL, Hawley MC, et al. (1987) Dehydration of d-fructose to levulinic acid over LZY zeolite catalyst. Biomass 14: 185–194. doi: 10.1016/0144-4565(87)90046-1
    [10] Serrano-Ruiz JC, West RM, Dumesic JA (2010) Catalytic conversion of renewable biomass resources to fuels and chemicals. Annu Rev Chem Biomol Eng 1: 79–100. doi: 10.1146/annurev-chembioeng-073009-100935
    [11] Andersson-Engels S, Berg R, Svanberg K, et al. (1995) Multi‐colour fluorescence imaging in connection with photodynamic therapy of δ‐amino levulinic acid (ALA) sensitised skin malignancies. Bioimaging 3: 134–143. doi: 10.1002/1361-6374(199509)3:3<134::AID-BIO4>3.3.CO;2-T
    [12] Zhang J, Wu S, Li B, et al. (2012) Advances in the catalytic production of valuable Levulinic Acid derivatives. ChemCatChem 4: 1230–1237. doi: 10.1002/cctc.201200113
    [13] Pasquale G, Vázquez P, Romanelli G, et al. (2012) Catalytic upgrading of levulinic acid to ethyl levulinate using reusable silica-included Wells-Dawson heteropolyacid as catalyst. Catal Commun 18: 115–120. doi: 10.1016/j.catcom.2011.12.004
    [14] Huber GW, Iborra S, Corma A (2006) Synthesis of transportation fuels from biomass: Chemistry, catalysts, and engineering. Chem Rev 106: 4044–4098. doi: 10.1021/cr068360d
    [15] Tiong YW, Yap CL, Gan S, et al. (2018) Conversion of biomass and its derivatives to levulinic acid and levulinate esters via ionic liquids. Ind Eng Chem Res 57: 4749–4766. doi: 10.1021/acs.iecr.8b00273
    [16] Yu HT, Chen BY, Li BY, et al. (2018) Efficient pretreatment of lignocellulosic biomass with high recovery of solid lignin and fermentable sugars using Fenton reaction in a mixed solvent. Biotechnol Biofuels 11: 287. doi: 10.1186/s13068-018-1288-4
    [17] Rackemann DW, Doherty WO (2011) The conversion of lignocellulosics to levulinic acid. Biofuels, Bioprod Biorefin 5: 198–214. doi: 10.1002/bbb.267
    [18] Mthembu LD (2016) Production of levulinic acid from sugarcane bagasse. Available from: https://openscholar.dut.ac.za/handle/10321/1713.pdf.
    [19] Morrison RT, Boyd RN (1983) "Organic Chemistry", 4th Eds., Allyn and Bacon, Inc. Boston, 338.
    [20] Chalid M, Heeres HJ, Broekhuis AA (2012) Green polymer precursors from Biomass-Based levulinic acid. Procedia Chem 4: 260–267. doi: 10.1016/j.proche.2012.06.036
    [21] Horváth IT, Mehdi H, Fábos V, et al. (2008) γ-Valerolactone-a sustainable liquid for energy and carbon-based chemicals. Green Chem 10: 238–242. doi: 10.1039/B712863K
    [22] Fegyverneki D, Orha L, Láng G, et al. (2010) Gamma-valerolactone-based solvents. Tetrahedron 66: 1078–1081. doi: 10.1016/j.tet.2009.11.013
    [23] Van der Waal JC, de Jong E (2016) Avantium Chemicals: The high potential for the levulinic product tree. Ind Biorenewables 4: 97–120.
    [24] Su K, Li Z, Cheng B, et al. (2010) Studies on the carboxymethylation and methylation of bisphenol A with dimethyl carbonate over TiO2/SBA-15. J Mol Catal A: Chem 315: 60–68. doi: 10.1016/j.molcata.2009.08.027
    [25] Yan Z, Lin L, Liu S (2009) Synthesis of γ-Valerolactone by hydrogenation of biomass-derived levulinic acid over Ru/C Catalyst. Energy Fuels 23: 3853–3858. doi: 10.1021/ef900259h
    [26] Tukacs JM, Király D, Strádi A, et al. (2012) Efficient catalytic hydrogenation of levulinic acid: a key step in biomass conversion. Green Chem 14: 2057–2067. doi: 10.1039/c2gc35503e
    [27] Ruppert AM, Jędrzejczyk M, Sneka-Płatek O, et al. (2016) Ru catalysts for levulinic acid hydrogenation with formic acid as a hydrogen source. Green Chem 18: 2014–2028. doi: 10.1039/C5GC02200B
    [28] Jones DR, Iqbal S, Miedziak PJ, et al. (2018) Selective hydrogenation of levulinic acid using Ru/C catalysts prepared by Sol-Immobilisation. Top Catal 61: 833–843. doi: 10.1007/s11244-018-0927-0
    [29] Joó F, Beck MT (1975) Formation and catalytic properties of water-soluble phosphine complexes. React Kinet Catal Lett 2: 257–263. doi: 10.1007/BF02068199
    [30] Mehdi H, Fábos V, Tuba R, et al. (2008) Integration of homogeneous and heterogeneous catalytic processes for a Multi-step conversion of biomass: From sucrose to levulinic acid, γ-Valerolactone, 1,4-Pentanediol, 2-Methyl-tetrahydrofuran, and alkanes. Top Catal 48: 49–54. doi: 10.1007/s11244-008-9047-6
    [31] Mallat T, Baiker A (2004) Oxidation of alcohols with molecular oxygen on solid catalysts. Chem Rev 104: 3037–3058. doi: 10.1021/cr0200116
    [32] Werkmeister S, Junge K, Beller M (2014) Catalytic hydrogenation of carboxylic acid esters, amides, and nitriles with homogeneous catalysts. Org Process Res Dev 18: 289–302. doi: 10.1021/op4003278
    [33] Geilen FMA, Engendahl B, Hölscher M, et al. (2011) Selective homogeneous hydrogenation of biogenic carboxylic acids with [Ru(TriPhos)H]+: A mechanistic study. J Am Chem Soc 133: 14349–14358. doi: 10.1021/ja2034377
    [34] Fábos V, Koczó G, Mehdi H, et al. (2009) Bio-oxygenates and the peroxide number: a safety issue alert. Energy Environ Sci 2: 767–770. doi: 10.1039/b900229b
    [35] Feng J, Gu X, Xue Y, et al. (2018) Production of γ-valerolactone from levulinic acid over a Ru/C catalyst using formic acid as the sole hydrogen source. Sci Total Environ 633: 426–432. doi: 10.1016/j.scitotenv.2018.03.209
    [36] Piskun AS, de Haan JE, Wilbers E, et al. (2016) Hydrogenation of levulinic acid to γ-Valerolactone in water using millimeter sized supported Ru catalysts in a packed bed reactor. ACS Sustainable Chem Eng 4: 2939–2950. doi: 10.1021/acssuschemeng.5b00774
    [37] Balla P, Perupogu V, Vanama PK, et al. (2015) Hydrogenation of biomass-derived levulinic acid to γ-valerolactone over copper catalysts supported on ZrO2. J Chem Technol Biotechnol 91: 769–776.
    [38] Mohan V, Raghavendra C, Pramod CV, et al. (2014) Ni/H-ZSM-5 as a promising catalyst for vapour phase hydrogenation of levulinic acid at atmospheric pressure. RSC Adv 4: 9660–9669. doi: 10.1039/c3ra46485g
    [39] Alonso DM, Wettstein SG, Dumesic JA, et al. (2013) Gamma-valerolactone, a sustainable platform molecule derived from lignocellulosic biomass. Green Chem 15: 584–595. doi: 10.1039/c3gc37065h
    [40] Girisuta B, Heeres HJ (2017) Levulinic acid from biomass: Synthesis and applications. In: Biofuels and Biorefineries, 143–169.
    [41] Motagamwala AH, Won W, Dumesic JA, et al. (2016) An engineered solvent system for sugar production from lignocellulosic biomass using biomass derived gammavalerolactone. Green Chem 18: 5756–5763. doi: 10.1039/C6GC02297A
    [42] Rodenas Olaya Y, Mariscal R, Fierro JLG, et al. (2018) Granados, Improving the production of maleic acid from biomass: TS-1 catalysed aqueous phase oxidation of furfural in the presence of γ-valerolactone. Green Chem 20: 2845–2856. doi: 10.1039/C8GC00857D
    [43] Canan S, Hussain MA, Martin AD, et al. (2018) Enhanced furfural yields from xylose dehydration in the γ-Valerolactone/Water solvent system at elevated temperatures. ChemSusChem 11: 2321–2331. doi: 10.1002/cssc.201800730
    [44] Moreno-Marrodan C, Barbaro P (2014) Energy efficient continuous production of γ-valerolactone by bifunctional metal/acid catalysis in one pot. Green Chem 16: 3434–3438. doi: 10.1039/c4gc00298a
    [45] Tadele K, Verma S, Gonzalez MA, et al. (2017) A sustainable approach to empower the bio-based future: upgrading of biomass via process intensification. Green Chem 19: 1624–1627. doi: 10.1039/C6GC03568J
    [46] Gerardy R, Morodo R, Estager J, et al. (2018) Sustaining the Transition from a petrobased to a Biobased Chemical Industry with Flow Chemistry. Top Curr Chem 377: 1–35.
    [47] Bozell JJ, Petersen GR (2010) Technology development for the production of biobased products from biorefinery carbohydrates-the US Department of Energy's 'Top 10' revisited. Green Chem 12: 539–556. doi: 10.1039/b922014c
    [48] Fortman JL, Chhabra S, Mukhopadhyay A, et al. (2008) Biofuel alternatives to ethanol: pumping the microbial well. Trends Biotechnol 26: 375–381. doi: 10.1016/j.tibtech.2008.03.008
    [49] Serrano-Ruiz JC, Dumesic JA (2009) Catalytic upgrading of lactic acid to fuels and chemicals by dehydration/hydrogenation and C–C coupling reactions. Green Chem 11: 1101–1106. doi: 10.1039/b906869d
    [50] Abdelrahman OA, Heyden A, Bond JQ (2014) Analysis of kinetics and reaction pathways in the Aqueous-Phase hydrogenation of levulinic acid to form γ-Valerolactone over Ru/C. ACS Catal 4: 1171–1181. doi: 10.1021/cs401177p
    [51] Prati L, Jouve A, Villa A (2017) Production and upgrading of γ-Valerolactone with bifunctional catalytic processes. Biofuels Biorefin 8: 221–237. doi: 10.1007/978-981-10-5137-1_7
    [52] Patankar SC, Yadav GD (2015) Cascade engineered synthesis of γ-Valerolactone, 1,4-Pentanediol, and 2-Methyltetrahydrofuran from levulinic acid using Pd–Cu/ZrO2Catalyst in water as solvent. ACS Sustainable Chem Eng 3: 2619–2630. doi: 10.1021/acssuschemeng.5b00763
    [53] Obregón I, Gandarias I, Miletić N, et al. (2015) One-Pot 2-Methyltetrahydrofuran production from levulinic acid in green solvents using Ni-Cu/Al2O3 catalysts. ChemSusChem 8: 3483–3488. doi: 10.1002/cssc.201500671
    [54] Phanopoulos A, White AJP, Long NJ, et al. (2015) Catalytic transformation of levulinic acid to 2-Methyltetrahydrofuran using ruthenium–N-Triphos complexes. ACS Catal 5: 2500–2512. doi: 10.1021/cs502025t
    [55] De Lima AEP, de Oliveira DC (2017) In situ XANES study of cobalt in Co-Ce-Al catalyst applied to steam reforming of ethanol reaction. Catal Today 283: 104–109. doi: 10.1016/j.cattod.2016.02.029
    [56] Du XL, Bi QY, Liu YM, et al. (2012) Tunable copper-catalyzed chemoselective hydrogenolysis of biomass-derived γ-valerolactone into 1,4-pentanediol or 2-methyltetrahydrofuran. Green Chem 14: 935–939. doi: 10.1039/c2gc16599f
    [57] Al-Shaal MG, Dzierbinski A, Palkovits R (2014) Solvent-free γ-valerolactone hydrogenation to 2-methyltetrahydrofuran catalysed by Ru/C: a reaction network analysis. Green Chem 16: 1358–1364. doi: 10.1039/C3GC41803K
    [58] Delidovich I, Palkovits R (2016) Catalytic isomerization of Biomass-Derived aldoses: A Review. ChemSusChem 9: 547–561. doi: 10.1002/cssc.201501577
    [59] Mizugaki T, Nagatsu Y, Togo K, et al. (2015) Selective hydrogenation of levulinic acid to 1,4-pentanediol in water using a hydroxyapatite-supported Pt–Mo bimetallic catalyst. Green Chem 17: 5136–5139. doi: 10.1039/C5GC01878A
    [60] Licursi D, Antonetti C, Fulignati S, et al. (2018) Cascade strategy for the tunable catalytic valorization of levulinic acid and γ-Valerolactone to 2-Methyltetrahydrofuran and alcohols. Catalysts 8: 277–293. doi: 10.3390/catal8070277
    [61] Wittstock A, Bäumer M (2013) Catalysis by unsupported skeletal gold catalysts. Acc Chem Res 47: 731–739.
    [62] Velisoju VK, Gutta N, Tardio J, et al. (2018) Hydrodeoxygenation activity of W modified Ni/H-ZSM-5 catalyst for single step conversion of levulinic acid to pentanoic acid: An insight on the reaction mechanism and structure activity relationship. Appl Catal A: Gen 550: 142–150. doi: 10.1016/j.apcata.2017.11.008
    [63] Isikgor FH, Becer CR (2015) Lignocellulosic biomass: a sustainable platform for the production of bio-based chemicals and polymers. Polym Chem 6: 4497–4559.
    [64] Di Mondo D, Ashok D, Waldie F, et al. (2011) Stainless steel as a catalyst for the total deoxygenation of glycerol and levulinic acid in aqueous acidic medium. ACS Catal 1: 355–364. doi: 10.1021/cs200053h
    [65] Lin H, Strull J, Liu Y, et al. (2012) High yield production of levulinic acid by catalytic partial oxidation of cellulose in aqueous media. Energy Environ Sci 5: 9773–9781. doi: 10.1039/c2ee23225a
    [66] Weingarten R, Conner WC, Huber GW (2012) Production of levulinic acid from cellulose by hydrothermal decomposition combined with aqueous phase dehydration with a solid acid catalyst. Energy Environ Sci 5: 7559–7571. doi: 10.1039/c2ee21593d
    [67] Wettstein SG, Alonso DM, Chong Y, et al. (2012) Production of levulinic acid and gamma-valerolactone (GVL) from cellulose using GVL as a solvent in biphasic systems. Energy Environ Sci 5: 8199–8204. doi: 10.1039/c2ee22111j
    [68] Dutta S, Wu L, Mascal M (2015) Efficient, metal-free production of succinic acid by oxidation of biomass-derived levulinic acid with hydrogen peroxide. Green Chem 17: 2335–2338. doi: 10.1039/C5GC00098J
    [69] Zhang D, Hillmyer MA, Tolman WB (2004) A new synthetic route to Poly[3-hydroxypropionic acid] (P[3-HP]): Ring-Opening polymerization of 3-HP macrocyclic esters. Macromolecules 37: 8198–8200. doi: 10.1021/ma048092q
    [70] Song H, Lee SY (2006) Production of succinic acid by bacterial fermentation. Enzyme Microb Technol 39: 352–361. doi: 10.1016/j.enzmictec.2005.11.043
    [71] Beauprez JJ, De Mey M, Soetaert WK, et al. (2010) Microbial succinic acid production: natural versus metabolic engineered producers. Process Biochem 45: 1103–1114. doi: 10.1016/j.procbio.2010.03.035
    [72] Cao Y, Cao Y, Lin X (2011) Metabolicallyengineered escherichia coli forbiotechnological production offour-carbon 1,4-dicarboxylic acids. J Ind Microbiol Biotechnol 38: 649–656. doi: 10.1007/s10295-010-0913-4
    [73] Kumar V, Ashok S, Park S (2013) Recent advances in biological production of 3-hydroxypropionic acid. Biotechnol Adv 31: 945–961.. doi: 10.1016/j.biotechadv.2013.02.008
    [74] Li J, Zheng XY, Fang XJ, et al. (2011) A complete industrial system for economical succinic acid production by Actinobacillus succinogenes. Bioresour Technol 102: 6147–6152. doi: 10.1016/j.biortech.2011.02.093
    [75] Ten Brink GJ, Arends IWCE, Sheldon RA (2004) The Baeyer−Villiger reaction: New developments toward greener procedures. Chem Rev 104: 4105–4124. doi: 10.1021/cr030011l
    [76] Cok B, Tsiropoulos I, Roes AL, et al. (2014) Succinic acid production derived from carbohydrates: An energy and greenhouse gas assessment of a platform chemical toward a bio-based economy. Biofuels, Bioprod Biorefin 8: 16–29. doi: 10.1002/bbb.1427
    [77] Deng W, Zhang Q, Wang Y (2014) Catalytic transformations of cellulose and cellulose derived carbohydrates into organic acids. Catal Today 234: 31–41. doi: 10.1016/j.cattod.2013.12.041
    [78] Kobayashi H, Fukuoka A (2013) Synthesis and utilisation of sugar compounds derived from lignocellulosic biomass. Green Chem 15: 1740–1764.. doi: 10.1039/c3gc00060e
    [79] Nemoto K, Tominaga K, Sato K (2015) Facile and efficient transformation of lignocellulose into levulinic acid using an AlCl3.6H2O/H3PO4 hybrid acid catalyst. Bull Chem Soc Jpn 88: 1752–1754.
    [80] Nemoto K, Tominaga K, Sato K (2014) Straightforward synthesis of levulinic acid ester from lignocellulosic biomass resources. Chem Lett 43: 1327–1329. doi: 10.1246/cl.140382
    [81] Tominaga K, Mori A, Fukushima Y, et al. (2011) Mixed-acid systems for the catalytic synthesis of methyl levulinate from cellulose. Green Chem 13: 810–813. doi: 10.1039/c0gc00715c
    [82] Galletti AMR, Antonetti C, De Luise V, et al. (2012) A sustainable process for the production of γ-valerolactone by hydrogenation of biomass-derived levulinic acid. Green Chem 14: 688–695. doi: 10.1039/c2gc15872h
    [83] Joshi SS, Zodge AD, Pandare KV, et al. (2014) Efficient conversion of cellulose to levulinic acid by hydrothermal treatment using zirconium dioxide as a recyclable solid acid catalyst. Ind Eng Chem Res 53: 18796–18805. doi: 10.1021/ie5011838
    [84] Tuteja J, Choudhary H, Nishimura S, et al. (2014) Direct synthesis of 1,6-Hexanediol from HMF over a heterogeneous Pd/ZrP catalyst using formic acid as hydrogen source. ChemSusChem 7: 96–100. doi: 10.1002/cssc.201300832
    [85] McKinlay JB, Vielle C, Zeikus JG (2007) Prospects for a bio-based succinate industry. Appl Microbiol Biotechnol 76: 727–740. doi: 10.1007/s00253-007-1057-y
    [86] Bechthold I, Bretz K, Kabasci S, et al. (2008) Succinic Acid: A new platform chemical for biobased polymers from renewable resources. Chem Eng Technol 31: 647–654. doi: 10.1002/ceat.200800063
    [87] Mitschka R, Oehldrich J, Takahashi K, et al. (1981) General approach for the synthesis of polyquinanes. Facile generation of molecular complexity via reaction of 1,2-dicarbonyl compounds with dimethyl 3-. Tetrahedron 37: 4521–4542.
    [88] Kawasumi R, Narita S, Miyamoto K, et al. (2017) One-step conversion of levulinic acid to succinic acid using I2/t-BuOK system: The iodoform reaction revisited. Scientific Reports 7: 1–8. doi: 10.1038/s41598-016-0028-x
    [89] Podolean I, Kuncser V, Gheorghe N, et al. (2013) Ru-based magnetic nanoparticles (MNP) for succinic acid synthesis from levulinic acid. Green Chem 15: 3077–3083. doi: 10.1039/c3gc41120f
    [90] Pandey SK, Yadav SPS, Prasad M, et al. (1999) Mechanism of Ru(III) catalysis in oxidation of levulinic acid. Asian J Chem11: 203–206.
    [91] Caretto A, Perosa A (2013) Upgrading of levulinic acid with dimethylcarbonate as solvent/reagent. ACS Sustainable Chem Eng 1: 989–994. doi: 10.1021/sc400067s
    [92] Besson M, Gallezot P, Pinel C (2014) Conversion of biomass into chemicals over metal catalysts. Chem Rev 114: 1827–1870. doi: 10.1021/cr4002269
    [93] Stoute VA, Winnik MA, Csizmadia IG (1974) Theoretical model for the Baeyer-Villiger rearrangement. J Am Chem Soc 96: 6388–6393. doi: 10.1021/ja00827a023
    [94] Wang M, Ma J, Liu H, et al. (2018) Sustainable productions of organic acids and their derivatives from biomass via selective oxidative cleavage of C–C Bond. ACS Catal 8: 2129–2165. doi: 10.1021/acscatal.7b03790
    [95] Van de Vyver S, Thomas J, Geboers J, et al. (2011) Catalytic production of levulinic acid from cellulose and other biomass-derived carbohydrates with sulfonated hyperbranched poly(arylene oxindole)s. Energy Environ Sci 4: 3601–3610. doi: 10.1039/c1ee01418h
    [96] Kong X, Wu S, Li X, et al. (2016) Efficient conversion of levulinic acid to ethyl levulinate over a silicotungstic-Acid-Modified commercially Silical-Gel sphere catalyst. Energy Fuels 30: 6500–6504. doi: 10.1021/acs.energyfuels.6b01207
  • Reader Comments
  • © 2019 the Author(s), licensee AIMS Press. This is an open access article distributed under the terms of the Creative Commons Attribution License (http://creativecommons.org/licenses/by/4.0)
通讯作者: 陈斌, bchen63@163.com
  • 1. 

    沈阳化工大学材料科学与工程学院 沈阳 110142

  1. 本站搜索
  2. 百度学术搜索
  3. 万方数据库搜索
  4. CNKI搜索

Metrics

Article views(17977) PDF downloads(4872) Cited by(68)

Article outline

Figures and Tables

Figures(12)

/

DownLoad:  Full-Size Img  PowerPoint
Return
Return

Catalog