Research article Special Issues

Word distance assisted dual graph convolutional networks for accurate and fast aspect-level sentiment analysis

  • Received: 04 December 2023 Revised: 07 January 2024 Accepted: 19 January 2024 Published: 05 February 2024
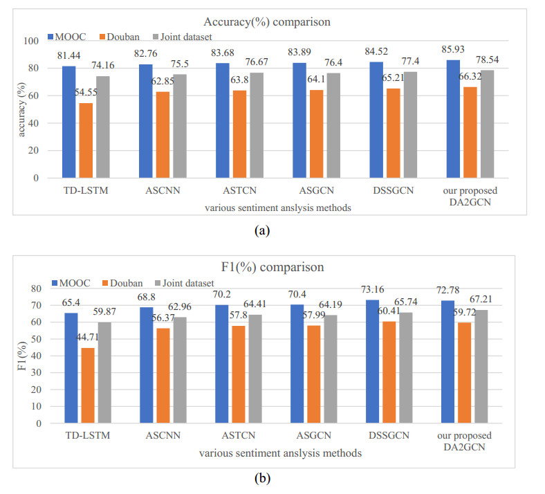
  • Aspect-level sentiment analysis can provide a fine-grain sentiment classification for inferring the sentiment polarity of specific aspects. Graph convolutional network (GCN) becomes increasingly popular because its graph structure can characterize the words' correlation for extracting more sentiment information. However, the word distance is often ignored and cause the cross-misclassification of different aspects. To address the problem, we propose a novel dual GCN structure to take advantage of word distance, syntactic information, and sentiment knowledge in a joint way. The word distance is not only used to enhance the syntactic dependency tree, but also to construct a new graph with semantic knowledge. Then, the two kinds of word distance assisted graphs are fed into two GCNs for further classification. The comprehensive results on two self-collected Chinese datasets (MOOC comments and Douban book reviews) as well as five open-source English datasets, demonstrate that our proposed approach achieves higher classification accuracy than the state-of-the-art methods with up to 1.81x training acceleration.

    Citation: Jiajia Jiao, Haijie Wang, Ruirui Shen, Zhuo Lu. Word distance assisted dual graph convolutional networks for accurate and fast aspect-level sentiment analysis[J]. Mathematical Biosciences and Engineering, 2024, 21(3): 3498-3518. doi: 10.3934/mbe.2024154

    Related Papers:

  • Aspect-level sentiment analysis can provide a fine-grain sentiment classification for inferring the sentiment polarity of specific aspects. Graph convolutional network (GCN) becomes increasingly popular because its graph structure can characterize the words' correlation for extracting more sentiment information. However, the word distance is often ignored and cause the cross-misclassification of different aspects. To address the problem, we propose a novel dual GCN structure to take advantage of word distance, syntactic information, and sentiment knowledge in a joint way. The word distance is not only used to enhance the syntactic dependency tree, but also to construct a new graph with semantic knowledge. Then, the two kinds of word distance assisted graphs are fed into two GCNs for further classification. The comprehensive results on two self-collected Chinese datasets (MOOC comments and Douban book reviews) as well as five open-source English datasets, demonstrate that our proposed approach achieves higher classification accuracy than the state-of-the-art methods with up to 1.81x training acceleration.



    加载中


    [1] H. T. Phan, N. T. Nguyen, D. Hwang, Aspect-level sentiment analysis: A survey of graph convolutional network methods, Inf. Fusion, 91 (2023), 149–172. https://doi.org/10.1016/j.inffus.2022.10.004 doi: 10.1016/j.inffus.2022.10.004
    [2] R. Das, T. D. Singh, Multimodal sentiment analysis: A survey of methods, trends and challenges, ACM Comput. Sur., 55 (2023), 1–38. https://doi.org/10.1145/3586075 doi: 10.1145/3586075
    [3] J. Cui, Z. Wang, S. Ho, E. Cambria, Survey on sentiment analysis: Evolution of research methods and topics, Artif. Intell. Rev., 56 (2023), 8469–8510. https://doi.org/10.1007/s10462-022-10386-z doi: 10.1007/s10462-022-10386-z
    [4] Y. Wang, M. Huang, X. Zhu, L. Zhao, Attention-based LSTM for aspect-level sentiment classification, in Proceedings of the 2016 Conference on Empirical Methods in Natural Language Processing, (2016), 606–615. https://doi.org/10.18653/v1/D16-1058
    [5] D. Ma, S. Li, X. Zhang, H. Wang, Interactive attention networks for aspect-level sentiment classification, preprint, arXiv: 1709.00893. https://doi.org/10.48550/arXiv.1709.00893
    [6] K. Sun, R. Zhang, S. Mensah, Y. Mao, X. Liu, Aspect-level sentiment analysis via convolution over dependency tree, in Proceedings of the 2019 Conference on Empirical Methods in Natural Language Processing, (2019), 5679–5688. https://doi.org/10.18653/v1/D19-1569
    [7] B. Huang, K. Carley, Syntax-aware aspect level sentiment classification with graph attention networks, in Proceedings of the 2019 Conference on Empirical Methods in Natural Language Processing, (2019), 5469–5477. https://doi.org/10.18653/v1/D19-1549
    [8] K. Wang, W. Shen, Y. Yang, X. Quan, R. Wang, Relational graph attention network for aspect-based sentiment analysis, in Proceedings of the 58th Annual Meeting of the Association for Computational Linguistics, (2020), 3229–3238. https://doi.org/10.18653/v1/2020.acl-main.295
    [9] Z. Huang, W. Zhou, K. Li, Z. Jia, SGCN: A scalable graph convolutional network with graph-shaped kernels and multi-channels, Knowl. Based Syst., 279 (2023), 110923. https://doi.org/10.1016/j.knosys.2023.110923 doi: 10.1016/j.knosys.2023.110923
    [10] W. An, F. Tian, P. Chen, Q. Zheng, Aspect-based sentiment analysis with heterogeneous graph neural network, IEEE Trans. Comput. Soc. Syst., 10 (2022), 403–412. https://doi.org/10.1109/TCSS.2022.3148866 doi: 10.1109/TCSS.2022.3148866
    [11] X. Zhu, L. Zhu, J. Guo, S. Liang, S. Dietze, GL-GCN: Global and local dependency guided graph convolutional networks for aspect-based sentiment classification, Expert Syst. Appl., 186 (2021), 115712. https://doi.org/10.1016/j.eswa.2021.115712 doi: 10.1016/j.eswa.2021.115712
    [12] L. Zhu, X. Zhu, J. Guo, S. Dietze, Exploring rich structure information for aspect-based sentiment classification, J. Intell. Inf. Syst., 60 (2023), 97–117. https://doi.org/10.1007/s10844-022-00729-1 doi: 10.1007/s10844-022-00729-1
    [13] S. Wei, G. Zhu, Z. Sun, X. Li, T. Weng, GP-GCN: Global features of orthogonal projection and local dependency fused graph convolutional networks for aspect-level sentiment classification, Connect. Sci., 34 (2022), 1785–1806. https://doi.org/10.1080/09540091.2022.2080183 doi: 10.1080/09540091.2022.2080183
    [14] Y. Wu, G. Deng, A parallel fusion graph convolutional network for aspect-level sentiment analysis, Big Data Res., 32 (2023), 100378. https://doi.org/10.1016/j.bdr.2023.100378 doi: 10.1016/j.bdr.2023.100378
    [15] A. Dai, X. Hu, J. Nie, J. Chen, Learning from word semantics to sentence syntax by graph convolutional networks for aspect-based sentiment analysis, Int. J. Data Sci. Anal., 14 (2022), 17–26. https://doi.org/10.1007/s41060-022-00315-2 doi: 10.1007/s41060-022-00315-2
    [16] B. Liang, Q. Liu, J. Xu, Q. Zhou, P. Zhang, Aspect-based sentiment analysis based on multi-attention CNN, J. Comput. Res. Develop., 54 (2017), 1724–1735.
    [17] P. Chen, Z. Sun, L. Bing, W. Yang, Recurrent attention network on memory for aspect sentiment analysis, in Proceedings of the 2017 Conference on Empirical Methods in Natural Language Processing, (2017), 452–461. https://doi.org/10.18653/v1/D17-1047
    [18] D. Tang, B. Qin, X. Feng, T. Liu, Effective LSTMs for target-dependent sentiment classification, in Proceedings of COLING 2016, (2016), 3298–3307. https://doi.org/10.48550/arXiv.1512.01100
    [19] B. Huang, Y. Ou, K. M. Carley, Aspect level sentiment classification with attention-over-attention neural networks, in Social, Cultural, and Behavioral Modeling: 11th International Conference, (2018), 197–206. https://doi.org/10.1007/978-3-319-93372-6_22
    [20] A. Zhao, Y. Yu, Knowledge-enabled BERT for aspect-based sentiment analysis, Knowl. Based Syst., 227 (2021), 107220. https://doi.org/10.1016/j.knosys.2021.107220 doi: 10.1016/j.knosys.2021.107220
    [21] J. Xiao, X. Luo, Aspect-level sentiment analysis based on BERT fusion multi-attention, in 2022 14th International Conference on Intelligent Human-Machine Systems and Cybernetics, (2022), 32–35. https://doi.org/10.1109/IHMSC55436.2022.00016
    [22] G. Ma, X. Guo, Dense concatenation memory network for aspect level sentiment analysis, IEEE Access, 11 (2023), 20486–20493. https://doi.org/10.1109/ACCESS.2023.3248639 doi: 10.1109/ACCESS.2023.3248639
    [23] H. Yan, B. Yi, H. Li, D. Wu, Sentiment knowledge-induced neural network for aspect-level sentiment analysis, Neural Comput. Appl., 34 (2022), 22275–22286. https://doi.org/10.1007/s00521-022-07698-0 doi: 10.1007/s00521-022-07698-0
    [24] D. Tian, J. Shi, J. Feng, A self-attention-based multi-level fusion network for aspect category sentiment analysis, Cogn. Comput., 15 (2023), 1372–1390. https://doi.org/10.1007/s12559-023-10160-5 doi: 10.1007/s12559-023-10160-5
    [25] T. N. Kipf, M. Welling, Semi-supervised classification with graph convolutional networks, preprint, arXiv: 1609.02907. https://doi.org/10.48550/arXiv.1609.02907
    [26] C. Zhang, Q. Li, D. Song, Aspect-based sentiment classification with aspect-specific graph convolutional networks, in Proceedings of the 2019 Conference on Empirical Methods in Natural Language Processing, (2019), 4568–4578. https://doi.org/10.18653/v1/D19-1464
    [27] S. Wang, G. Zhang, J. Cao, Aspect-based sentiment analysis with multi-aspects heterogeneous graph convolutional networks, in Proceedings of the 2021 5th International Conference on Electronic Information Technology and Computer Engineering, (2021), 915–920. https://doi.org/10.1145/3501409.3501574
    [28] H. Wu, Z. Zhang, S. Shi, Q. Wu, H. Song, Phrase dependency relational graph attention network for Aspect-based Sentiment Analysis, Knowl. Based Syst., 236 (2022), 107736. https://doi.org/10.1016/j.knosys.2021.107736 doi: 10.1016/j.knosys.2021.107736
    [29] H. T. Phan, N. T. Nguyen and D. Hwang, Aspect-level sentiment analysis using CNN over BERT-GCN, IEEE Access, 10 (2022), 110402–110409. https://doi.org/10.1109/ACCESS.2022.3214233 doi: 10.1109/ACCESS.2022.3214233
    [30] H. Jin, Q. Zhang, X. Liang, Y. Zhou, W. Li, Dual channel graph neural network enhanced by external affective knowledge for aspect level sentiment analysis, in ICONIP 2023, (2023), 257–274. https://doi.org/10.1007/978-981-99-8082-6_20
    [31] S. Li, Z. Zhao, R. Hu, W. Li, T. Liu, X. Du, Analogical reasoning on Chinese morphological and semantic relations, in Proceedings of the 56th Annual Meeting of the Association for Computational Linguistics, (2018), 138–143. https://doi.org/10.18653/v1/P18-2023
    [32] J. Pennington, R. Socher, C. Manning, Glove: Global vectors for word representation, in Proceedings of the 2014 Conference on Empirical Methods in Natural Language Processing, (2014), 1532–1543. https://doi.org/10.3115/v1/D14-1162
    [33] E. Cambria, Q. Liu, S. Decherchi, F. Xing, K. Kwok, SenticNet 7: A commonsense-based neurosymbolic AI framework for explainable sentiment analysis, in Proceedings of the Thirteenth Language Resources and Evaluation Conference, (2022), 3829–3839. https://aclanthology.org/2022.lrec-1.408
    [34] Explosion AI. (2022). spaCy 3.2.0. https://spacy.io/
    [35] L. Dong, F. Wei, C. Tan, D. Tang, M. Zhou, K. Xu, Adaptive recursive neural network for target-dependent twitter sentiment classification, in Proceedings of the 52nd Annual Meeting of the Association for Computational Linguistics, (2014), 49–54. https://doi.org/10.3115/v1/P14-2009
    [36] M. Pontiki, D. Galanis, J. Pavlopoulos, H. Papageorgiou, I. Androutsopoulos, S. Manandhar, Semeval-2014 task 4: Aspect based sentiment analysis, in Proceedings of the 8th International Workshop on Semantic Evalution, (2014), 27–35. https://doi.org/10.3115/v1/S14-2004
    [37] M. Pontiki, D. Galanis, H. Papageorgiou, S. Manandhar, I. Androutsopoulos, Semeval-2015 task 12: Aspect based sentiment analysis, in Proceedings of the 9th International Workshop on Semantic Evaluation, (2015), 486–495. https://doi.org/10.18653/v1/S15-2082
    [38] M. Pontiki, D. Galanis, H. Papageorgiou, I. Androutsopoulos, S. Manandhar, M. AL-Smadi, et al., Semeval-2016 task 5: Aspect based sentiment analysis, in Proceedings of the 10th International Workshop on Semantic Evaluation, (2016), 19–30. https://doi.org/10.18653/v1/S16-1002
    [39] Z. Gao, A. Feng, X. Song, X. Wu, Target-dependent sentiment classification with BERT, IEEE Access, 7 (2019), 154290–154299. https://doi.org/10.1109/ACCESS.2019.2946594 doi: 10.1109/ACCESS.2019.2946594
    [40] J. Zhou, J. X. Huang, Q. V. Hu, L. He, SK-GCN: Modeling syntax and knowledge via graph convolutional network for aspect-level sentiment classification, Knowl. Based Syst., 205 (2020), 106292. https://doi.org/10.1016/j.knosys.2020.106292 doi: 10.1016/j.knosys.2020.106292
    [41] K. Li, Z. Huang, Z. Jia, RAHG: A role-aware Hypergraph neural network for node classification in graphs, IEEE Trans. Network Sci. Eng., 10 (2023), 2098–2108. https://doi.org/10.1109/TNSE.2023.3243058 doi: 10.1109/TNSE.2023.3243058
  • Reader Comments
  • © 2024 the Author(s), licensee AIMS Press. This is an open access article distributed under the terms of the Creative Commons Attribution License (http://creativecommons.org/licenses/by/4.0)
通讯作者: 陈斌, bchen63@163.com
  • 1. 

    沈阳化工大学材料科学与工程学院 沈阳 110142

  1. 本站搜索
  2. 百度学术搜索
  3. 万方数据库搜索
  4. CNKI搜索

Metrics

Article views(2560) PDF downloads(88) Cited by(2)

Article outline

Figures and Tables

Figures(7)  /  Tables(5)

Other Articles By Authors

/

DownLoad:  Full-Size Img  PowerPoint
Return
Return

Catalog