Research article

Research on robust fuzzy logic sliding mode control of Two-DOF intelligent underwater manipulators


  • Received: 02 May 2023 Revised: 20 July 2023 Accepted: 03 August 2023 Published: 14 August 2023
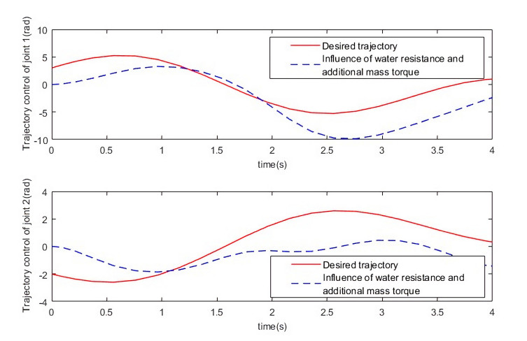
  • This study investigates the independent motion control of a two-degree-of-freedom (Two-DOF) intelligent underwater manipulator. The dynamics model of two-DOF manipulators in an underwater environment is proposed by combining Lagrange's equation and Morison's empirical formulation. Disturbing factors such as water resistance moments, additional mass force moments and buoyancy forces on the intelligent underwater manipulator are calculated exactly. The influence of these factors on the trajectory tracking of the intelligent underwater manipulator is studied through simulation analysis. Based on the design of the sliding mode surface of the PID structure, a new Fuzzy-logic Sliding Mode Control (FSMC) algorithm is presented for the control error and control input chattering defects of traditional sliding mode control algorithm. The experimental simulation results show that the FSMC algorithm proposed in this study has a good effect in the elimination of tracking error and convergence speed, and has a great improvement in control accuracy and input stability.

    Citation: Kangsen Huang, Zimin Wang. Research on robust fuzzy logic sliding mode control of Two-DOF intelligent underwater manipulators[J]. Mathematical Biosciences and Engineering, 2023, 20(9): 16279-16303. doi: 10.3934/mbe.2023727

    Related Papers:

  • This study investigates the independent motion control of a two-degree-of-freedom (Two-DOF) intelligent underwater manipulator. The dynamics model of two-DOF manipulators in an underwater environment is proposed by combining Lagrange's equation and Morison's empirical formulation. Disturbing factors such as water resistance moments, additional mass force moments and buoyancy forces on the intelligent underwater manipulator are calculated exactly. The influence of these factors on the trajectory tracking of the intelligent underwater manipulator is studied through simulation analysis. Based on the design of the sliding mode surface of the PID structure, a new Fuzzy-logic Sliding Mode Control (FSMC) algorithm is presented for the control error and control input chattering defects of traditional sliding mode control algorithm. The experimental simulation results show that the FSMC algorithm proposed in this study has a good effect in the elimination of tracking error and convergence speed, and has a great improvement in control accuracy and input stability.



    加载中


    [1] J. Meng, B. Zhang, T. Wei, X. He, X. Li, Robust finite-time stability of nonlinear systems involving hybrid impulses with application to sliding-mode control, Math. Biosci. Eng., 20 (2023), 4198–4218. https://doi.org/10.3934/mbe.2023196 doi: 10.3934/mbe.2023196
    [2] X. Shao, Z. Liu, B. Jiang, Sliding-mode controller synthesis of robotic manipulator based on a new modified reaching law, Math. Biosci. Eng., 19 (2022), 6362–6378. https://doi.org/10.3934/mbe.2022298 doi: 10.3934/mbe.2022298
    [3] H. Huang, G. Tang, H. Chen, J. Wang, L. Han, D. Xie, Vibration suppression trajectory planning of underwater flexible manipulators based on incremental kriging-assisted optimization algorithm, J. Marine Sci. Eng., 11 (2023), 938. https://doi.org/10.22214/ijraset.2023.49958 doi: 10.22214/ijraset.2023.49958
    [4] X. Zheng, Q. Tian, Q. Zhang, Development and control of an innovative underwater vehicle manipulator system, J. Marine Sci. Eng., 11 (2023), 548. https://doi.org/10.3390/jmse11030548 doi: 10.3390/jmse11030548
    [5] M. Khadembashi, H. Moeenfard, Beyond pull-in angle control of a dual axis torsional micro-actuator considering bending effects, Appl. Math. Modelling, 107 (2022), 133–150. https://doi.org/10.1016/j.apm.2022.02.016 doi: 10.1016/j.apm.2022.02.016
    [6] G. Jing, L. Lei, Y. Gang, Dynamic modeling and experimental analysis of an underwater glider in the ocean, Appl. Math. Modelling, 108 (2022), 392–407. https://doi.org/10.1016/j.apm.2022.03.034 doi: 10.1016/j.apm.2022.03.034
    [7] C. Paredis, H. B. Brown, P. K. Khosla, A rapidly deployable manipulator system, Rob. Auton. Syst., 21 (1997), 289–304. https://doi.org/10.1016/S0921-8890(97)00081-X doi: 10.1016/S0921-8890(97)00081-X
    [8] S. Zhou, C. Shen, Y. Xia, Z. Chen, S. Zhu, Adaptive robust control design for underwater multi-DoF hydraulic manipulator, Ocean Eng., 248 (2022), 110822. https://doi.org/10.1016/j.oceaneng.2022.110822 doi: 10.1016/j.oceaneng.2022.110822
    [9] J. Long, Y. Tian, W. Chen, J. Leng, Y. Wang, Locating, trajectory planning and control of an underwater propeller cleaning manipulator, Ocean Eng., 243 (2022), 110262. https://doi.org/10.1016/j.oceaneng.2021.110262 doi: 10.1016/j.oceaneng.2021.110262
    [10] B. Ema, A. Osr, A. Db, B. Xz, Comprehensive modeling and identification of nonlinear joint dynamics for collaborative industrial robot manipulators, Control Eng. Pract., 101 (2020). https://doi.org/10.1016/j.conengprac.2020.104512 doi: 10.1016/j.conengprac.2020.104512
    [11] Z. Chen, X. Yang, X. Liu, Rbfnn-based nonsingular fast terminal sliding mode control for robotic manipulators including actuator dynamics, Neurocomputing, 362 (2019), 72–82. https://doi.org/10.12816/0061297 doi: 10.12816/0061297
    [12] V. Muralidharan, T. K. Mamidi, S. Guptasarma, A. Nag, S. Bandyopadhyay, A comparative study of the configuration-space and actuator-space formulations of the lagrangian dynamics of parallel manipulators and the effects of kinematic singularities on these, Mech. Mach. Theory, 130 (2018), 403–434. https://doi.org/10.1016/j.mechmachtheory.2018.07.009 doi: 10.1016/j.mechmachtheory.2018.07.009
    [13] H. Abdellatif, B. Heimann, Computational efficient inverse dynamics of 6-dof fully parallel manipulators by using the lagrangian formalism, Mech. Mach. Theory, 44 (2009), 192–207. https://doi.org/10.1016/j.mechmachtheory.2008.02.003 doi: 10.1016/j.mechmachtheory.2008.02.003
    [14] I. Carlucho, D. W. Stephens, C. Barbalata, An adaptive data-driven controller for underwater manipulators with variable payload, Appl. Ocean Res., 113 (2021), 102726. https://doi.org/10.1016/j.apor.2021.102726 doi: 10.1016/j.apor.2021.102726
    [15] P. S. Londhe, S. Mohan, B. M. Patre, L. M. Waghmare, Robust task-space control of an autonomous underwater vehicle-manipulator system by pid-like fuzzy control scheme with disturbance estimator, Ocean Eng., 139 (2017), 1–13. https://doi.org/10.1016/j.oceaneng.2017.04.030 doi: 10.1016/j.oceaneng.2017.04.030
    [16] G. Q. Zeng, X. Q. Xie, M. R. Chen, J. Weng, Adaptive population extremal optimization-based pid neural network for multivariable nonlinear control systems, Swarm Evolut. Comput., 44 (2018). https://doi.org/10.1016/j.swevo.2018.04.008 doi: 10.1016/j.swevo.2018.04.008
    [17] H. Farivarnejad, S. Moosavian, Multiple impedance control for object manipulation by a dual arm underwater vehicle?manipulator system, Ocean Eng., 89 (2014), 82–98. https://doi.org/10.1016/j.oceaneng.2014.06.032 doi: 10.1016/j.oceaneng.2014.06.032
    [18] G. Zhong, C. Wang, W. Dou, Fuzzy adaptive pid fast terminal sliding mode controller for a redundant manipulator, Mech. Syst. Signal Proc. 159 (2021), 107577. https://doi.org/10.1016/j.ymssp.2020.107577 doi: 10.1016/j.ymssp.2020.107577
    [19] Z. Yuguang, Y. Fan, Dynamic modeling and adaptive fuzzy sliding mode control for multi-link underwater manipulators, Ocean Eng., 187 (2019), 106202. https://doi.org/10.1016/j.oceaneng.2019.106202 doi: 10.1016/j.oceaneng.2019.106202
    [20] J. Lin, R. J. Lian, Stability indices for a self-organizing fuzzy controlled robot: A case study, Eng. Appl. Artif. Intell., 23 (2010), 1019–1034. https://doi.org/10.1016/j.engappai.2010.04.005 doi: 10.1016/j.engappai.2010.04.005
    [21] A. F. Amer, E. A. Sallam, W. M. Elawady, Adaptive fuzzy sliding mode control using supervisory fuzzy control for 3 dof planar robot manipulators, Appl. Soft Comput., 11 (2011), 4943–4953. https://doi.org/10.1016/j.asoc.2011.06.005 doi: 10.1016/j.asoc.2011.06.005
    [22] K. Lu, W. Zhou, G. Zeng, Y. Zheng, Constrained population extremal optimization-based robust load frequency control of multi-area interconnected power system, Int. J. Electr. Power Energy Syst., 105 (2019), 249–271. https://doi.org/10.1016/j.ijepes.2018.08.043 doi: 10.1016/j.ijepes.2018.08.043
    [23] H. Nejatbakhsh Esfahani, V. Azimirad, M. Danesh, A time delay controller included terminal sliding mode and fuzzy gain tuning for underwater vehicle-manipulator systems, Ocean Eng., 107 (2015), 97–107. https://doi.org/10.1016/j.oceaneng.2015.07.043 doi: 10.1016/j.oceaneng.2015.07.043
    [24] F. Maurelli, S. Krupiński, X. Xiang, Y. Petillot, AUV localisation: a review of passive and active techniques, Int. J. Intell. Rob. Appl., 2021.
    [25] H. Huang, Q. Tang, J. Li, W. Zhang, X. Bao, H. Zhu, et al., A review on underwater autonomous environmental perception and target grasp, the challenge of robotic organism capture, Ocean Eng., 195 (2020), 106644. https://doi.org/10.1016/j.oceaneng.2019.106644 doi: 10.1016/j.oceaneng.2019.106644
    [26] F. Maurelli, M. Carreras, J. Salvi, D. Lane, K. Kyriakopoulos, G. Karras, et al., The PANDORA project: A success story in AUV autonomy, in OCEANS 2016 - Shanghai, (2016), 1–8. https://doi.org/10.1109/OCEANSAP.2016.7485618
    [27] X. Xiao, S. Joshi, Process planning for five-axis support free additive manufacturing, Addit. Manuf., 36 (2020), 101569. https://doi.org/10.1016/j.addma.2020.101569 doi: 10.1016/j.addma.2020.101569
    [28] X. Xiao, B. M. Roh, F. Zhu, Strength enhancement in fused filament fabrication via the isotropy toolpath, Appl. Sci., 11 (2021), 6100. https://doi.org/10.3390/app11136100 doi: 10.3390/app11136100
    [29] X. Xiao, S. Joshi, J. Cecil, Critical assessment of shape retrieval tools (srts), Int. J. Adv. Manuf. Technol., 116 (2021), 3431–3446. https://doi.org/10.1002/ece3.7285 doi: 10.1002/ece3.7285
    [30] N. Wang, Y. Zhang, C. K. Ahn, Q. Xu, Autonomous pilot of unmanned surface vehicles: Bridging path planning and tracking, IEEE Trans. Veh. Technol., 71 (2022), 2358–2374. https://doi.org/10.1109/TVT.2021.3136670 doi: 10.1109/TVT.2021.3136670
    [31] N. Wang, T. Chen, X. Kong, Y. Chen, R. Wang, Y. Gong, et al., Underwater attentional generative adversarial networks for image enhancement, IEEE Trans. Human Mach. Syst., 53 (2023), 490–500. https://doi.org/10.1109/THMS.2023.3261341 doi: 10.1109/THMS.2023.3261341
    [32] N. Wang, Y. Gao, H. Zhao, C. K. Ahn, Reinforcement learning-based optimal tracking control of an unknown unmanned surface vehicle, IEEE Trans. Neural Networks Learn. Syst., 32 (2021), 3034–3045. https://doi.org/10.1109/TNNLS.2020.3009214 doi: 10.1109/TNNLS.2020.3009214
  • Reader Comments
  • © 2023 the Author(s), licensee AIMS Press. This is an open access article distributed under the terms of the Creative Commons Attribution License (http://creativecommons.org/licenses/by/4.0)
通讯作者: 陈斌, bchen63@163.com
  • 1. 

    沈阳化工大学材料科学与工程学院 沈阳 110142

  1. 本站搜索
  2. 百度学术搜索
  3. 万方数据库搜索
  4. CNKI搜索

Metrics

Article views(2484) PDF downloads(171) Cited by(3)

Article outline

Figures and Tables

Figures(15)  /  Tables(2)

Other Articles By Authors

/

DownLoad:  Full-Size Img  PowerPoint
Return
Return

Catalog