Research article Special Issues

A hybrid model combining variational mode decomposition and an attention-GRU network for stock price index forecasting

  • Published: 21 October 2020
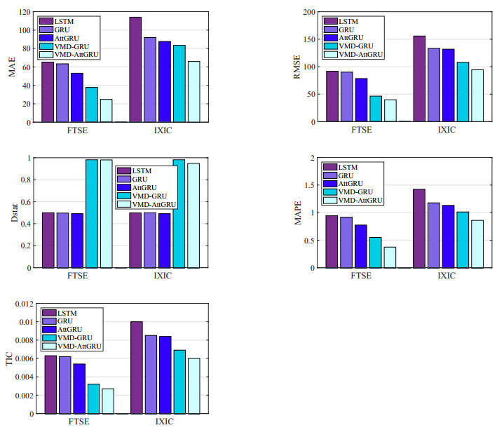
  • In this paper we introduce a new hybrid model based on variational mode decomposition (VMD) and Gated Recurrent Units (GRU) network improved by attention mechanism to enhance the accuracy of stock price indices forecasting. In the process of establishing the model, VMD is made a use to decompose the primary series into some almost orthogonal subsequences. The attention mechanism is introduced into GRU to assign different weights to the input elements in advance so that better predictive results can be achieved for each component. In empirical experiment, London FTSE Index (FTSE) and Nasdaq Index (IXIC) are adopted to examine the performance of VMD-AttGRU model. Empirical results report that the developed hybrid model outperforms the single models and indeed raises the accuracy of stock price indices forecasting. In addition, the introduction of attention mechanism can increase the level predictive accuracy but decrease the correctness of direction forecasting.

    Citation: Hongli Niu, Kunliang Xu. A hybrid model combining variational mode decomposition and an attention-GRU network for stock price index forecasting[J]. Mathematical Biosciences and Engineering, 2020, 17(6): 7151-7166. doi: 10.3934/mbe.2020367

    Related Papers:

  • In this paper we introduce a new hybrid model based on variational mode decomposition (VMD) and Gated Recurrent Units (GRU) network improved by attention mechanism to enhance the accuracy of stock price indices forecasting. In the process of establishing the model, VMD is made a use to decompose the primary series into some almost orthogonal subsequences. The attention mechanism is introduced into GRU to assign different weights to the input elements in advance so that better predictive results can be achieved for each component. In empirical experiment, London FTSE Index (FTSE) and Nasdaq Index (IXIC) are adopted to examine the performance of VMD-AttGRU model. Empirical results report that the developed hybrid model outperforms the single models and indeed raises the accuracy of stock price indices forecasting. In addition, the introduction of attention mechanism can increase the level predictive accuracy but decrease the correctness of direction forecasting.


    加载中


    [1] C. Zhang, H. Pan, Y. Ma, X. Huang, Analysis of Asia Pacific stock markets with a novel multiscale model, Phys. A, 534 (2019), 120939.
    [2] A. L. D. Loureiro, V. L. Miguéis, L. F. M. da Silva, Exploring the use of deep neural networks for sales forecasting in fashion retail, Decis. Support Syst., 114 (2018), 81-93.
    [3] J. Wang, J. Wang, Forecasting stock market indexes using principle component analysis and stochastic time effective neural networks, Neurocomputing, 156 (2015), 68-78. doi: 10.1016/j.neucom.2014.12.084
    [4] Y. Xu, S. B. Cohen, Stock movement prediction from tweets and historical prices, In Proceedings of the 56th Annual Meeting of the Association for Computational Linguistics, 2018.
    [5] D.P. Mandic, J.A. Chambers, Exploiting inherent relationships in RNN architectures, Neural Networks, 12 (1999), 1341-1345. doi: 10.1016/S0893-6080(99)00076-3
    [6] T. Deng, X. He, Z. Zeng, Recurrent neural network for combined economic and emission dispatch, Applied Intelligence, Appl. Intell., 48 (2018), 2180-2198.
    [7] S. Hochreiter, J. Schmidhuber, Long short-term memory, Neural Comput., 9 (1997), 1735-1780.
    [8] K. Wang, X. Qi, H. Liu, Photovoltaic power forecasting based LSTM-Convolutional Network, Energy, 189 (2019), 116225.
    [9] Z. Karevan, J. A. K. Suykens, Transductive LSTM for time-series prediction: An application to weather forecasting, Neural Networks, 125 (2020), 1-9.
    [10] B. Zhao, Z. P. Wang, W. J. Ji, X. Gao, X. B. Li, A Short-term Power Load Forecasting Method Based on Attention Mechanism of CNN-GRU, Power Syst. Technol., 12 (2019).
    [11] Z. Y. Peng, S. Peng, L. D. Fu, B. C. Lu, J. J. Tang, K. Wang, et al., A novel deep learning ensemble model with data denoising for short-term wind speed forecasting, Energy Convers. Manage., 207 (2020), 112524.
    [12] W. Y. Wu, W. L. Liao, J. Miao, G. L. Du, Using Gated Recurrent Unit Network to Forecast Short-Term Load Considering Impact of Electricity Price, Energy Procedia, 158 (2019) 3369-3374.
    [13] J. Zhang, D. Li, Y. Hao, Z. Tan, A hybrid model using signal processing technology, econometric models and neural network for carbon spot price forecasting, J. Cleaner Prod., 204 (2018), 958-964.
    [14] J. Wang, L. Y. Tang, Y. Y. Luo, P. Ge, A weighted EMD-based prediction model based on TOPSIS and feed forward neural network for noised time series, Knowl. Based Syst., 132 (2017), 167-178. doi: 10.1016/j.knosys.2017.06.022
    [15] J. Cao, Z. Li, J. Li, Financial time series forecasting model based on CEEMDAN and LSTM, Phys. A, 519 (2019), 127-139. doi: 10.1016/j.physa.2018.11.061
    [16] K. Dragomiretskiy, D. Zosso, Variational mode decomposition, IEEE Trans. Signal Process., 62 (2014), 531-544.
    [17] S. Lahmiri, Intraday stock price forecasting based on variational mode decomposition, J. Comput. Sci., 12 (2016), 23-27. doi: 10.1016/j.jocs.2015.11.011
    [18] S. Lahmiri, A variational mode decomposition approach for analysis and forecasting of economic and financial time series, Expert Syst. Appl., 55 (2016), 268-273. doi: 10.1016/j.eswa.2016.02.025
    [19] S. Lahmiri, Comparing variational and empirical mode decomposition in forecasting day-ahead energy prices, IEEE Syst. J., 11 (2015), 1907-1910.
    [20] Q. Zhu, F. Zhang, S. Liu, Y. Wu, L. Wang, A hybrid VMD-BiGRU model for rubber futures time series forecasting, Appl. Soft Comput., 84 (2019), 105739.
    [21] C. Li, G. Tang, X. Xue, A. Saeed, X. Hu, Short-term wind speed interval prediction based on ensemble GRU model, IEEE Trans. Sustainable Energy, 11 (2020), 1370-1380. doi: 10.1109/TSTE.2019.2926147
    [22] R. Wang, C. Li, W. Fu, G. Tang, Deep learning method based on gated recurrent unit and variational mode decomposition for short-term wind power interval prediction, IEEE Trans. Neural Networks Learn. Syst., 31 (2019), 3814-3827.
    [23] S. Boyd, N. Parikh, E. Chu, B. Peleato. J. Eckstein, Distributed Optimization and Statistical Learning via the Alternating Direction Method of Multipliers, Now Foundations and Trends, 2011.
    [24] Y. Liu, C. Yang, K. Huang, W. Cui, Non-ferrous metals price forecasting based on variational mode decomposition and LSTM network, Knowl. Based Syst., 188 (2020), 105006.
    [25] J. W. E, J. M. Ye, L. L. He, H. H. Jin, Energy price prediction based on independent component analysis and gated recurrent unit neural network, Energy, 189 (2019), 116278.
    [26] S. Chen, L. Ge, Exploring the attention mechanism in LSTM-based Hong Kong stock price movement prediction, Quant. Finance, 19 (2019), 1507-1515. doi: 10.1080/14697688.2019.1622287
    [27] R. Desimon, J. Duncan, Neural mechanisms of selective visual attention, Annu. Rev. Neurosci., 18 (1995), 193-222. doi: 10.1146/annurev.ne.18.030195.001205
    [28] M. T. Luong, H. Pham, C. D. Manning, Effective approaches to attention-based neural machine translation, arXiv: 1508.04025.
    [29] L. Li, S. Tang, Y. Zhang, L. Deng, Q. Tian, GLA: global-local attention for image description, IEEE Trans. Multimedia, 20 (2017), 726-737.
    [30] S. Wang, X. Wang, S. Wang, D. Wang, Bi-directional long short-term memory method based on attention mechanism and rolling update for short-term load forecasting, Int. J. Electric. Power Energy Syst., 109 (2019), 470-479. doi: 10.1016/j.ijepes.2019.02.022
  • Reader Comments
  • © 2020 the Author(s), licensee AIMS Press. This is an open access article distributed under the terms of the Creative Commons Attribution License (http://creativecommons.org/licenses/by/4.0)
通讯作者: 陈斌, bchen63@163.com
  • 1. 

    沈阳化工大学材料科学与工程学院 沈阳 110142

  1. 本站搜索
  2. 百度学术搜索
  3. 万方数据库搜索
  4. CNKI搜索

Metrics

Article views(8894) PDF downloads(290) Cited by(28)

Article outline

Figures and Tables

Figures(8)  /  Tables(5)

Other Articles By Authors

/

DownLoad:  Full-Size Img  PowerPoint
Return
Return

Catalog