Research article

An iterative method for solving a PDE with free boundary arising from pricing corporate bond with credit rating migration

  • Received: 21 August 2022 Revised: 04 November 2022 Accepted: 07 November 2022 Published: 16 November 2022
  • MSC : 65M06, 65M12, 65M15

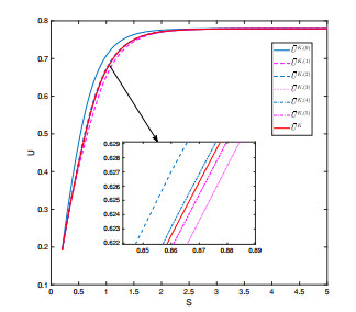
  • In this paper an iterative method is proposed to solve a partial differential equation (PDE) with free boundary arising from pricing corporate bond with credit grade migration risk. A iterative algorithm is designed to construct two sequences of fixed internal boundary problems, which produce two weak solution sequences. It is proved that both weak solution sequences are convergent. In each iteration step, an implicit-upwind difference scheme is used to solve the fixed internal boundary problem. It is shown that the scheme is stable and first-order convergent. Numerical experiments verify that the limit of the weak solution sequence is the solution of the free boundary problem. This method simplifies the free boundary problem solving, ensures the stability of the discrete scheme and reduces the amount of calculation.

    Citation: Zhongdi Cen, Jian Huang, Aimin Xu, Anbo Le. An iterative method for solving a PDE with free boundary arising from pricing corporate bond with credit rating migration[J]. AIMS Mathematics, 2023, 8(2): 3286-3302. doi: 10.3934/math.2023169

    Related Papers:

  • In this paper an iterative method is proposed to solve a partial differential equation (PDE) with free boundary arising from pricing corporate bond with credit grade migration risk. A iterative algorithm is designed to construct two sequences of fixed internal boundary problems, which produce two weak solution sequences. It is proved that both weak solution sequences are convergent. In each iteration step, an implicit-upwind difference scheme is used to solve the fixed internal boundary problem. It is shown that the scheme is stable and first-order convergent. Numerical experiments verify that the limit of the weak solution sequence is the solution of the free boundary problem. This method simplifies the free boundary problem solving, ensures the stability of the discrete scheme and reduces the amount of calculation.



    加载中


    [1] R. A. Adams, J. J. Fournier, Sobolev spaces, $2^{nd}$ edition, New York: Academic Press, 2003.
    [2] X. Chen, J. Liang, A free boundary problem for corporate bond pricing and credit rating under different upgrade and downgrade thresholds, SIAM J. Financ. Math., 12 (2021), 941–966. http://dx.doi.org/10.1137/20M1343592 doi: 10.1137/20M1343592
    [3] C. Clavero, J. L. Gracia, G. I. Shishkin, L.P. Shishkina, Grid approximation of a singularly perturbed parabolic equation with degenerating convective term and discontinuous right-hand side, Int. J. Numer. Analy. Model., 10 (2013), 795–814. http://www.math.ualberta.ca/ijnam/Volume10-1.htm
    [4] L. C. Evans, Partial differential equations, $2^{nd}$ edition, New York: American mathematical society, 2010.
    [5] P. A. Farrell, A. F. Hegarty, J. J. H. Miller, E. O'Riordan, G. I. Shishkin, Global maximum norm parameter-uniform numerical method for a singularly perturbed convection-diffusion problem with discontinuous convection coefficient, Math. Comput. Model., 40 (2004), 1375–1392. https://doi.org/10.1016/j.mcm.2005.01.025 doi: 10.1016/j.mcm.2005.01.025
    [6] B. Hu, J. Liang, Y. Wu, A free boundary problem for corporate bond with credit rating migration, J. Math. Analy. Appl., 428 (2015), 896–909. https://doi.org/10.1016/j.jmaa.2015.03.040 doi: 10.1016/j.jmaa.2015.03.040
    [7] J. Kandilarov, L. Vulkov, Front fixing finite difference method for pricing a corporate bond with credit rating migration, In: International conference on numerical methods and applications, 11189 (2019), 416–423. http://dx.doi.org/10.1007/978-3-030-10692-8_47
    [8] H. Leland, Corporate debt value, bond covenants, and optimal capital structure, J. Financ., 49 (1994), 1213–1252. https://doi.org/10.2307/2329184 doi: 10.2307/2329184
    [9] L. Jiang, Mathematical modeling and methods of option pricing, Singapore: World Scientific Publishing, 2005.
    [10] J. Liang, J. Bao, C. Zeng, Pricing on a defautable and callable corporate bond with credit rating migration under the structure framework, in Chinese, J. Syst. Eng., 33 (2018), 793–822. https://doi.org/10.13383/j.cnki.jse.2018.06.008 doi: 10.13383/j.cnki.jse.2018.06.008
    [11] J. Liang, X. Chen, Y. Wu, H. M. Yin, On a corporate bond pricing model with credit rating migration risks and stochastic interest rate, Quant. Financ. Econ., 1 (2017), 300–319. https://doi.org/10.3934/QFE.2017.3.300 doi: 10.3934/QFE.2017.3.300
    [12] J. Liang, C. Zeng, Corporate bonds pricing under credit rating migration and structure framework, in Chinese, Appl. Math. A J. Chin. Uni., 30 (2015), 61–70. https://doi.org/10.13299/j.cnki.amjcu.001850 doi: 10.13299/j.cnki.amjcu.001850
    [13] J. Liang, Y. J. Zhao, Utility indifference valuation of corporate bond with credit rating migration by structure approach, Econ. Model., 54 (2016), 339–346. https://doi.org/10.1016/j.econmod.2015.12.002 doi: 10.1016/j.econmod.2015.12.002
    [14] E. O'Riordan, G. I. Shishkin, Singularly perturbed parabolic problems with non-smooth data, J. Comput. Appl. Math., 166 (2004), 233–245. https://doi.org/10.1016/j.cam.2003.09.025 doi: 10.1016/j.cam.2003.09.025
    [15] Y. Wu, J. Liang, B. Hu, A free boundary problem for defaultable corporate bond with credit rating migration risk and its asymptotic behavior, Discrete Cont. Dyn.-B, 25 (2020), 1043–1058. https://doi.org/10.3934/dcdsb.2019207 doi: 10.3934/dcdsb.2019207
  • Reader Comments
  • © 2023 the Author(s), licensee AIMS Press. This is an open access article distributed under the terms of the Creative Commons Attribution License (http://creativecommons.org/licenses/by/4.0)
通讯作者: 陈斌, bchen63@163.com
  • 1. 

    沈阳化工大学材料科学与工程学院 沈阳 110142

  1. 本站搜索
  2. 百度学术搜索
  3. 万方数据库搜索
  4. CNKI搜索

Metrics

Article views(2216) PDF downloads(86) Cited by(0)

Article outline

Figures and Tables

Figures(4)  /  Tables(2)

Other Articles By Authors

/

DownLoad:  Full-Size Img  PowerPoint
Return
Return

Catalog