Research article Topical Sections

Numerical and experimental investigation of concrete with various dosages of fly ash

  • Received: 01 April 2021 Accepted: 23 June 2021 Published: 16 July 2021
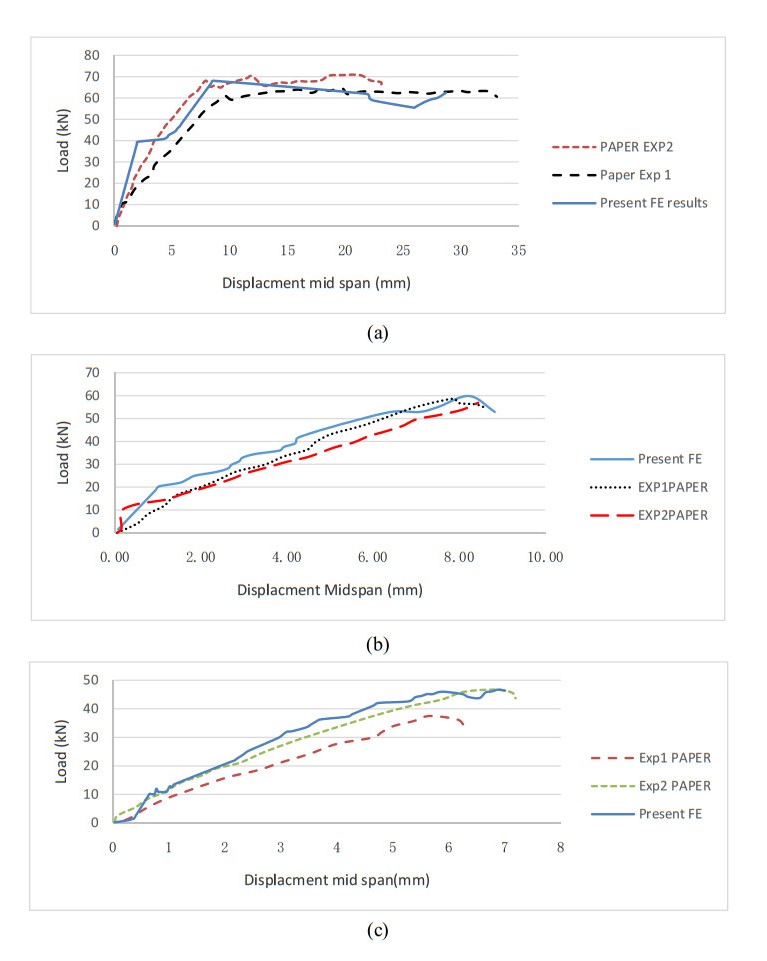
  • The nonlinear behavior of reinforced fly ash concrete (RFAC) beams until the ultimate failure is highly a multifaceted phenomenon due to the contention of heterogeneous material properties and the cracking behavior of concrete. This paper represents an exploration of nonlinear finite element analysis of reinforced concrete beams with the inclusion of fly ash under flexural loading. Finite element modelling of RFAC beams is carried out using a distinct reinforcement modelling method. The capability of the model to capture the critical crack regions, loads and deflections for various loadings in RFAC beams has been evaluated. Comparison is made between experimental results and finite element modelling with respect to crack formation and the ultimate capacity for flexural loading and mid-span deflection. The achieved results in the present study indicate acceptable approximation with those in the previous investigations.

    Citation: Kong Fah Tee, Sayedali Mostofizadeh. Numerical and experimental investigation of concrete with various dosages of fly ash[J]. AIMS Materials Science, 2021, 8(4): 587-607. doi: 10.3934/matersci.2021036

    Related Papers:

  • The nonlinear behavior of reinforced fly ash concrete (RFAC) beams until the ultimate failure is highly a multifaceted phenomenon due to the contention of heterogeneous material properties and the cracking behavior of concrete. This paper represents an exploration of nonlinear finite element analysis of reinforced concrete beams with the inclusion of fly ash under flexural loading. Finite element modelling of RFAC beams is carried out using a distinct reinforcement modelling method. The capability of the model to capture the critical crack regions, loads and deflections for various loadings in RFAC beams has been evaluated. Comparison is made between experimental results and finite element modelling with respect to crack formation and the ultimate capacity for flexural loading and mid-span deflection. The achieved results in the present study indicate acceptable approximation with those in the previous investigations.



    加载中


    [1] Ismail AH, Kusbiantoro A, Chin SC, et al. (2020) Pozzolanic reactivity and strength activity index of mortar containing palm oil clinker pretreated with hydrochloric acid. J Clean Prod 242: 118565. doi: 10.1016/j.jclepro.2019.118565
    [2] Tee KF, Mostofizadeh S (2021) A mini review on properties of Portland cement concrete with geopolymer materials as partial or entire replacement. Infrastructures 6: 26. doi: 10.3390/infrastructures6020026
    [3] Mostofizadeh S, Tee KF (2019) Evaluation of impact of fly ash on the improvement on type II concrete strength. Proceedings of the 39th Cement and Concrete Science Conference, 190-193.
    [4] Gharehbaghi K, Tee KF, Gharehbaghi S (2021) Review of geopolymer concrete: A structural integrity evaluation. IJFE (in press).
    [5] Samad AAA, Mohamad N, Ali AZM, et al. (2017) Trends and development of green concrete made from agricultural and construction waste, Advanced Concrete Technology and Green Materials, Johor: Penerbit UTHM.
    [6] Tee KF, Agba IF, Samad AAA (2019) Experimental and numerical study of green concrete. Int J Forensic Eng 4: 238-254. doi: 10.1504/IJFE.2019.106677
    [7] Samad AAA, Hadipramana J, Mohamad N, et al. (2018) Development of green concrete from agricultural and construction waste, In: Sayigh A, Transition Towards 100% Renewable Energy, Springer, Cham, 399-410.
    [8] Golewski GL (2020) Changes in the fracture toughness under mode II loading of low calcium fly ash (LCFA) concrete depending on ages. Materials 13: 5241. doi: 10.3390/ma13225241
    [9] Golewski GL, Gil DM (2021) Studies of fracture toughness in concretes containing fly ash and silica fume in the first 28 Days of curing. Materials 14: 319. doi: 10.3390/ma14020319
    [10] Golewski GL (2021) The beneficial effect of the addition of fly ash on reduction of the size of microcracks in the ITZ of concrete composites under dynamic loading. Energies 14: 668. doi: 10.3390/en14030668
    [11] Lisantono A, Wigroho H, Purba R (2017) Shear behavior of high-volume fly ash concrete as replacement of Portland cement in RC beam. Procedia Eng 171: 80-87. doi: 10.1016/j.proeng.2017.01.312
    [12] Annapurna D, Kishore R, Sree MU (2016) Comparative study of experimental and analytical results of geopolymer concrete. IJCIET 7: 211-219.
    [13] Karnati V (2016) Flexural response of reinforced concrete beams using various cementitious materials [Master's Thesis]. University of Toledo.
    [14] Dahmani L, Khennane A, Kaci S (2010) Crack identification in reinforced concrete beams using ANSYS software. Strength Mater 42: 232-240. doi: 10.1007/s11223-010-9212-6
    [15] Vasudevan G, Kothandaraman S, Azhagarsamy S (2013) Study on non-linear flexural behavior of reinforced concrete beams using ANSYS by discrete reinforcement modeling. Strength Mater 45: 231-241. doi: 10.1007/s11223-013-9452-3
    [16] Ansys Fluent 14.0: User's guide, 2011. Available from: https: //www.scribd.com/doc/140163383/Ansys-Fluent-14-0-Users-Guide.
    [17] Nguyen K, Ahn N, Le T, et al. (2016) Theoretical and experimental study on mechanical properties and flexural strength of fly ash-geopolymer concrete. Constr Build Mater 106: 65-77. doi: 10.1016/j.conbuildmat.2015.12.033
    [18] Popovics S (1970) A review of stress-strain relationships for concrete. ACI J 67: 243-248.
    [19] Isojeh B, El-Zeghayar M, Vecchio F (2017) Simplified constitutive model for fatigue behavior of concrete in compression. J Mater Civil Eng 29: 04017028. doi: 10.1061/(ASCE)MT.1943-5533.0001863
    [20] Buckhouse ER (1997) External flexural reinforcement of existing reinforced concrete beams using bolted steel channels [Master's Thesis]. Milwaukee: Marquette University.
    [21] Halahla A (2019) Identification of crack in reinforced concrete beam subjected to static load using non-linear finite element analysis. CEJ 5: 1631-1646. doi: 10.28991/cej-2019-03091359
    [22] Kachlakev D, Miller TR, Yim S, et al. (2001) Finite element modeling of concrete structures strengthened with FRP laminates. FHWA-OR-RD-01-17, Oregon Department of Transportation Research Section
    [23] Desai YM, Mufti AA, Tadros G (2002) User manual for FEM PUNCH, Version 2.0. ISIS Canada.
    [24] Dawari V, Vesmawala G (2013) Modal curvature and modal flexibility methods for honeycomb damage identification in reinforced concrete beams. Procedia Eng 51: 119-124. doi: 10.1016/j.proeng.2013.01.018
    [25] Chahrour A, Soudki K (2005) Flexural response of reinforced concrete beams strengthened with end-anchored partially bonded carbon fiber-reinforced polymer strips. J Compos Constr 9: 170-177. doi: 10.1061/(ASCE)1090-0268(2005)9:2(170)
    [26] Ramazanianpour A, Malhotra V (1995) Effect of curing on the compressive strength, resistance to Chloride-ion penetration and porosity of concrete incorporating slag, fly ash or silica fume. Cement Concrete Comp 17: 125-133. doi: 10.1016/0958-9465(95)00005-W
    [27] British Standards (1983) Testing concrete—Part 116: method for determination of compressive strength of concrete cube, BS 1881-116. Available from: https://989me.vn/en/download/Other-Items/BS-1881-116-1983-Testing-concrete-Part-116-Method-for-determination-of-compressive-strength-of-concrete-cubes.html.
    [28] Getahun MA, Shitote SA, Gariy ZCA (2018) Experimental investigation on engineering properties of concrete incorporating reclaimed asphalt pavement and rice husk ash. Buildings 8: 115. doi: 10.3390/buildings8090115
    [29] Xie J, Kayali O (2016) Effect of superplasticizer on workability enhancement of class F and class C fly ash-based geopolymers. Constr Build Mater 122: 36-42. doi: 10.1016/j.conbuildmat.2016.06.067
    [30] Nematollahi B, Sanjayan J (2014) Effect of different superplasticizers and activator combinations on workability and strength of fly ash based geopolymer. Mater Design 57: 667-672. doi: 10.1016/j.matdes.2014.01.064
    [31] Alrefaei Y, Wang Y, Dai J (2019) The effectiveness of different superplasticizers in ambient cured one-part alkali activated pastes. Cement Concrete Compos 97: 166-174. doi: 10.1016/j.cemconcomp.2018.12.027
  • Reader Comments
  • © 2021 the Author(s), licensee AIMS Press. This is an open access article distributed under the terms of the Creative Commons Attribution License (http://creativecommons.org/licenses/by/4.0)
通讯作者: 陈斌, bchen63@163.com
  • 1. 

    沈阳化工大学材料科学与工程学院 沈阳 110142

  1. 本站搜索
  2. 百度学术搜索
  3. 万方数据库搜索
  4. CNKI搜索

Metrics

Article views(5749) PDF downloads(307) Cited by(4)

Article outline

Figures and Tables

Figures(10)  /  Tables(12)

Other Articles By Authors

/

DownLoad:  Full-Size Img  PowerPoint
Return
Return

Catalog