Research article Special Issues

Modeling and experimental investigation of quasi-zero stiffness vibration isolator using shape memory alloy springs

  • Published: 12 February 2025
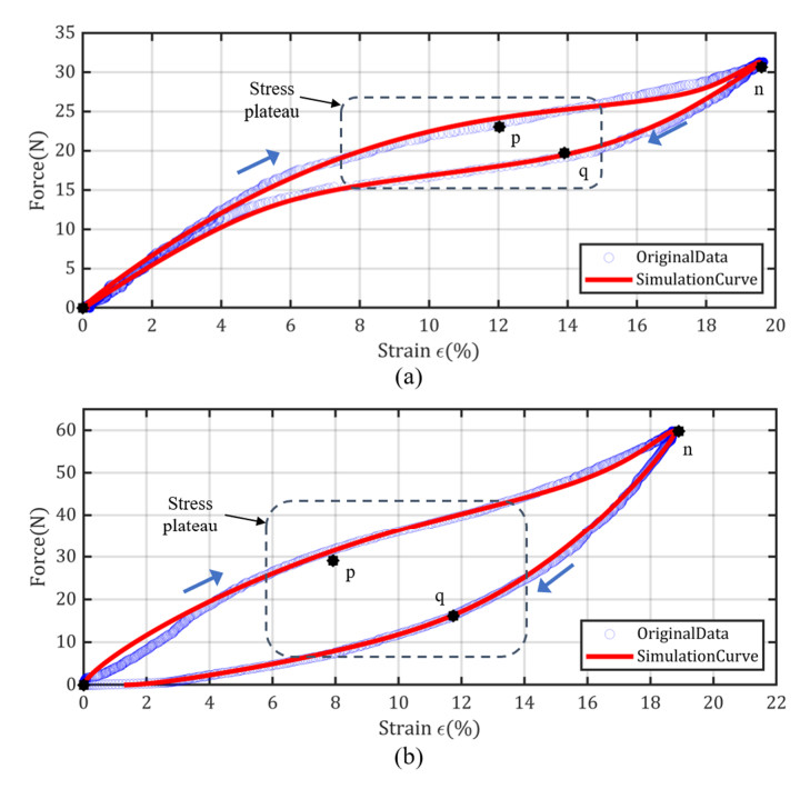
  • Low-frequency vibration isolation is an attractive research topic in vibration control. In this study, a novel quasi-zero stiffness isolator utilizing shape memory alloy (SMA) springs is proposed. Leveraging the inherent stress plateau characteristics caused by the super-elastic effect of SMA, this design significantly improves the isolation performance at low-frequency excitations. We began by reformulating the static constitutive equation of the SMA spring, and the torsional strain of the spring was taken into account into the static constitutive equation. Subsequently, the dynamics of the SMA spring was modeled as an ordinary differential equation using the Euler-Lagrange equation. The SMA spring was fabricated and tensile tests were performed to validate the model given by dynamic differential function. Building on the validated spring model, a dynamic model of the quasi-zero stiffness isolator using SMA springs was proposed and its response under sinusoidal excitation was analyzed. The amplitude-frequency response of the system was determined using the harmonic balance method (HBM), and superior performance of the isolator in attenuating low-frequency vibrations was confirmed. Finally, an experimental platform was constructed to evaluate the isolator's performance under low-frequency excitations at 0.5, 1.0, 1.5, and 2.5 Hz. Our results demonstrated the effectiveness of the proposed quasi-zero stiffness vibration isolator system in isolating low-frequency vibrations, and the simulation results were verified by the experimental counterparts.

    Citation: Xuerong Hu, Yuxiang Han, Junyan Lu, Linxiang Wang. Modeling and experimental investigation of quasi-zero stiffness vibration isolator using shape memory alloy springs[J]. Electronic Research Archive, 2025, 33(2): 768-790. doi: 10.3934/era.2025035

    Related Papers:

  • Low-frequency vibration isolation is an attractive research topic in vibration control. In this study, a novel quasi-zero stiffness isolator utilizing shape memory alloy (SMA) springs is proposed. Leveraging the inherent stress plateau characteristics caused by the super-elastic effect of SMA, this design significantly improves the isolation performance at low-frequency excitations. We began by reformulating the static constitutive equation of the SMA spring, and the torsional strain of the spring was taken into account into the static constitutive equation. Subsequently, the dynamics of the SMA spring was modeled as an ordinary differential equation using the Euler-Lagrange equation. The SMA spring was fabricated and tensile tests were performed to validate the model given by dynamic differential function. Building on the validated spring model, a dynamic model of the quasi-zero stiffness isolator using SMA springs was proposed and its response under sinusoidal excitation was analyzed. The amplitude-frequency response of the system was determined using the harmonic balance method (HBM), and superior performance of the isolator in attenuating low-frequency vibrations was confirmed. Finally, an experimental platform was constructed to evaluate the isolator's performance under low-frequency excitations at 0.5, 1.0, 1.5, and 2.5 Hz. Our results demonstrated the effectiveness of the proposed quasi-zero stiffness vibration isolator system in isolating low-frequency vibrations, and the simulation results were verified by the experimental counterparts.



    加载中


    [1] B. Yan, N. Yu, C. Wu, A state-of-the-art review on low-frequency nonlinear vibration isolation with electromagnetic mechanisms, Appl. Math. Mech., 43 (2022), 1045–1062. https://doi.org/10.1007/s10483-022-2868-5 doi: 10.1007/s10483-022-2868-5
    [2] L. Guo, X. Wang, R. Fan, F. Bi, Review on development of high-static–low-dynamic-stiffness seat cushion mattress for vibration control of seating suspension system, Appl. Sci., 10 (2020), 2887. https://doi.org/10.3390/app10082887 doi: 10.3390/app10082887
    [3] Z. Ma, R. Zhou, Q. Yang, Recent advances in quasi-zero stiffness vibration isolation systems: An overview and future possibilities, Machines, 10 (2022), 813–854. https://doi.org/10.3390/machines10090813 doi: 10.3390/machines10090813
    [4] X. Li, S. Huang, Y. Xu, J. Liu, J. Liu, G. Pan, Dynamic analysis of a quasi-zero stiffness vibration isolator in propulsion shaft system, Ocean. Eng., 313 (2024), 119544–119560. https://doi.org/10.1016/j.oceaneng.2024.119544 doi: 10.1016/j.oceaneng.2024.119544
    [5] P. Wu, F. Wang, S. Xu, T. Liu, Y. Qi, X. Zhao, et al., A highly sensitive triboelectric quasi-zero stiffness vibration sensor with ultrawide frequency response, Adv. Sci., 10 (2023), 2301199–2301209. https://doi.org/10.1002/advs.202301199 doi: 10.1002/advs.202301199
    [6] M. Abuabiah, Y. Dabbas, L. Herzallah, I. H. Alsurakji, M. Assad, P. Plapper, Analytical study on the low-frequency vibrations isolation system for vehicle's seats using quasi-zero-stiffness isolator, Appl. Sci., 12 (2022), 2418–2436. https://doi.org/10.3390/app12052418 doi: 10.3390/app12052418
    [7] C. Liu, W. Zhang, K. Yu, T. Liu, Y. Zheng, Quasi-zero-stiffness vibration isolation: Designs, improvements and applications, Eng. Struct., 301 (2024), 117282–117307. https://doi.org/10.1016/j.engstruct.2023.117282 doi: 10.1016/j.engstruct.2023.117282
    [8] Y. Chang, J. Zhou, K. Wang, D. Xu, A quasi-zero-stiffness dynamic vibration absorber, J. Sound Vib., 494 (2021), 115859–115868. https://doi.org/10.1016/j.jsv.2020.115859 doi: 10.1016/j.jsv.2020.115859
    [9] P. Alabuzhev, Vibration Protection and Measuring Systems with Quasi-zero Stiffness, CRC Press, 1989.
    [10] J. C. Ji, Q. Luo, K. Ye, Vibration control based metamaterials and origami structures: A state-of-the-art review, Mech. Syst. Signal Process., 161 (2021), 107945–107983. https://doi.org/10.1016/j.ymssp.2021.107945 doi: 10.1016/j.ymssp.2021.107945
    [11] H. Han, V. Sorokin, L. Tang, D. Cao, A nonlinear vibration isolator with quasi-zero-stiffness inspired by Miura-origami tube, Nonlinear Dyn., 105 (2021), 1313–1325. https://doi.org/10.1007/s11071-021-06650-6 doi: 10.1007/s11071-021-06650-6
    [12] D. Wang, Q. Zhang, G. Hu, Low frequency waterborne sound insulation based on sandwich panels with quasi-zero-stiffness truss core, J. Appl. Mech., 90 (2023), 031066–031074. https://doi.org/10.1115/1.4056316 doi: 10.1115/1.4056316
    [13] L. Wang, Y. Zhao, T. Sang, H. Zhou, P. Wang, C. Zhao, Ultra-low frequency vibration control of urban rail transit: The general quasi-zero-stiffness vibration isolator, Veh. Syst. Dyn., 60 (2021), 1788–1805. https://doi.org/10.1080/00423114.2021.1874428 doi: 10.1080/00423114.2021.1874428
    [14] N. A. Kamaruzaman, W. S. P. Robertson, M. H. Ghayesh, B. S. Cazzolato, A. C. Zander, Six degree of freedom quasi-zero stiffness magnetic spring with active control: Theoretical analysis of passive versus active stability for vibration isolation, J. Sound Vib., 502 (2021), 116086–116106. https://doi.org/10.1016/j.jsv.2021.116086 doi: 10.1016/j.jsv.2021.116086
    [15] K. Ye, J. C. Ji, An origami inspired quasi-zero stiffness vibration isolator using a novel truss-spring based stack miura-ori structure, Mech. Syst. Signal Process., 165 (2022), 108383–108396. https://doi.org/10.1016/j.ymssp.2021.108383 doi: 10.1016/j.ymssp.2021.108383
    [16] S. Liu, G. Peng, K. Jin, Towards accurate modeling of the tachi-miura origami in vibration isolation platform with geometric nonlinear stiffness and damping, Appl. Math. Model., 103 (2022), 674–695. https://doi.org/10.1016/j.apm.2021.11.012 doi: 10.1016/j.apm.2021.11.012
    [17] L. Yang, O. Harrysson, H. West, D. Cormier, Mechanical properties of 3d re-entrant honeycomb auxetic structures realized via additive manufacturing, Int. J. Solids Struct., 69-70 (2015), 475–490. https://doi.org/10.1016/j.ijsolstr.2015.05.005 doi: 10.1016/j.ijsolstr.2015.05.005
    [18] C. Liu, Y. Wang, W. Zhang, K. Yu, J. J. Mao, H. Shen, Nonlinear dynamics of a magnetic vibration isolator with higher-order stable quasi-zero-stiffness, Mech. Syst. Signal Process., 218 (2024), 111584–111607. https://doi.org/10.1016/j.ymssp.2024.111584 doi: 10.1016/j.ymssp.2024.111584
    [19] Q. Zhu, K. Chai, Magnetic negative stiffness devices for vibration isolation systems: A state-of-the-art review from theoretical models to engineering applications, Appl. Sci., 14 (2024), 4698–4739. https://doi.org/10.3390/app14114698 doi: 10.3390/app14114698
    [20] J. Yang, D. Ning, S. S. Sun, J. Zheng, H. Lu, M. Nakano, et al., A semi-active suspension using a magnetorheological damper with nonlinear negative-stiffness component, Mech. Syst. Signal Process., 147 (2021), 107071–107091. https://doi.org/10.1016/j.ymssp.2020.107071 doi: 10.1016/j.ymssp.2020.107071
    [21] T. Zhu, B. Cazzolato, W. S. P. Robertson, A. Zander, Vibration isolation using six degree-of-freedom quasi-zero stiffness magnetic levitation, J. Sound Vib., 358 (2015), 48–73. https://doi.org/10.1016/j.jsv.2015.07.013 doi: 10.1016/j.jsv.2015.07.013
    [22] M. H. Moghadam, M. R. Zakerzadeh, M. Ayati, Development of a cascade position control system for an sma-actuated rotary actuator with improved experimental tracking results, J. Braz. Soc. Mech. Sci. Eng., 41 (2019), 407–420. https://doi.org/10.1007/s40430-019-1896-3 doi: 10.1007/s40430-019-1896-3
    [23] E. Rustighi, M. J. Brennan, B. R. Mace, A shape memory alloy adaptive tuned vibration absorber: Design and implementation, Smart Mater. Struct., 14 (2005), 19–28. https://doi.org/10.1088/0964-1726/14/1/002 doi: 10.1088/0964-1726/14/1/002
    [24] H. Du, X. He, L. Wang, R. Melnik, Analysis of shape memory alloy vibrator using harmonic balance method, Appl. Phys. A, 126 (2020), 568–577. https://doi.org/10.1007/s00339-020-03740-x doi: 10.1007/s00339-020-03740-x
    [25] G. Song, N. Ma, H. N. Li, Applications of shape memory alloys in civil structures, Eng. Struct., 28 (2006), 1266–1274. https://doi.org/10.1016/j.engstruct.2005.12.010 doi: 10.1016/j.engstruct.2005.12.010
    [26] F. A. dos Santos, J. Nunes, Toward an adaptive vibration absorber using shape-memory alloys, for civil engineering applications, J. Intell. Mater. Syst. Struct., 29 (2017), 729–740. https://doi.org/10.1177/1045389x17721031 doi: 10.1177/1045389x17721031
    [27] L. Wang, R. Melnik, Simulation of phase combinations in shape memory alloys patches by hybrid optimization methods, Appl. Numer. Math., 58 (2008), 511–524. https://doi.org/10.1016/j.apnum.2007.01.013 doi: 10.1016/j.apnum.2007.01.013
    [28] L. Wang, R. Melnik, Dynamics of shape memory alloys patches with mechanically induced transformations, Discrete Contin. Dyn. Syst., 15 (2006), 1237–1252. https://doi.org/10.3934/dcds.2006.15.1237 doi: 10.3934/dcds.2006.15.1237
    [29] D. C. Lagoudas, Shape Memory Alloys, Springer Nature, 2008.https://doi.org/10.1007/978-0-387-47685-8
    [30] C. Maletta, A. Falvo, F. Furgiuele, A phenomenological approach for real-time simulation of the two-way shape memory effect in niti alloys, J. Eng. Mater. Technol., 130 (2008), 011003–011012. https://doi.org/10.1115/1.2806264 doi: 10.1115/1.2806264
    [31] C. Maletta, A. Falvo, F. Furgiuele, J. N. Reddy, A phenomenological model for superelasticity in niti alloys, Smart Mater. Struct., 18 (2009), 025005–025014. https://doi.org/10.1088/0964-1726/18/2/025005 doi: 10.1088/0964-1726/18/2/025005
    [32] J. S. Shaw, C. A. Wang, Design and control of adaptive vibration absorber for multimode structure, J. Intell. Mater. Syst. Struct., 30 (2019), 1043–1052. https://doi.org/10.1177/1045389x19828831 doi: 10.1177/1045389x19828831
    [33] Z. Lu, K. Rong, L. Tian, C. Qiu, J. Du, Studies on the damping mechanism of shape memory alloy-spring tuned vibration absorber attached to a multi-degree-of-freedom structure, J. Vib. Control, 28 (2021), 2666–2677. https://doi.org/10.1177/10775463211018526 doi: 10.1177/10775463211018526
    [34] L. Wang, M. Willatzen, Extension of the landau theory for hysteretic electric dynamics in ferroelectric ceramics, J. Electroceram., 24 (2010), 51–57. https://doi.org/10.1007/s10832-008-9525-z doi: 10.1007/s10832-008-9525-z
    [35] F. Wang, H. Y. Du, L. X. Wang, A modified landau phenomenological constitutive model for the tension–compression asymmetry in one-dimensional shape memory alloys, Mech. Mater., 156 (2021), 103795. https://doi.org/10.1016/j.mechmat.2021.103795 doi: 10.1016/j.mechmat.2021.103795
    [36] L. Wang, R. V. N. Melnik, Nonlinear dynamics of shape memory alloy oscillators in tuning structural vibration frequencies, Mechatronics, 22 (2012), 1085–1096. https://doi.org/10.1016/j.mechatronics.2012.09.004 doi: 10.1016/j.mechatronics.2012.09.004
    [37] L. X. Wang, R. V. N. Melnik, Numerical model for vibration damping resulting from the first-order phase transformations, Appl. Math. Modell., 31 (2007), 2008–2018. https://doi.org/10.1016/j.apm.2006.08.019 doi: 10.1016/j.apm.2006.08.019
    [38] V. I. Arnol'd, Mathematical Methods of Classical Mechanics, Springer Science & Business Media, 2013. https://doi.org/10.1007/978-1-4757-2063-1
    [39] L. Wang, R. V. N. Melnik, Control of coupled hysteretic dynamics of ferroelectric materials with a landau-type differential model and feedback linearization, Smart Mater. Struct., 18 (2009), 074011. https://doi.org/10.1088/0964-1726/18/7/074011 doi: 10.1088/0964-1726/18/7/074011
    [40] J. C. Lagarias, J. A. Reeds, M. H. Wright, P. E. Wright, Convergence properties of the Nelder-Mead simplex method in low dimensions, SIAM J. Optim., 9 (1998), 112–147. https://doi.org/0.1137/S1052623496303470
    [41] S. L. Lau, Y. K. Cheung, S. Y. Wu, Incremental harmonic balance method with multiple time scales for aperiodic vibration of nonlinear systems, J. Appl. Mech., 50 (1983), 871–876. https://doi.org/10.1115/1.3167160 doi: 10.1115/1.3167160
  • Reader Comments
  • © 2025 the Author(s), licensee AIMS Press. This is an open access article distributed under the terms of the Creative Commons Attribution License (http://creativecommons.org/licenses/by/4.0)
通讯作者: 陈斌, bchen63@163.com
  • 1. 

    沈阳化工大学材料科学与工程学院 沈阳 110142

  1. 本站搜索
  2. 百度学术搜索
  3. 万方数据库搜索
  4. CNKI搜索

Metrics

Article views(2097) PDF downloads(117) Cited by(1)

Article outline

Figures and Tables

Figures(17)  /  Tables(3)

Other Articles By Authors

/

DownLoad:  Full-Size Img  PowerPoint
Return
Return

Catalog