Research article Special Issues

Data-driven optimal controller design for sub-satellite deployment of tethered satellite system

  • Published: 03 January 2024
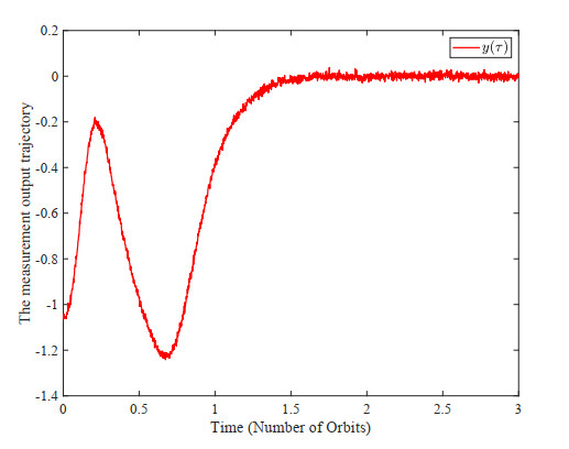
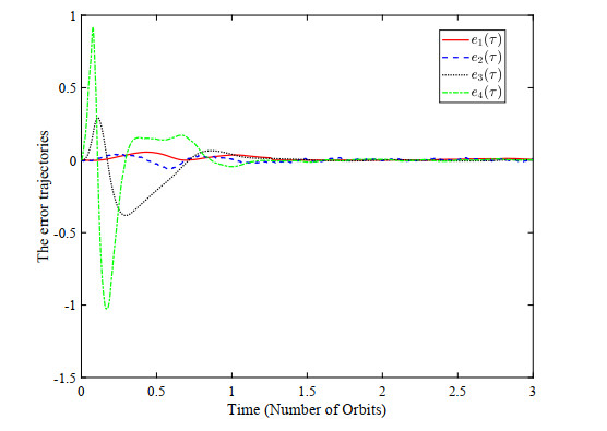
  • In the paper, we presented a data-driven optimal control method for the sub-satellite deployment of tethered satellite systems during the release phase, with the objective of reducing the libration angle fluctuation during system work. First, the dynamic equation of the tethered satellite system was established and processed dimensionless. Considering the presence of noise when sensors were put on the satellite to measure the libration angle, the corresponding state equation was derived. Next, we estimated the system state using an unscented Kalman filter and established a performance index and the Hamilton function. Based on the index, we designed an optimal control strategy and provided sufficient conditions for the asymptotic stability of the closed-loop system. We used critic-actor neural networks based on measurement data to implement the data-driven control algorithm to approximate the performance index function and the control policy, respectively. Finally, taking a tethered satellite system as an example, a simulation showed that the unscented Kalman filter can effectively estimate the system state and improve the impact of noise on the system, and the proposed optimal control strategy ensured that the tethered satellite system is stable, which shows the applicability and effectiveness of the control strategy in reducing the tether vibration of the disturbed system.

    Citation: Peng Yu, Shuping Tan, Jin Guo, Yong Song. Data-driven optimal controller design for sub-satellite deployment of tethered satellite system[J]. Electronic Research Archive, 2024, 32(1): 505-522. doi: 10.3934/era.2024025

    Related Papers:

  • In the paper, we presented a data-driven optimal control method for the sub-satellite deployment of tethered satellite systems during the release phase, with the objective of reducing the libration angle fluctuation during system work. First, the dynamic equation of the tethered satellite system was established and processed dimensionless. Considering the presence of noise when sensors were put on the satellite to measure the libration angle, the corresponding state equation was derived. Next, we estimated the system state using an unscented Kalman filter and established a performance index and the Hamilton function. Based on the index, we designed an optimal control strategy and provided sufficient conditions for the asymptotic stability of the closed-loop system. We used critic-actor neural networks based on measurement data to implement the data-driven control algorithm to approximate the performance index function and the control policy, respectively. Finally, taking a tethered satellite system as an example, a simulation showed that the unscented Kalman filter can effectively estimate the system state and improve the impact of noise on the system, and the proposed optimal control strategy ensured that the tethered satellite system is stable, which shows the applicability and effectiveness of the control strategy in reducing the tether vibration of the disturbed system.



    加载中


    [1] A. Misra, Dynamics and control of tethered satellite systems, Acta Astronaut., 63 (2008), 1169–1177. https://doi.org/10.1016/j.actaastro.2008.06.020 doi: 10.1016/j.actaastro.2008.06.020
    [2] G. Avanzini, M. Fedi, Refined dynamical analysis of multi-tethered satellite formations, Acta Astronaut., 84 (2013), 36–48. https://doi.org/10.1016/j.actaastro.2012.10.031 doi: 10.1016/j.actaastro.2012.10.031
    [3] F. Yang, S. Tan, W. Xue, J. Guo, Y. Zhao, Extended state filtering with saturation-constrainted observations and active disturbance rejection control of position and attitude for drag-free satellites, Acta Automat. Sin., 46 (2020), 2337–2349. https://doi.org/10.16383/j.aas.c190515 doi: 10.16383/j.aas.c190515
    [4] Y. Hu, J. Guo, W. Meng, G. Liu, W. Xue, Longitudinal control for balloon-borne launched solar powered UAVs in near-space, J. Syst. Sci. Complex., 35 (2022), 802–819. https://doi.org/10.1007/s11424-022-1302-6 doi: 10.1007/s11424-022-1302-6
    [5] G. Colombo, E. M. Gaposchkin, M. D. Grossi, G. C. Weiffenbach, The Skyhook: A shuttle-borne tool for low-orbital-altitude research, Meccanica, 10 (1975), 3–20. https://doi.org/10.1007/BF02148280 doi: 10.1007/BF02148280
    [6] S. Bilén, B. Gilchrist, C. Bonifazi, E. Melchioni, Transient response of an electrodynamic tether system in the ionosphere: TSS-1 first results, Radio Sci., 30 (1995), 1519–1535. https://doi.org/10.1029/95RS01889 doi: 10.1029/95RS01889
    [7] M. Hill, R. Calhoun, H. Fernando, A. Wieser, A. Dörnbrack, M. Weissmann, et al., Coplanar doppler lidar retrieval of rotors from T-REX, J. Atmos. Sci., 67 (2010), 713–729. https://doi.org/10.1175/2009JAS3016.1 doi: 10.1175/2009JAS3016.1
    [8] K. Iki, S. Kawamoto, Y. Ohkawa, T. Okumura, K. Kawashima, M. Takai, et al., Expected on-orbit tether deployment dynamics on the KITE mission, T. Japan Soc. Aeronaut. S., 14 (2016), 9–18. https://doi.org/10.2322/TASTJ.14.PR_9 doi: 10.2322/TASTJ.14.PR_9
    [9] P. Williams, Deployment/retrieval optimization for flexible tethered satellite systems, Nonlinear Dyn., 52 (2008), 159–179. https://doi.org/10.1007/s11071-007-9269-3 doi: 10.1007/s11071-007-9269-3
    [10] Z. Ma, G. Sun, Adaptive sliding mode control of tethered satellite deployment with input limitation, Acta Astronaut., 127 (2016), 67–75. https://doi.org/10.1016/j.actaastro.2016.05.022 doi: 10.1016/j.actaastro.2016.05.022
    [11] H. Wen, Z. Zhu, D. Jin, H. Hu, Constrained tension control of a tethered space-tug system with only length measurement, Acta Astronaut., 119 (2016), 110–117. https://doi.org/10.1016/j.actaastro.2015.11.011 doi: 10.1016/j.actaastro.2015.11.011
    [12] H. Wen, Z. Zhu, D. Jin, H. Hu, Tension control of space tether via online quasi-linearization iterations, Adv. Space Res., 57 (2016), 754–763. https://doi.org/10.1016/j.asr.2015.11.037 doi: 10.1016/j.asr.2015.11.037
    [13] S. Pradeep, A new tension control law for deployment of tethered satellites, Mech. Res. Commun., 24 (1997), 247–254. https://doi.org/10.1016/S0093-6413(97)00021-9 doi: 10.1016/S0093-6413(97)00021-9
    [14] N. Takeichi, M. Natori, N. Okuizumi, K. Higuchi, Periodic solutions and controls of tethered systems in elliptic orbits, J. Vib. Control, 10 (2004), 1393–1413. https://doi.org/10.1177/1077546304042057 doi: 10.1177/1077546304042057
    [15] X. Li, G. Sun, Z. Kuang, S. Han, Nonlinear predictive optimization for deploying space tethered satellite via discrete-time fractional-order sliding mode, IEEE Trans. Aerosp. Elec. Syst., 58 (2022), 4517–4526. https://doi.org/10.1109/TAES.2022.3166061 doi: 10.1109/TAES.2022.3166061
    [16] X. Li, G. Sun, C. Xue, Fractional-order deployment control of space tethered satellite via adaptive super-twisting sliding mode, Aerosp. Sci. Techn., 121 (2022), 107390. https://doi.org/10.1016/j.ast.2022.107390 doi: 10.1016/j.ast.2022.107390
    [17] S. Xu, G. Sun, Z. Ma, X. Li, Fractional-order fuzzy sliding mode control for the deployment of tethered satellite system under input saturation, IEEE Trans. Aerosp. Elec. Syst., 55 (2019), 747–756. https://doi.org/10.1109/TAES.2018.2864767 doi: 10.1109/TAES.2018.2864767
    [18] Y. Zhao, F. Zhang, P. Huang, X. Liu, Impulsive super-twisting sliding mode control for space debris capturing via tethered space net robot, IEEE Trans. Ind. Electron., 67 (2020), 6874–6882. https://doi.org/10.1109/TIE.2019.2940002 doi: 10.1109/TIE.2019.2940002
    [19] P. Razzaghi, E. Khatib, S. Bakhtiari, Sliding mode and SDRE control laws on a tethered satellite system to de-orbit space debris, Adv. Space Res., 64 (2019), 18–27. https://doi.org/10.1016/j.asr.2019.03.024 doi: 10.1016/j.asr.2019.03.024
    [20] X. Li, G. Sun, S. Han, X. Shao, Fractional-order nonsingular terminal sliding mode tension control for the deployment of space tethered satellite, IEEE Trans. Aerosp. Elec. Syst., 57 (2021), 2759–2770. https://doi.org/10.1109/TAES.2021.3061815 doi: 10.1109/TAES.2021.3061815
    [21] H. Fujii, S. Anazawa, Deployment/retrieval control of tethered subsatellite through an optimal path, J. Guid. Control Dyn., 17 (1994), 1292–1298. https://doi.org/10.2514/3.21347 doi: 10.2514/3.21347
    [22] H. Koakutsu, A. Nakajima, S. Ota, S. Nakasuka, Tension control of micro tether system on circular orbit considering tether flexibility, J. Space Tech. Sci., 12 (1996), 1–13. https://doi.org/10.11230/jsts.12.2_1 doi: 10.11230/jsts.12.2_1
    [23] J. Guo, R. Jia, R. Su, Y. Zhao, Identification of FIR systems with binary-valued observations against data tampering attacks, IEEE Trans. Syst. Man Cybern., 53 (2023), 5861–5873. https://doi.org/10.1109/TSMC.2023.3276352 doi: 10.1109/TSMC.2023.3276352
    [24] J. Guo, J. Diao, Prediction-based event-triggered identification of quantized input FIR systems with quantized output observations, Sci. China Inf. Sci., 63 (2020), 112201. https://doi.org/10.1007/s11432-018-9845-6 doi: 10.1007/s11432-018-9845-6
    [25] J. Guo, X. Wang, W. Xue, Y. Zhao, System identification with binary-valued observations under data tampering attacks, IEEE Trans. Automat. Control, 66 (2021), 3825–3832. https://doi.org/10.1109/TAC.2020.3029325 doi: 10.1109/TAC.2020.3029325
    [26] N. Vafamand, Adaptive robust neural-network-based backstepping control of tethered satellites with additive stochastic noise, IEEE Trans. Aerosp. Elec. Syst., 56 (2020), 3922–3930. https://doi.org/10.1109/TAES.2020.2985276 doi: 10.1109/TAES.2020.2985276
    [27] Z. Ji, G. Shi, Adaptive neural dynamics-based speed control strategy for stable retrieval of tethered satellite system, Adv. Space Res., 71 (2023), 4987–4994. https://doi.org/10.1016/j.asr.2023.01.061 doi: 10.1016/j.asr.2023.01.061
    [28] X. Ma, H. Wen, Deep learning for deorbiting control of an electrodynamic tether system, Acta Astronaut., 202 (2023), 26–33. https://doi.org/10.1016/j.actaastro.2022.10.019 doi: 10.1016/j.actaastro.2022.10.019
    [29] J. Chen, Z. Nie, F. Zhao, H. Jiang, L. Zhu, Improving the stability of electrostatic induction dust concentration detection using kalman filtering algorithm aided by machine learning, Process Saf. Environ., 174 (2023), 882–890. https://doi.org/10.1016/j.psep.2023.05.013 doi: 10.1016/j.psep.2023.05.013
    [30] M. Li, C. Li, Q. Zhang, W. Lao, Z. Rao, State of charge estimation of Li-ion batteries based on deep learning methods and particle-swarm-optimized Kalman filter, J. Energy Storage, 64 (2023), 107191. https://doi.org/10.1016/j.est.2023.107191 doi: 10.1016/j.est.2023.107191
    [31] M. Kheirandish, E. Yazdi, H. Mohammadi, M. Mohammadi, A fault-tolerant sensor fusion in mobile robots using multiple model Kalman filters, Robot. Auton. Syst., 161 (2023), 104343. https://doi.org/10.1016/j.robot.2022.104343 doi: 10.1016/j.robot.2022.104343
    [32] C. Liang, W. Xue, H. Fang, X. He, V. Gupta, On consistency and stability of distributed Kalman filter under mismatched noise covariance and uncertain dynamics, Automatica, 153 (2023), 111022. https://doi.org/10.1016/j.automatica.2023.111022 doi: 10.1016/j.automatica.2023.111022
    [33] S. Tan, J. Guo, Y. Zhao, J. Zhang, Adaptive control with saturation constrainted observations for drag-free satellites–a set-valued identification approach, Sci. China Inf. Sci., 64 (2021), 202202. https://doi.org/10.1007/s11432-020-3145-0 doi: 10.1007/s11432-020-3145-0
    [34] B. Zhang, J. Yu, Z. Kang, T. Wei, X. Liu, S. Wang, An adaptive preference retention collaborative filtering algorithm based on graph convolutional method, Electron. Res. Arch., 31 (2023), 793–811. https://doi.org/10.3934/era.2023040 doi: 10.3934/era.2023040
    [35] H. Fujii, S. Ishijima, Mission function control for deployment and retrieval of a subsatellite, J. Guid. Control Dyn., 12 (1989), 243–247. https://doi.org/10.2514/3.20397 doi: 10.2514/3.20397
    [36] X. Li, G. Sun, S. Han, X Shao, Fractional-order nonsingular terminal sliding mode tension control for the deployment of space tethered satellite, IEEE Trans. Aerosp. Elec. Syst., 57 (2021), 2759–2770. https://doi.org/10.1109/TAES.2021.3061815 doi: 10.1109/TAES.2021.3061815
    [37] S. Sarkka, On unscented kalman filtering for state estimation of continuous-time nonlinear systems, IEEE Trans. Automat. Control, 52 (2007), 1631–1641. https://doi.org/10.1109/TAC.2007.904453 doi: 10.1109/TAC.2007.904453
    [38] P. Stanimirović, B. Ivanov, H. Ma, D. Mosić, A survey of gradient methods for solving nonlinear optimization, Electron. Res. Arch., 28 (2020), 1573–1624. https://doi.org/10.3934/era.2020115 doi: 10.3934/era.2020115
    [39] G. Sun, Z. Zhu, Fractional-order tension control law for deployment of space tether system, J. Guid. Control Dyn., 37 (2014), 2057–2062. https://doi.org/10.2514/1.G000496 doi: 10.2514/1.G000496
  • Reader Comments
  • © 2024 the Author(s), licensee AIMS Press. This is an open access article distributed under the terms of the Creative Commons Attribution License (http://creativecommons.org/licenses/by/4.0)
通讯作者: 陈斌, bchen63@163.com
  • 1. 

    沈阳化工大学材料科学与工程学院 沈阳 110142

  1. 本站搜索
  2. 百度学术搜索
  3. 万方数据库搜索
  4. CNKI搜索

Metrics

Article views(2994) PDF downloads(88) Cited by(4)

Article outline

Figures and Tables

Figures(11)  /  Tables(1)

Other Articles By Authors

/

DownLoad:  Full-Size Img  PowerPoint
Return
Return

Catalog